Showing 120 of 120on this page. Filters & sort apply to loaded results; URL updates for sharing.120 of 120 on this page
HL Year 1 Random Trig Practice Problems | Sine | Trigonometric Functions
Random Trigonometry Problems - Play Online on Flash Museum 🕹️
Trig Practice Problems | PDF
PPT - Steps for solving Trig problems (see example problems below ...
Trig Ratio Problems Stage 1 Mathematical Investigation Trigonometry
Trig Problems 2 notes | PDF
24 Trig Identity Problems | Download Free PDF | Geometric Measurement ...
how to solve trig problems with triangles - YouTube
Trigonometry- Solving trig problems - TRIGONOMETRY Hints on solving ...
How to Solve Trigonometry Identity Proving Problems - Trig Math - YouTube
examples of trig problems | Math, Trigonometry, Right-angled ...
Trig Application Problems by Poe Pro Math Resources | TPT
Trig word problems with diagrams : r/matheducation
Trig Practice Worksheet / Trigonometry Word Problems Worksheet With ...
Solving 3D Trig Problems (5.8) - YouTube
Trigonometry - Trig problems - Civil Engineering - PANGASINAN STATE ...
Trig Vector Problems South Of East Vector at Vectorified.com ...
Answers to trig problems 1 through 7 by Robert's Science Class | TPT
Abdulla Sami - Multi-Step Trig Problems 2022-23 - Directions: Solve ...
Algebra Trig Problems | PDF
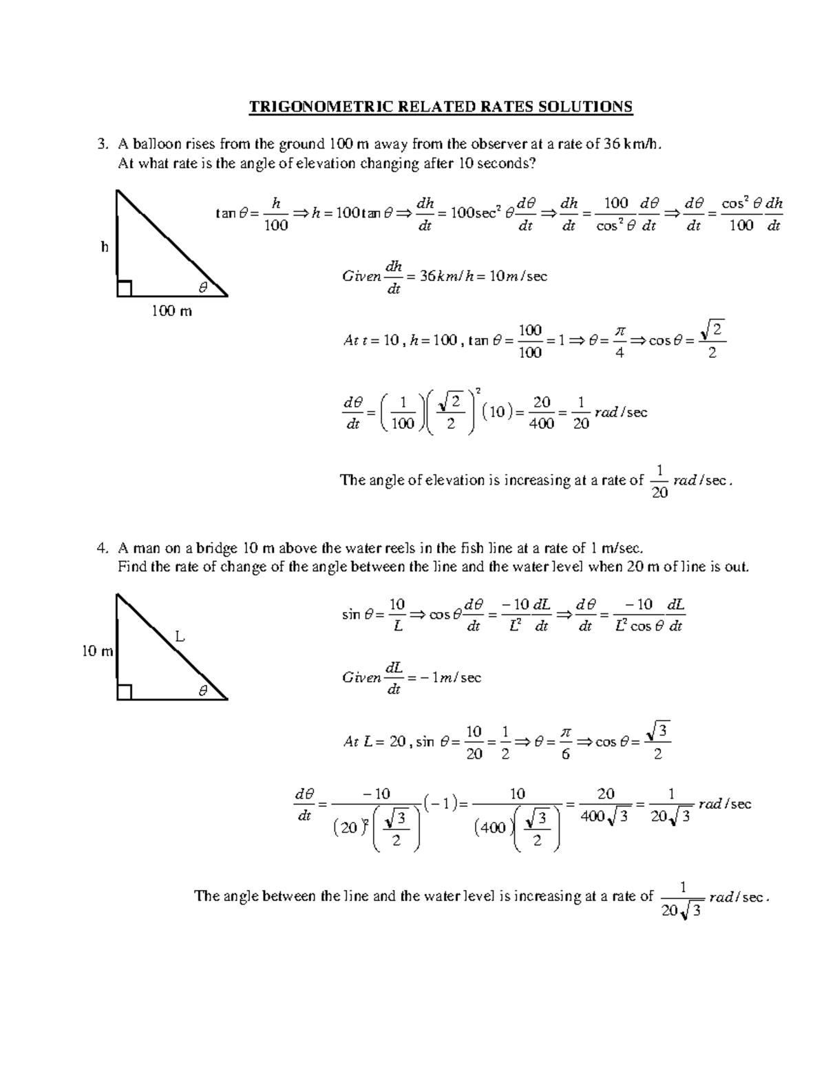
TRIG 3208: Solutions to Trigonometric Related Rates Problems - Studocu
7 Hard Trig Problems | Trigonometry | Triangle
Trig Problems | PDF
Solving Trig Problems with Multiple Angles 0 to 2pi | Equations, Math ...
Random Math Problem: Trigonometry - YouTube
Gr 10 Applied Math: Trigonometry Problems
Triangle Trig Practice Worksheet 1 at Owen Griver blog
Trigonometry Multi Step Problems Worksheet | Fun and Engaging KS3 and ...
Proving Trig Identities Practice Worksheet - salesazgard
Trigonometry Practice Problems With Solutions | PDF
Random Math Problem 1: Trigonometry - YouTube
Trigonometry Problems & Solutions | PDF | Trigonometry | Trigonometric ...
Trigonometry (C) Word Problems (With Clues) Worksheet | Printable ...
Trigonometry Practice Problems
Solving Trig Equations Notes with Step by Step Solutions (Solve Trig ...
How To Solve Hard SAT Math Problems - Right Triangle Trigonometry (Part ...
Random Math Problems: Geometry – Trigonometry - YouTube
Advanced Trigonometry Problems
Random Problem - Simplifying Trigonometric Expression - YouTube
15 Trigonometry Questions And Practice Problems For High School
Finding the Trigonometric Ratios of a Given Acute Angle(s): Random ...
Solve Problems Using Trigonometry - YouTube
Proving some Random Trigonometric Identities - YouTube
Random Trigonometry Questions
Mathematics Random Problem-1 Trigonometry Problem - YouTube
Finding the Integral With Trigonometric Substitution - Random Calculus ...
Trigonometry Word Problems With Solutions | PDF
7 Challenging Trigonometry Problems | PDF | Trigonometry | Triangle
Solved A05.3 Challenge: trig. A random variable X has a | Chegg.com
Integrating a Trigonometric Function - Random Calculus Problem 6 - YouTube
How to Solve Trigonometry Problems Step by Step for Beginners (Maths ...
Complex Trigonometry Problems at Stephen Gallagher blog
Trigonometry Problems
Interesting Trigonometry problems - Mathematics Educators Stack Exchange
Trigonometry Word Problems Worksheet - Admuscente
Trigonometry Problems Worksheet
Trigonometry Problems | PDF | Trigonometric Functions | Sine
Trigonometry Problem Solving Grade 11: Trigonometry]:Solving 3D Trig
Challenging Trigonometry Problems
Trig Function Real-World Word Problem Fun Activity Trigonometry ...
Trig problem : r/askmath
Trigonometric Ratios Word Problems Worksheets 14 – Trigonometry (2):
Problems On Trigonometry (Solution of Triangle) I (Core) Sol | Download ...
Solving Word Problems with Trigonometry - Trigonometry - Worksheets Library
Trigonometry Word Problems Worksheet - E-streetlight.com
Trigonometry Word Problems with Solutions by tutor pace - Issuu ...
Trigonometry Problems with Step-by-Step Solutions
Basic Trigonometry Problems Trigonometric Problems (video Lessons,
Trigonometry Problems in 2 and 3 Dimensions (full lesson) | jensenmath ...
Trigonometry Problems And Answers
Trigonometry Math Problems
Trigonometric Word Problems - Raise My Marks Math Worksheets
Random | PDF | Trigonometric Functions | Trigonometry
Trigonometry - Practice Problems | PDF
Trigonometry Triangle Problems
Challenging Trigonometry Problems =LINK=
SOLUTION: Trigonometry sample problems with solution - Studypool
Solved Using basic trig functions and special triangles, | Chegg.com
Trigonometry Word Problems Trigonometry Word Problems ( Read ...
SOLUTION: Trigonometry word problems practice - Studypool
Solved Trigonometry Review Directions: Work together to | Chegg.com
Trigonometric Functions Mastery Test at Phillip Pusey blog
Trigonometry Basics Worksheet
Trigonometry GCSE Questions | GCSE Revision Questions
Finding the Limit of Trigonometric Function (Algebraic/Trig ...
Trigonometry Questions | Trigonometry Questions with Solutions
50+ trigonometry worksheets for 9th Grade on Quizizz | Free & Printable
trigo-problems | PDF | Triangle | Trigonometry
Trigonometry - Practice Problemsalpha | PDF | Trigonometry ...
How to solve this Tricky Geometry Math Problem | Simple and easy ...
Proving Trigonometric Identities Pdf With Solutions at Kathleen Schmidt ...
Solved: Right triangle problem solving in trigonometry Find the side ...
Trigonometry Word Problems: Examples (Basic Geometry Concepts) - YouTube
27 Hands-On Trigonometry Activities | Math = Love
Trigonometry Problem Solving
Trigonometry problem/Trigonometry Problem Solving tricks/How to Solve ...