Showing 120 of 120on this page. Filters & sort apply to loaded results; URL updates for sharing.120 of 120 on this page
Quantitative EEG: Relative Alpha Variability - YouTube
Relative Alpha Variability Changes Precede Alpha-Delta Ratio Changes in ...
Hypothesis: variability of SSVEP amplitude relative to individual alpha ...
Relative Alpha Variability – Peripheral Brain
Lack of variability over time of the percent alpha trend (PAV) is ...
Relative alpha wave. | Download Scientific Diagram
The visualised second-level statistic t values of a relative alpha ...
Scatter plots showing the alpha variability over the right parietal ...
| Relative alpha power in different brain region and its ability to ...
Mean relative alpha amplitude changes throughout the 12 sessions in two ...
The prognostic value of relative alpha power. (Left) Tukey boxplot of ...
Relative and absolute alpha power over time. A) Left: Relative alpha ...
Variation in alpha and gamma diversity relative to each other with the ...
Relative alpha at each time point for the different BTs. Means were ...
| (A,B) The variation of the alpha band relative power with the ...
Alpha relative power variation before and after the surgery, in the F7 ...
Alpha relative power variation before and after the surgery, in the F8 ...
| Examples of timeseries of the relative alpha power for the best ...
Comparisons between the relative alpha power averages in the two groups ...
Relative source variability plotted as a function of the variability ...
Alpha and Relative Velocity Variation with Azimuthal Angle for fixed ...
Relative Variability for the 20 Components in the Data Matrix ...
Interactive effect between phase and state on the relative alpha power ...
Relative alpha and delta frequencies for normal sleep and sleep ...
| Raincloud plot of relative alpha power at Pz; (A) baseline D (red ...
Relative abundance and alpha diversity analysis of NWS samples. (A ...
Average variation in the relative power of the Alpha band (µV^2) during ...
Microbial relative abundance and alpha diversity in the food ...
| Variability in alpha diversity measures (richness and evenness) among ...
Relative variability and average of coefficients of variation of 14 ...
Comparison of relative alpha power during eyes-open and eyes-closed ...
| Alpha diversity indices dependent on a relative abundance cutoff (up ...
Comparison of the alpha diversity and relative abundances at the phylum ...
Correlations between relative alpha increase and extent of the mismatch ...
Topography of relative alpha band power. Values are medians and ...
(PDF) Effect of Variability on Cronbach Alpha Reliability in Research ...
Relative alpha activity (%) and confidence interval (0.95) from ...
Correlations between relative alpha and delta power and MS C and E time ...
Relative alpha power (%) between the respective right (Fp2, F8, F4) and ...
Relative variability in the set of transient source-average ...
Relative Strength – Alpha | Library of Technical & Fundamental Analysis
Comparison of alpha diversity and relative abundance at phylum level ...
A The relative variability (CV) of the national footprints compared to ...
Relative Estimated Variability (REV) of transcript abundance within ...
Relative variability flux (ΔF/F) vs. relative variability timescale ...
Relative variability (in % to the mean level) for the period 1993-2016 ...
Treatment induced changes in relative alpha source power. (A) Reduced ...
(A) Interaction between relative alpha power and the sleep (red) and ...
Relative importance of competing hypotheses in explaining the alpha ...
Relative abundance, alpha diversity, and dimensional reduction plot of ...
Relative variability as a predictor of trait change: (a)... | Download ...
Solved Increase Alpha Decrease variability in data. Decrease | Chegg.com
Apply the relative variability test to data — ACT Documentation
The relationship between alpha power and heart rate variability ...
Figure 1 from Early and persistent impaired percent alpha variability ...
Frontiers | Performance of Some Estimators of Relative Variability
Phenotypic Variability in The Induction of Alpha Acids | PDF | Hops ...
Relative bias of the coefficient-alpha point estimates as a function of ...
Alpha diversity, alpha variability, and community structures of fish ...
Variability in the visually evoked response of distinct... | Download ...
Variations in the values and relationships of alpha diversity, spatial ...
Variation of alpha diversity in 3 years and its average. (a-c ...
Frontiers | Virtual embodiment training is associated with relative ...
Regression coefficients and relative weights analysis. | Download Table
PPT - Relative Variation, Variance Heterogeneity, and Effect Size ...
Form of analysis of variance for alpha lattice design | Download Table
Resting-state Alpha Reactivity Is Reduced in Parkinson’s Disease and ...
Variation of alpha as a function of roughness (three models ...
Distributions of relative variation. | Download Scientific Diagram
Absolute vs. Relative Measures of Variation: Key Differences • SLM ...
PPT - Variability – Waiting Times PowerPoint Presentation, free ...
Variations of relative values derived by two methods (via median and ...
Comparing the alpha frequency-power relationship between shorter versus ...
Representation of the 4-day variation of alpha and theta gradients ...
Illustration of the accuracy over the variation of alpha | Download ...
Decomposing the role of alpha oscillations during brain maturation | eLife
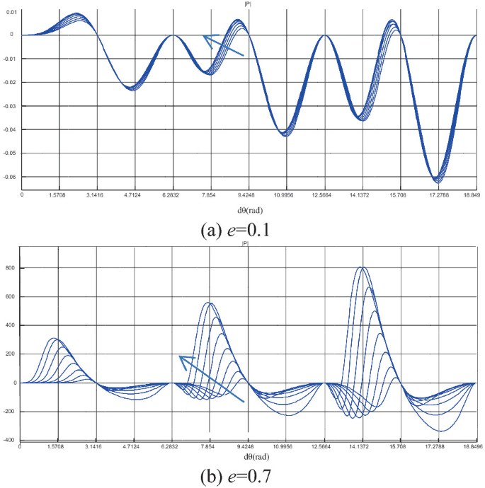
Research for Relative Motion Lambert Theory of Elliptical Orbit ...
The Variability and Reliability of Standardized UX Scales – MeasuringU
Your heart rate variability recovery model | AI Endurance
What Is Alpha in Finance? Definition, Formula & Examples - TheStreet
Effects of Alpha Particle Fraction on Kinetic Plasma Turbulence ...
Figure 5 from The relationship between alpha power and heart rate ...
Alpha particle scattering and Rutherford's atomic model-Observations ...
Figure 1 from Ordering states of Tsallis relative $\alpha$-entropies of ...
Internal consistency reliability of the mean P1 ERP amplitude in adults ...
PPT - Chapter 3 An Introduction to Statistical Problem Solving in ...
Individual magnitudes of variability-quenching were strongly correlated ...
Properties Of Variance Examples – KCIV
Analysis of variance (alpha lattice design) for studied traits in oats ...
PPT - Understanding and Predicting Host Load PowerPoint Presentation ...
Statistically significant differences between the two groups in ...
Quantitative EEG analysis of cardiac and non-cardiac surgical patients ...
Lecture Chapter 5 & 6 - Reliability.pptx
Statistics from A to Z -- Confusing Concepts Clarified Blog ...
Relationship between Randomness and Coefficient Alpha: A Monte Carlo ...
Alpha‐wave frequency characteristics in health and insomnia during ...
SAR Images Statistical Modeling and Classification Based on the Mixture ...
Sage Research Methods - The SAGE Encyclopedia of Social Science ...
Frontiers | Quantitative electroencephalography predicts postoperative ...
Transcranial Doppler Combined With Quantitative Electroencephalography ...
Figure 1 from Measuring the Time Variation of the Fine-structure ...
Images, figures and tables - APA7 - Expert help guides at La Trobe ...