Showing 120 of 120on this page. Filters & sort apply to loaded results; URL updates for sharing.120 of 120 on this page
Unseeded region growing algorithm | Download Scientific Diagram
Taner Güngör: Image Segmentation - Region Growing Algorithm
A New Approach for Parallel Region Growing Algorithm in Image ...
Seeded region growing algorithm scheme. | Download Scientific Diagram
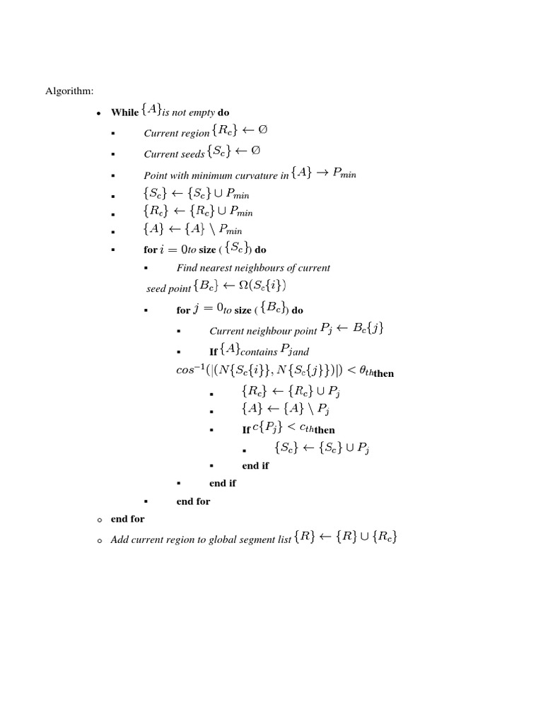
Figure 1 from An improved seeded region growing algorithm | Semantic ...
Algorithm 4: modified seeded region growing algorithm | Download ...
A schematic representation of the region growing algorithm (RGA). 6 ...
Algorithm Region Growing | PDF | Algorithms | Algorithms And Data ...
Region Growing Algorithm CV | PDF | Image Segmentation | Computer Graphics
Flowchart of the region growing algorithm implementation | Download ...
(PDF) Segmentation Using a Region Growing Algorithm
Region Growing Algorithm | Download Free PDF | Image Segmentation ...
Procedures of the region growing algorithm for data denoising ...
GitHub - Spinkoo/Region-Growing: Region growing segmentation algorithm ...
A simplified flowchart of an MLT based region growing algorithm ...
Result of Region Growing Algorithm for the seven groups obtained by ...
(PDF) An optimal region growing algorithm for image segmentation
c++ - Region growing algorithm using Saturation layer - Stack Overflow
The specific process details of the improved region growing algorithm ...
Figure 4 from A Novel Region Growing Algorithm using Wavelet ...
(PDF) Automated 3D Region Growing Algorithm Governed by an Evaluation ...
L57 | Region Growing Algorithm || Digital Image Processing (AKTU) - YouTube
Region growing algorithm | Download Scientific Diagram
Schematic block flow-chart of the Seeded Region Growing algorithm ...
0Iterations of the Algorithm 1. a Region growing initialization. b ...
Segmentation flowchart based on the threshold region growing algorithm ...
(PDF) A Hybrid Region Growing Algorithm for Medical Image Segmentation
Optimized region growing algorithm using proposed FA‐DHOA [Color figure ...
Flow chart of noise point detection by the region growing algorithm ...
(PDF) Distributed Region Growing Algorithm for Medical Image Segmentation
Improved region growing algorithm for the calibration of flaking ...
Solved b) Segment the following image using Region Growing | Chegg.com
Solved Segment the following image using region growing | Chegg.com
Flow Diagram Region Growing Algorithm. [14] | Download Scientific Diagram
Region growing algorithm. | Download Scientific Diagram
PPT - Superquadric Recovery in Range Images via Region Growing ...
Automatic seeded region growing for color image segmentation
08 05 2025-Region Growing Algorithm | PDF
SOLVED: Implement image segmentation using region growing 0n the image ...
PPT - Automatic seeded region growing for color image segmentation ...
Solved Consider a region growing method that uses the | Chegg.com
The region growing algorithm. | Download Scientific Diagram
Module 2.2 : Region Growing | Solved Numerical Example | Image ...
Region Splitting and Growing segmentation Solved Questions💭 - YouTube
Region Growing Results with Mean Threshold=8
REGION GROWING SEGMENTATION WITH DYNAMIC REGION WEIGHTS ALLOCATION ...
Flowchart of the proposed region growing algorithm. In this approach ...
Example of the segmentation by region growth algorithm for different ...
Region Growing and Dissolve Results with Mean Threshold=8
Schematic diagram of region growing | Download Scientific Diagram
PPT - Region Growing - Splitting PowerPoint Presentation, free download ...
Region Growing Results with Max-Min Threshold=8
Flowchart of the Region Growing Segmentation. A key idea of this ...
GitHub - Zach-Sz/Region-Growing-Segmentation: Simple region growing ...
| Region growing and selection algorithm. (A) Region growing, left ...
35. Region based segmentation (Region Growing Method) - YouTube
Iterative region growing algorithm. From top to bottom and left to ...
Tissue segmentation by region growing algorithm. (A) Process of region ...
GitHub - ZQPei/Seeded-Region-Growing-Algorithm: Seeded Region Growing ...
Region Growing Image Segmentation Assignment
Segmentation results of the region growing algorithm. (a) Traditional ...
Region Growing Segmentation Example - YouTube
(PDF) The Comparison of Region Growing Algorithms with Using EMST for ...
Procedure of the region growing method here | Download Scientific Diagram
Week 6: Region Growing and Clustering Segmentation)
A Minimum Distance Cluster based on Region Growing
Region growing procedure GRegion | Download Scientific Diagram
Schema of the iterative region growing algorithm. | Download Scientific ...
(PDF) Single linkage region growing algorithms based on the vector ...
Region Growing Image Segmentation for Newborn Brain MRI
Detailed steps of the proposed algorithm. Region growing (a,b), edge ...
Flow of the region growing algorithm. Electronics 2022, 11, x FOR PEER ...
PPT - Image Segmentation Using Region Growing and Shrinking PowerPoint ...
Part 2 : Region Growing after Merge-Splitting
Solved 2. If you have the following image, apply the region | Chegg.com
PPT - Grid-Based Genetic Algorithm Approach to Colour Image ...
Region based image segmentation | PPTX
(PDF) "Region-growing" algorithm for matching of terrain images.
GitHub - ylmzkaan/3DRegionGrowing: Cython implementation of 3D Region ...
An iterative region-growing mesh segmentation algorithm for the ...
Figure 1 from A Region-Growing Segmentation Algorithm for GPUs ...
Modules:Simple Region Growing-Documentation-3.6 - Slicer Wiki
Flowchart of improved region-growing algorithm | Download Scientific ...
Pavement Crack Detection and Clustering via Region-Growing Algorithm ...
(PDF) A Smart Region-Growing Algorithm for Single-Neuron Segmentation ...
An Optimised Region-Growing Algorithm for Extraction of the Loess ...
(Color online) Image segmentation process using the seeded region ...
PPT - An Introduction of Image Segmentation PowerPoint Presentation ...
PPT - Advanced Image Segmentation Techniques for Precise Analysis ...
PPT - Mesh modeling and processing PowerPoint Presentation, free ...
Scipy - Region-based Segmentation
1: A flowchart describing the internal filters used by the level set ...
A Scalable Unified System for Seeding Regionalization Queries
PPT - 5. Detection of Regions of Interest PowerPoint Presentation, free ...
Digital Creation Critical ANalysis. Beheviour. Brush.
PPT - Image Segmentation in Color Space by Anisa Chaudhary PowerPoint ...
PPT - Image Segmentation PowerPoint Presentation, free download - ID ...
Uniform Blocking
GitHub - emreozanalkan/RegionGrowingAlgorithm: Scene Segmentation and ...
GitHub - zahrasa/Region-Growing-Algorithm: classical image processing
(Color online) Example of a region-growth algorithm. In the top row ...
Pipeline of the region-growing algorithm. | Download Scientific Diagram
PPT - Segmentation PowerPoint Presentation, free download - ID:3805927
Figure 1 from Automated Mammogram Segmentation Using Seed Point ...
PPT - Segment ácia farebného obrazu PowerPoint Presentation, free ...