Showing 120 of 120on this page. Filters & sort apply to loaded results; URL updates for sharing.120 of 120 on this page
Calibration and reading conditions realised in the experiment. Reading ...
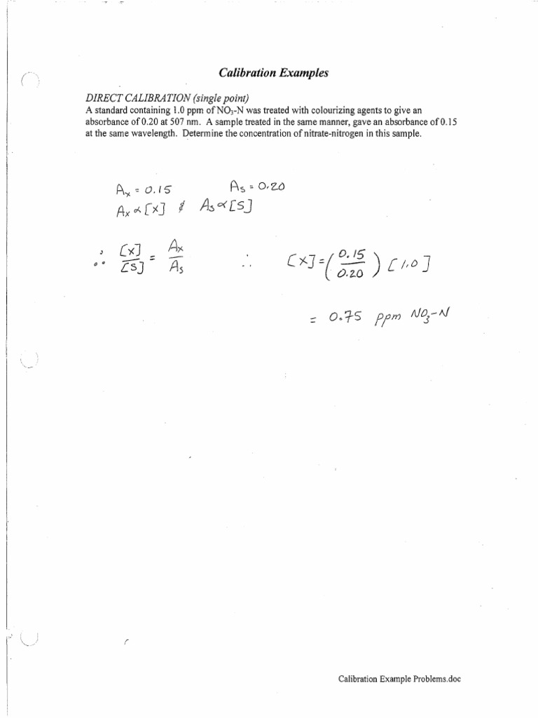
Calibration Examples With Solutions | PDF
Calibration - Definition & Examples - CrossCo
Set Reading Calibration
Reading Sample-Qualification Calibration Laboratory Instruments | PDF ...
Calibration apparatus and method for calibrating image reading ...
Performance Calibration Examples at Jayden Nobbs blog
How To Use Calibration In a Sentence? Easy Examples
(PDF) Calibration of a reading comprehension test for Portuguese ...
reading ranges after calibration | Download Scientific Diagram
Reading Calibration Tests : r/3Dprinting
Linearity Calibration - Definition & Examples - CrossCo
Calibration Readings
Calibration Record Sample | PDF | Metrology | Accuracy And Precision
All About Calibration Process I How to Calibrate Thermometer?
The Tool Calibration Guide: Types & Process
Interpreting a Calibration Certificate
analytical chemistry - How to read a chromatography calibration curve ...
Difference between calibration & validation | PPTX
PPT - How to read the calibration results PowerPoint Presentation, free ...
Topic 1b. Standards & Calibration-1 | PDF | Measurement | Calibration
How to Read and Interpret Calibration Reports - Premier Physic ...
Calibration of Instruments | PPTX
Calibration Standards: A Guide – YGDYQY
Instrument Calibration | Types of Calibration | methods of calibration ...
Lux Meter Calibration Certificate | PDF
PPT - Calibration methods PowerPoint Presentation, free download - ID ...
PPT - Reading Work Samples Development Workshop PowerPoint Presentation ...
PPT - Calibration Types and It's Applications PowerPoint Presentation ...
Instrument Calibration Questions and Answers
Instrument Calibration Report - Instrumentation basics
Calibration Sheet for Measurement Devices | PDF
Preparing Calibration Standard Solutions at Wayne Nutt blog
Calibration | PPT
Calibration and Calibration Curve. lecture notes | PDF
What is a Calibration Report and How to Read the Report?
Calibration of Instruments Asif.pptx
In sentence examples of "calibration" - EnglishTestStore Blog
Calibration Awareness - Calibration Awareness
Calibration Errors and Testing | Basic Principles of Instrument ...
6 Steps Guide to Selecting a Master Instrument for Calibration
The Definition and Application of Calibration Standards and Measurement ...
Calibration & Testing of Electronic Meters | PPTX
Calibration Record Sheet Template at Charles Bolden blog
Calibration | PPTX
Calibration Data Sheet In Excel at John Mclain blog
PPT - The Calibration Study PowerPoint Presentation, free download - ID ...
Calibrations and Verifications | PDF | Calibration | Verification And ...
How to Choose the Right Type of Calibration for Your Instruments
Potentiometer Wiring: Guide to Diagram & Practical Examples
What is Monitor Calibration Report and How to Read the Report? | BenQ US
Types of Calibration: Definition, Purpose, Instrument & Examples ...
PPT - MEASURING AND TEST EQUIPMENT CALIBRATION PowerPoint Presentation ...
2) Procedure For Calibration | PDF
Calibration Defined at Angie Kimble blog
Demonstration of the calibration process with a simplified example ...
Understanding Basics of Calibration - YouTube
Part 12 Calibration Reports | PDF | Calibration | Metre
Printable Calibration Certificate Template
Types of Calibration
How To Calibration | PDF
When To Calibrate: Making Sense of Calibration Intervals - Technical ...
Calibration Lab Report at Claribel Ayres blog
Types of Moisture Calibration
Calibration: meaning, definitions, translation and examples
Using & Understanding a Calibration Certificate | H&D Fitzgerald
Calibration Meaning Oxford at Jason Kim blog
As Calibration Interval at Cheryl Franklin blog
Instrument Calibration Report: Engineering Department | PDF
Calibration Record Sheet - Inpaspages
CALIBRATION in a Sentence Examples: 21 Ways to Use Calibration
Comprehensive Guide to Calibration Tools and Techniques | Fluke
4 Methods of Scale Calibration
Using a Calibration Curve – A Level Biology Revision – Beyond Blog
Calibration Accuracy Ratio at Jack Belser blog
How to Make a Calibration Curve in Excel - The Pharma Education ...
calibration and recorders | PDF
Calibration Reviews for Employees: What They Are and How They Work
calibration.pptx
PPT - Measurement Theory PowerPoint Presentation, free download - ID ...
PPT - A tutorial on acoustic measurements for the non-technician ...
calabration-principles-chapter1.pdf
Calibrating Z Steps at Martha Ehrlich blog
How to Differentiate Calibration, Verification, and Validation ...
PPT - Chapter 2 – Analyzing Data PowerPoint Presentation, free download ...
PPT - Electric Circuit Concepts PowerPoint Presentation, free download ...
What is Equipment Calibration? | Limble CMMS
How to read a caliper the complete guide – Artofit
3. Read and record the caliper readings | StudyX
Location of the Measurement: How Do You Know if Your Device is “In ...
Calibrating Standards in the Assessment of Recitals Introduction
Basic concepts of measurement | PPTX