Showing 120 of 120on this page. Filters & sort apply to loaded results; URL updates for sharing.120 of 120 on this page
Mirror Illusions and Impossible Reflection Tricks Explained ...
Ray diagram tricks || Class 10 || Light and Reflection || Mirror || MTS ...
What is reflection in photography: tips and tricks for the best photo ...
Best watercolor tips and tricks to make water reflection - YouTube
NCERT Class 10 Light : Reflection & Reflection Tricks for solving ...
Transform Your Teaching with Simple Reflection Tricks - YouTube
Adobe Photoshop Tips and Tricks Create water Reflection Effect - YouTube
Numericals Based on Reflection ||Best tricks || - YouTube
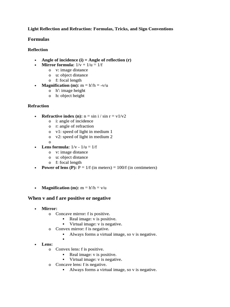
Light Reflection and Refraction Tricks | PDF
Working with Reflection Probes | Tips & Tricks | Twinmotion - YouTube
Amazing Realistic REFLECTION Tricks in Snapseed app| SNAPSEED tutorial ...
How to Create Reflection Simple Photoshop Tricks and Tips Tutorial Part ...
Reflection and Refraction of Light – Easy Explanation | Learn tricks # ...
Light Reflection Tricks That Will Make Your Small Apartment Feel Twice ...
REFLECTION | Photography Tips & Tricks | CRUSH STUDIOS @CrushStudios ...
How to Write a Reflection Paper: Tips, Tricks and More - YouTube
Tricks to Taking the Perfect Reflection Photo – Jules Ingall Photography
Reflection Photography: Creative Tips & Tricks - iPhotography
Reflection Photography Tricks 📸 #short #photographyidea - YouTube
Reflection in C#: Examples, Tricks and Tips | by Dev·edium | Medium
Reflection vs Refraction | Light’s Amazing Tricks Explained! # ...
Extra Tricks for Reflection and Interference - second secondary - YouTube
Reflection Photography - Tips & Tricks on How to Take Pictures of ...
Reflection Photographs: Creative Tips & Tricks - iPhotography ...
Reflection | Adobe Photoshop | Tips and Tricks - YouTube
Panorama Tips and Tricks for Shooting a Reflection # ...
Reflection Photography Tips
Mirror Reflection Photography Ideas 50 Fun And Creative Portrait
😱Reflection of Plane Mirror Revision Tricks by NV Sir 💪🤞 | Motion Kota ...
Mesmerizing Water Glass Image Reflection Trick #experiment #short - YouTube
How to Create a Stunning Reflection
Total Internal Reflection Magic Trick! | Teaching Resources
Reflection Photography Trick #photography - YouTube
PS Tips and Tricks: Reflection | Adobe Photoshop EASY Trick - YouTube
Reflection Photography Tips for beginners with Best 50 Photos
Easy Reflection Photography Tutorial - YouTube
Reflection tutorial – Artofit
tricks to draw Reflection/Refraction of wave front |class12physics|# ...
How to Trick Your Reflection Video Effect (Enlight Videoleap Tutorial ...
Learn How You Can Easily Create the Perfect Reflection Photos
Reflection Trick: A Run Captured in a Mirror! 🏃♂️📱 - YouTube
FIND Your Life's PURPOSE with This Easy Reflection Trick! - YouTube
Mirror Reflection Trick with Photoshop - YouTube
Transformation of The Plane, Reflection Tricks#shorts - YouTube
EASY Reflection Photography Trick - YouTube
Tips and Tricks for using Reflect - YouTube
7 Mind-Blowing Self-Reflection Therapy Tricks That Works! - Life is ...
Line of Reflection - Explanation and Examples - The Story of ...
Light - Reflection and Refraction Class 10 Mind Map (Complete Chapter ...
SOLUTION: Reflection & its types note - Studypool
[PDF] From Reflex to Reflection: Two Tricks AI Could Learn from Us
Reflection Examples for Personal and Professional Growth
Water Reflection Photography Tips The Law Of The River: Aaron Chavez
15 Tips for Stunning Reflection Photography
Reflection of Light with Concave and Convex Mirrors. How mirrors work ...
Light Reflection and Refraction Class 10 | TRICKS! of Image Formation ...
Quick Water Reflection Photography Trick Youtube Water Droplets
Learn a Magic Card Trick - REFLECTION | Close up Magic - Easy to Do ...
How to click reflection mirror shots? 😎 | Creative photography ...
Reflection and Refraction Activities Your Students Will Love
Reflection Tips | PPT
10 unique and creative reflection techniques lessons for the secondary ...
🔍 Mind-Blowing Reflection Experiments! 🔦 | Angled Mirrors & Laser Light ...
LIGHT: REFLECTION AND REFRACTION PART 1| CLASS 10| CGL CHSL CDS NEET ...
9 Useful Tips for Taking Reflection Photos - MIOPS
LIGHT REFLECTION AND REFRACTION|| ONE SHOT|| CLASS 10|| BOARD EXAM ...
Transformation of the plane, Reflection Tricks#shorts - YouTube
10 Quick Tips for Great Reflection Photos • Rose Clearfield
10 Unique and Creative Reflection Techniques & Lessons for the ...
Reflection of Light | Diffused Reflection of Light | Light Properties ...
Refraction reflection – Artofit
My Approach to Systematic Reflection • experientialknowledge.org.uk
Create a Realistic Glass Reflection in Photoshop with This Trick! - YouTube
Construction of Finding Line of Reflection - Easy method - YouTube
Time Reflection For Students Teacher Reflection At Year End Blue
Reflection Photo Trick Using Water - Photography Tutorial - YouTube
Reflection Trick with Glass of Water | Watch the Arrow Change Direction ...
#Trick Reflection in the X-axis#mathshorts#mathstricks# ...
Reflection And Refraction Clipart Reflection (physics) Wikipedia
Personally Yours: Technique Tuesday: Reflection Technique
Add Fake Reflection to Photos in Photoshop - Trick for Stunning Photos ...
30 Mind-Blowing Reflection Photography examples and Tips for beginners
How to Make an Easy Reflection • Concepts App • Infinite, Flexible ...
Capturing Exquisite Waterfall Reflection Videos | Smartphone ...
Law of reflection trick by AJ sir #neet #physics - YouTube
Mirror reflection trick with Photoshop - YouTube
Use this trick to get perfect reflection in your photos! (Day18/100 ...
Wedding Photographer Shares A Ridiculously Simple Photography Trick And ...
Reflections Tutorial - YouTube
9 Ways to use Reflections more Creatively for Stunning Photography
How to Build a "Reflection-Free Zone" to Treat Early Reflections
The Hidden Key to Reflective Practice – Reflecting with Purpose
🔥 The "Echo Reflection" Trick – Instantly Build Emotional Connection ...
Self-Reflection (Mirror Tricks) - YouTube
“Reflection of Light Experiment | Amazing Mirror Trick | Class 10 ...
How to Reflect Shapes - A Step by Step Guide - YouTube
Creative Trick Photography Ideas and Setups - Creative Pad Media
How to Photograph Reflections: Creating Mirror Images
Mirror Photography Ideas, Tips, and Examples - Adorama
How Can A Mirror See An Object That Is Hidden By A Piece Of Paper ...
84 Reflections That Will Mess With Your Head | Bored Panda
Helping artists learn how reflections work | Reflections tutorial - YouTube
Unlock Your Potential with This Self-Reflection Trick! #Lifehack # ...
1K reactions · 28 comments | Photo Trick #13 How to create a cool ...
How to reflect - 3 key skills to help you avoid rumination — The ...
How to Photograph Reflections to Create Stunning Images - PhotoJeepers
Reflections: Geometry - Math Lessons
Laws of Reflection: Definition, Types, Diagrams, differences, Uses, and ...