Showing 119 of 119on this page. Filters & sort apply to loaded results; URL updates for sharing.119 of 119 on this page
CAE Review | C1 Advanced - 14 Step Strategy To Passing The Review
Cae Review Writing | PDF | Essays | Paragraph
How to Write a Review for CAE - YouTube
CAE Writing Review Guidelines | PDF | Question | Entertainment (General)
How To Write A CAE Review | PDF
Sample Writitng Review For CAE Exam - Review The editor of your college ...
An example answer to a CAE report question
An example student 'Review' for the CAE (Cambridge English Advanced ...
Ejemplo review CAE (Cambridge Advanced C1): guía 2023
CAE Cambridge Advanced Exam Model - Test 6 Review - Studocu
CAE Review | PDF | Essays
CAE reveiw Help sheet - This post aims to explain how to write a review ...
Example essay Example article CAE Writing CAE Writing Ejemplos de ...
4TTO CAE Review strategy - CAE Review Exam task Your college website ...
English - Example of Review (CAE) - Docsity
CAE Email Example & Feedback From Native English Teacher
How To Write A CAE Review | PDF | Books | Human Communication
How to write a Review for the CAE exam | English Tips & Tricks - YouTube
CAE Review - Instrucciones - CAE ReviewWriing Guide A review is a ...
Engxam Com Handbook How to Write a Review c1 Advanced Cae | PDF
Cae Review | PDF | Grammar | Linguistics
Cae Writing A Review - gudangmapa
CAE Writing Exam: Review Guide | PDF
CAE Review | PDF
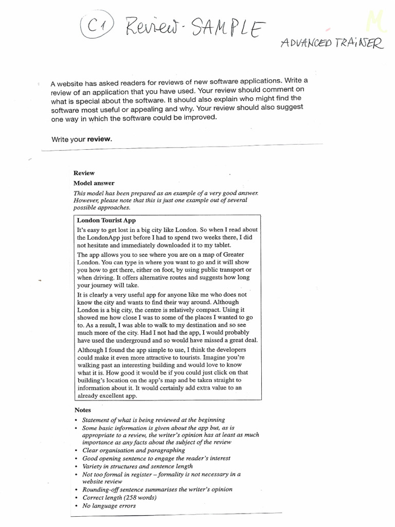
CAE Review Sample - Advanced Trainer | PDF
CAE Reading and Use of English - There is an example at the beginning ...
Writing CAE - For the essays - How to write a review? | C1 Advanced ...
Review - examples & model answers | C1 Advanced (CAE) | engxam.com
Como Pedir Un Review En Google - Dibujos Cute Para Imprimir
Cambridge C1 Advanced (CAE): How to Write a Review - Teacher Phill
How to write a Review for the Cambridge C1 Advanced – English School Dublin
C1 Advanced Writing Part 2 (Review) // Cambridge English: CAE Writing ...
Cambridge C1 Advanced (CAE): How to Write a Review - YouTube
Writing CAE guide - Writing guide for CAE. CAE assessment: Content: You ...
WRITING A REVIEW FOR CAMBRIDGE ENGLISH ADVANCED (CAE) [methodology ...
PPT - Revised FCE and CAE exams 2015 … and above all, I shall do no ...
CAE Report Writing | 6 steps to passing C1 Advanced
Cómo escribir una Review para C1 Advanced (CAE) Writing [Guía 2023 ...
Your Writing Task Cae Part 1 Article Ben Teaches English What To Do In
Cambridge English: Advanced - CAE Report Writing 1 - Student Languages
CAE Essay Examples | C1 Advanced Essays And Feedback
C1 Advanced Essay (CAE) Examples — CAE Exam Tips
Cambridge English: Advanced (C1) - Speaking Paper Cae Cambridge ...
How To Write A CAE Essay | Pass C1 Advanced Cambridge English
CAE Reviews | PDF
CAE Proposal Writing | 1 Great Strategy For C1 Advanced
C1 Advanced Speaking Part 3 (CAE) Example Lesson - YouTube
PPT - An introduction to the updated FCE and CAE exams PowerPoint ...
Ideal How To Write A Report For The Fce Exam Example Of Format Pdf What ...
Cae Sample Test 2 | PDF
FCE CAE Real Writing Examples
Writing CAE 2020 - English B HL - Studocu
CAE Report Examples & Model Answers: Charity, Language & Education ...
CAE Writing Assessment - Assessing writing for Cambridge English ...
Writing C1: The Ultimate CAE Writing Guide for C1 Advanced
How to Write a CAE Essay (C1 Advanced) - YouTube
Cae Writing Sample Answer | PDF
CAE2 WritingFile Review 125a | PDF
CAE Writing Exam Format | Know The Format And Get High Marks
Review, proposal, letter, report в письменной части CAE
Flo-Joe's CAE Writing Critique and Correction
CAE Essay Revision: Improve Your Writing Skills
CAE Writing 2 | PDF
How To Write A CAE Essay | PDF | Essays | Cognition
CAE - Information
Writing Tips Cae at Joel Kates blog
Report - examples & model answers C1 Advanced (CAE) engxam - CAE Report ...
CAE Letter | C1 Advanced 14 Steps To Successful Letter Writing
Advanced cae speaking sample tests – Artofit
Improving a CAE Essay — CAE Exam Tips
Writing C1 Advanced (CAE): Complete Guide with Examples | KSE Academy®
Cambridge C1 Advanced (CAE) Writing - Breakout English
Advanced (CAE) Writing Examples - Model Answers - Breakout English
Advanced (CAE) Essay Questions and Sample Answers - Breakout English
Top Tips for Preparing for the Cambridge Advanced (CAE) Writing Exam ...
Cambridge Advanced (CAE) Writing - Breakout English
Report - examples & model answers | C1 Advanced (CAE) | engxam.com
Another free Cambridge Advanced writing guide – inglés para abogados
Cambridge C1 Advanced (CAE): How to Write an Essay - YouTube
C1-Advanced-CAE-Review_-Writing-Topics-PDF | PDF
Cambridge C1 Advanced (CAE) - How to Write a Report - YouTube
Cambridge English : Advanced (CAE) Use of English Key Word ...
How To Write A Review? - C1 Advanced (CAE) | PDF | Vocabulary | Books
Advanced (CAE) Speaking Sample Tests
Checklist_for_CAE_Writing.pdf
How to write a review? | C1 Advanced (CAE) | engxam.com
FCE & CAE- Real Writing Examples in 2024 | Cambridge english, English ...
Cambridge C1 Advanced Writing - Report & Proposal (CAE) - What's the ...
FCE & CAE- Real Writing Examples | Writing comprehension, Essay writing ...