Showing 120 of 120on this page. Filters & sort apply to loaded results; URL updates for sharing.120 of 120 on this page
Review of radiation effects on ReRAM devices and technology - IOPscience
World Record ReRAM and More - The Memory Guy Blog
Is ReRAM Ready to Leave the R&D Phase? - EE Times
Radiation Immunity of Emerging Memories
RADIATION EXPOSURE AND RISKS ASSESSMENT MANUAL (RERAM): RISK ASSESSMENT ...
Weebit Nano ReRAM IP now available in SkyWater Technology’s S130 ...
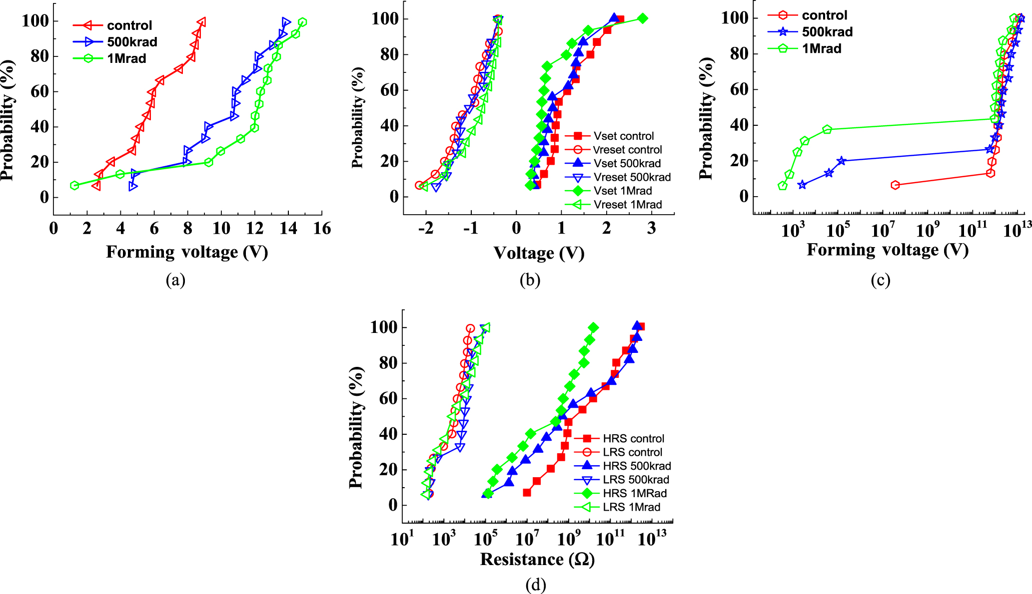
Figure 3 from Radiation-Hardened ReRAM Devices for Flexible Electronics ...
ReRAM measurement
TCAD Simulation of Resistive Switching Devices: Impact of ReRAM ...
ReRAM Advantage | Technology | Weebit
How Does Radiation Therapy Work? - Roseburg Community Cancer Center
Table I from Radiation-Hardened ReRAM Devices for Flexible Electronics ...
(PDF) Comparative analysis of tolerance to space ionizing radiation for ...
ReRAM NVM Shines, Even in In High-Rad Applications - Embedded Computing ...
A typical experimental set-up of the ReRam III laser Raman spectroscopy ...
Ion irradiation: a tool to understand oxide RRAM mechanism: Radiation ...
(Color online) (a) Photographs of the entire ReRAM device and (b ...
Weebit Nano and SkyWater Churn Out First Batch of ReRAM Demo Chips - News
Target ReRAM device and characteristics. | Download Scientific Diagram
Structure of the ReRAM used in this work [19]. [Colour figure can be ...
TEM of a ReRAM stack (device diameter, 200nm). Inset shows the bilayer ...
The Ultimate Guide to ReRAM
Fabricated GeO x ReRAM cell. a Cross-sectional image by high-resolution ...
(a) Device structure of the ReRAM cell. (b) The structure of an ReRAM ...
What is ReRAM or RRAM? Semiconductor ReRAM Memory Technology
(a) A schematic illustration of ReRAM device structure consisting of ...
(a) Change in state for a TiO 2 ReRAM (memristor) in the (a) "ON" (low ...
Setting a Foundationfor Security with ReRAM | Weebit | A Quantum Leap ...
Resistance change characteristics (VI curve) of ReRAM element ...
Cartoon of a ReRAM structure. The formation of a conductive filament ...
Radiation Safety Refresher Training Radiation Safety Program University
The ReRAM basics. (a) ReRAM cell; (b) 2D ReRAM crossbar. V: write ...
21B - Resistive Memory ReRAM Physics - LRS, HRS - YouTube
Schematic and photo of GO‐based ReRAM device using IPL reduction ...
Radiation Therapy: 4 Ways to Cope With Side Effects | ACTC Health
Radiation Therapy How It Works at Alicia Schaaf blog
(PDF) A ReRAM-Based Non-Volatile and Radiation-Hardened Latch Design
Why ReRAM/RRAM Is Like Lightning - EE Times
Is It Embedded ReRAM’s Time to Shine? – EEJournal
Sources
ReRAM: The Next-Gen Memory | Blog Posts | Lumenci
Rem Rad Conversion at David Cadell blog
A ReRAM-Based Non-Volatile and Radiation-Hardened Latch Design
New RRAM Arrays Bypass 1T1R Limitations for Better Non-volatile Memory ...
New Electronics - Weebit Nano partners with Nino Research Group to ...
Silicon Proven IP for Your Next-Generation Design
Schematic of a a general structure and b a cross-sectional view of ...
PPT - MANAGEMENT OF RADIOLOGIC CASUALTIES PowerPoint Presentation, free ...
What is radiation? Electromagnetic & Particulate radiations [with ...
Weebit Nano Ltd on LinkedIn: #reram #radiation #nvm #soc # ...
读书笔记一:RRAM (ReRAM) - 知乎
What Happened To ReRAM?
PPT - Nanoelectronic Memory Devices: Space-Time-Energy Trade-offs ...
Will Emerging Memories Ever See the Light of Day? - EE Times Asia
What Are the Four Ways Fire Can Spread | Human Focus
A ReRAM-Based Non-Volatile and Radiation-Hardened Latch Design - PMC
Figure 1 from A ReRAM-Based Non-Volatile and Radiation-Hardened Latch ...
What is space radiation? – How It Works