Showing 120 of 120on this page. Filters & sort apply to loaded results; URL updates for sharing.120 of 120 on this page
Calculating Rate constant - Problem 459 - YouTube
14) Initial rate method to find rate law ans rate constant Box problem ...
problem of determining rate law and rate constant (chemical kinetics ...
Solved Problem 3: (10 pt.) How will the rate constant of a | Chegg.com
Rate Constant Definition Example at Eugene Bergeron blog
Rate Law Practice Problem | Rate Laws | ShowMe
How To Determine The Units Of The Rate Constant K - Chemical Kinetics ...
SOLVED:these problems, you will calculate the rate constant for each ...
Units of Rate Constant k - Chemistry Steps
Rate Law and the Method of Initial Rates: Chemistry Sample Problem ...
Rate Constant Calculation From Graph at Stephanie Watt blog
Kinetics - rate law with rate constants (vid3) worked problem - YouTube
How to Calculate Rate Constant (k) of Reaction Rates - YouTube
Constant rate of change - word problems and equations | Math, Algebra ...
Identifying Half-Life Given the Rate Constant | Chemistry | Study.com
Solved Calculate the rate constant with proper units. | Chegg.com
How to Determine the Rate Constant by Using the Proportionality in the ...
Complete Guide: How to Determine Rate Law and Rate Law Constant Using ...
Solved Question 30 Determine the rate constant for the | Chegg.com
Constant Rate of Change: Graphs, Tables & Word Problems Create the Riddle
Rate Constant & Rate Law | Definition, Differences & Examples - Lesson ...
Solved Determine the value of the rate law constant for the | Chegg.com
Solved Calculate the rate constant for the following | Chegg.com
Solved Determine the rate constant for the following first | Chegg.com
Solved 15.24 Determine the rate constant for each of the | Chegg.com
Solved Determining Rate Constant from Rate Law and Actual | Chegg.com
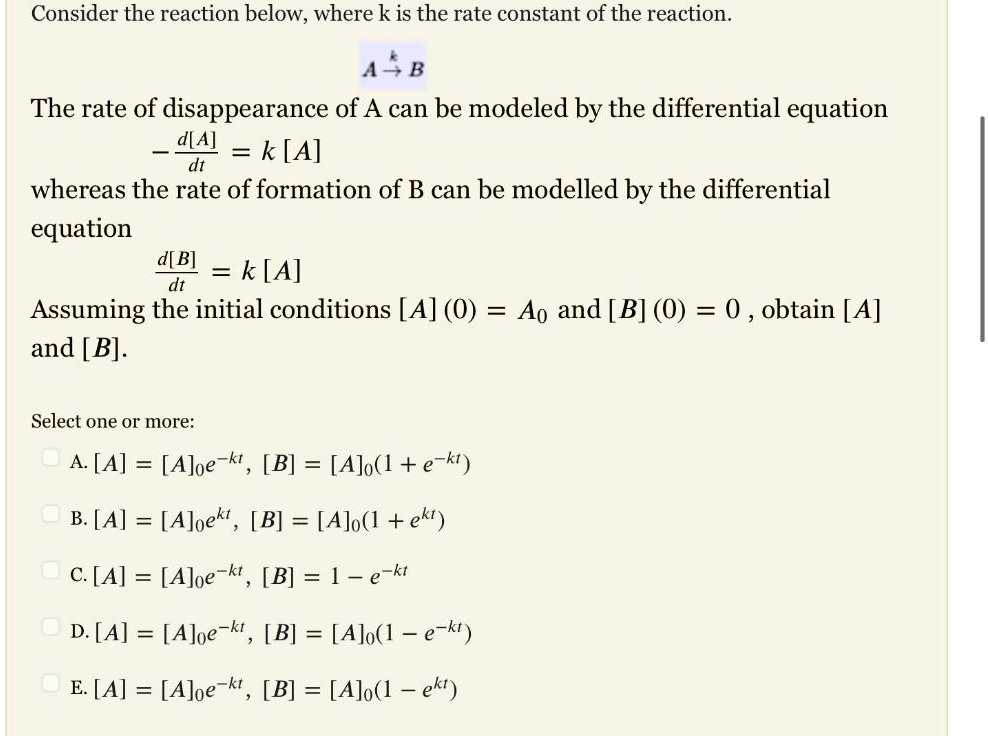
SOLVED: Consider the reaction below, where k is the rate constant of ...
[Solved] Using the data in the table, calculate the rate constant of ...
Constant rate practice problems | PPTX
The rate constant for a first order reaction is 60 s⁻¹. How much time wil..
The Rate Constant Of First Order Reaction Becomes 5 Times at Andrew ...
Chapter 5-2 Rate Law and Specific Rate Constant (k) Problems - YouTube
Solved Determine the value of the rate constant at 25∘C a) | Chegg.com
Applications to constant rate problems - YouTube
Solved Determine the rate constant from the | Chegg.com
Calculating the Rate Constant Using Initial Rates Data- Example (Pt 2of ...
Solved Determine the rate constant for the following | Chegg.com
Solved How would the rate constant be determined from a | Chegg.com
Solved Using the given data, calculate the rate constant of | Chegg.com
The unit of rate constant for a first order reaction | 12 | CHEMICAL ...
Chemical Kinetics Problem Set - Rate Constants & Reactions - Studocu
Solved What rate constant can be determined from only the | Chegg.com
Rate Constant Equation Second Order - Tessshebaylo
Solved c) Determine the value of the rate constant using the | Chegg.com
Solved Using the given data, determine the rate constant of | Chegg.com
Calculating the Rate Constant - YouTube
Rate Constant Speed Formula at Rebecca Hart blog
Rate Constant Units For Third-Order Reaction at Kenneth Bray blog
Rate Equations - The Rate Constant (A-Level Chemistry) - Study Mind
3. Calculate the rate constant for each solution. | Chegg.com
5. Calculate the rate constant for Experiments 1,2,3, | Chegg.com
Solved The rate constant for the following elementary | Chegg.com
Derive equation of rate constant and half reaction time for zeroth order
Constant Rate of Change Practice Problems & Solutions | Tutorela
[Solved] The rate constant k for a certain reaction is measured at two ...
Problem 6.12 : The rate constants for a first order reaction are 0.6 s−1
Solved 6. The rate constant for a reaction is given by | Chegg.com
Solved QUESTION 3 Calculate the rate constant of a | Chegg.com
The unit of rate constant obeying the rate expression `r=k[A]\'[B]^(2 ...
Solved The following data show the rate constant of a | Chegg.com
Solved Calculate the rate constant for Set B using the rates | Chegg.com
rate constant units
Rate Constant Calculator + Online Solver With Free Steps
Solved The rate constant for the following reaction is | Chegg.com
Determine the Value and Units of the Rate Constant
Solved 5. A student is asked to find the rate constant for a | Chegg.com
Intro to Rate Laws, Rate Constants, Reaction Order - Chemistry Tutorial ...
Simple enzyme kinetic scheme. Net rate constants k3′ and k1′ are used ...
Solved Use the method of initial rates to determine the rate | Chegg.com
rate constants and the arrhenius equation
The Rate Equation (A-Level) | ChemistryStudent
SOLVED: Starting with the data in the table below; (a) deduce the rate ...
Solved Using the method of initial rates, determine the rate | Chegg.com
Solving a Rate Law Using the Initial Rates Method - YouTube
Solved Example The Integrated Rate Law for a Second-Order | Chegg.com
Using Graphs To Determine Rate Laws Rate Constants And
Reaction Rate Law (Example) - YouTube
Chemistry - Chemical Kinetics (15 of 30) Finding Rate Law & Rate ...
Solving Rate Problems
Reactivity 2.2 How fast? The rate of chemical change (HL) - MSJChem ...
Solved Example "BOTH RATE IN \& RATE OUT" Differential | Chegg.com
Solved Integrated Rate Laws 3. The rate constant, k, for a | Chegg.com
Kinetics: Rates, Rate Law, Rate constant, k - YouTube
Solved To understand reaction order and rate constants. For | Chegg.com
Arrhenius Equation. Rate of reaction and temperature | PPT
Rate Constants and Rate Law | Channels for Pearson+
SOLVED: For the reaction profile below, which step has the largest rate ...
PPT - Understanding Differential Rate Law in Chemical Reactions ...
Solved Calculation of the rate constants at different | Chegg.com
Topic 2-4 Problems with Constant Rates of Change | Math, Algebra | ShowMe
Rate Law Constant: Understanding Reaction Dynamics | LawShun
For the following problem, write the rate law and | Chegg.com
Units of Rate Constants - QS Study
Warm Up Problem of the Day Lesson Presentation Lesson Quizzes. - ppt ...
Rate Constants and Equilibrium Constants | PDF | Reaction Rate ...
Chapter 12 Chemical Kinetics. - ppt download
PFR and CSTR in Series or Parallel Combination for a single reaction ...
PPT - RATES OF REACTION PowerPoint Presentation, free download - ID:2568787
PPT - Chemistry 102(01) Spring 2012 PowerPoint Presentation, free ...
PPT - Kinetics PowerPoint Presentation, free download - ID:1155553
PPT - CHEMICAL KINETICS PowerPoint Presentation - ID:5609537
PPT - Chapter 13 Rates of Reaction PowerPoint Presentation, free ...
PPT - Chemical Kinetics PowerPoint Presentation, free download - ID:496061
PPT - Chapter 13 Chemical Kinetics PowerPoint Presentation, free ...
PPT - Rates of Reactions PowerPoint Presentation, free download - ID ...
PPT - Ch #16: Kinetics PowerPoint Presentation, free download - ID:1276669