Showing 120 of 120on this page. Filters & sort apply to loaded results; URL updates for sharing.120 of 120 on this page
(Color online) Quantum eigenfunction for different k values ...
Circular billiard. (a) A typical quantum energy eigenfunction |ψnm ...
Another Example of an Eigenfunction /Eigenvalue Problem in Quantum ...
What Is Eigenvalue and Eigenfunction in Quantum Mechanics - YouTube
An eigenfunction of quantum Hamiltonian constraint in LQC is compared ...
quantum mechanics - Why is an eigenfunction $\psi_{n,l}$ proportional ...
quantum mechanics - Normalization of eigenfunction to Dirac-delta ...
Eigenvalue and Eigenfunction in quantum mechanics|| understand with ...
hilbert space - Quantum Harmonic Oscillator eigenfunction - Physics ...
(PDF) Quantum Numbers and the Eigenfunction Approach to Obtain Symmetry ...
Solved 3. The radial eigenfunction for the quantum state of | Chegg.com
Quantum circuits for the construction of the spin eigenfunction |Ψ(N, S ...
SOLUTION: Quantum chemistry eigenvalues and eigenfunction worksheet ...
Quantum Numbers and the Eigenfunction Approach to Obtain Symmetry ...
Operators, eigenvalues, and eigenfunction | Quantum Chemistry - YouTube
Eigenfunction and Eigen Value || Quantum Mechanics || By Gauri Sir ...
eigenvalues and eigenfunction in quantum mechanics - YouTube
Phys 325 Quantum Mechanics I - Lecture 9: Eigenfunction Expansion - YouTube
Solved 1. The radial eigenfunction for the quantum state of | Chegg.com
PPT - Angular momentum in quantum mechanics PowerPoint Presentation ...
Eigen Value, Eigen Function and Eigen Value Equation in Quantum ...
UNIT 1 Quantum Mechanics. - ppt download
Quantum Physics Mathematics - ppt download
Solved Eigenfunctions in Quantum Mechanics We solve the | Chegg.com
Eigenfunctions, Eigenvalues and Eigensystems in Quantum Mechanics - YouTube
(a) (Squared) Quantum eigenfunctions (blue solid line) for the ...
PPLATO | FLAP | PHYS 11.2: The quantum harmonic oscillator
Postulates of Quantum Mechanics: Eigenvalues & Eigenfunctions - YouTube
What is Eigen Function and Eigen Value - Basic Quantum Chemistry - YouTube
PPT - Quantum Mechanics of Angular Momentum PowerPoint Presentation ...
Schrödinger Equation — Quantum Mechanics for Chemistry
Eigen values and Eigen Functions in Quantum Mechanics || Eigen Values ...
Quantum mechanical eigenfunctions of the (continuous) repulsive ...
quantum mechanics - Can momenta eigenstate written in term of $x$ be an ...
eigen function and eigen value in quantum mechanics || degeneracy ...
What Is An Eigenfunction / Eigenvalue Problem Anyway? | Fundamentals of ...
Statistical Analysis Reveals Structural Properties Of Chaotic Quantum ...
Physics - Ch 66 Ch 4 Quantum Mechanics: Schrodinger Eqn (31 of 92 ...
eigenvalues and eigenfunctions in quantum mechanics।eigen value and ...
PPT - PHYS1220 – Quantum Mechanics PowerPoint Presentation, free ...
Solved Let H be a quantum mechanical Hamiltonian with | Chegg.com
quantum mechanics - Rotation of angular momentum eigenfunctions ...
Solved The eigenvalues and eigenfunctions of the 1-d quantum | Chegg.com
Eigenfunctions and Eigenvalues Explained | Quantum Mechanics | BSc MSc ...
Quantum harmonic oscillator-quantization/eigenvalues/eigenvectors ...
The first three eigenfunctions of a quantum particle in a... | Download ...
Eigenvalues and Eigenfunctions in Quantum Mechanics by sukhneet kaur on ...
Variations of five eigenfunctions of DLVO potential for quantum numbers ...
quantum mechanics - Eigenvalues and eigenfunctions of the exponential ...
Solved Quantum mechanics Is the function, f(x), an | Chegg.com
Frontiers | Numerical Solutions of Quantum Mechanical Eigenvalue Problems
SOLVED: 1. A quantum system goes into a time-dependent superposition of ...
Liouville Quantum Gravity Spectral Geometry Construction Yields ...
A mind dump of mathematics...: Quantum Mechanics: Eigenvalue Problems
Qm02-m - Good notes - Quantum Mechanics: Operators Operators ...
Vortex knots in tangled quantum eigenfunctions - PMC
PPT - Quantum Mechanics and Wave-Particle Duality PowerPoint ...
Eigenvalues and Eigenfunctions | Quantum mechanics BSc 3rd Year ...
Variations of four eigenfunctions of DLVO potential for quantum numbers ...
Understanding Quantum Theory: Eigenfunctions & Operators | Course Hero
SOLUTION: Quantum mechanics (hydrogen atom -radial eigenfunctions ...
Lesson 6 Particles and barriers Quantum Mechanics for
Riemannian Quantum Mechanics — Greg Egan
Introduction to quantum materials | PDF
Finding the eigenenergy's and eigenfunctions of a quantum particle in ...
Numerically Finding the Eigenstates/Energies of a 1D Quantum System ...
quantum mechanics - Energy eigenfunctions of a truncated harmonic ...
Solved 2. The energy eigenfunctions of a quantum particle in | Chegg.com
Quantum Harmonic Oscillator (Analytic Method) | Full Derivation of ...
(PDF) Formalized Quantum Model for Solving the Eigenfunctions
Eigenfunctions for level 0 and level 1 quantum graph approximation of ...
Quantum Chemistry 3.3 - Eigenvalues and Eigenfunctions - YouTube
Eigenvalue Equation in Quantum Mechanics | Eigenvalues and ...
Understanding Eigenfunctions and Eigenvalues in Quantum | Course Hero
Graphical representations of unnormalized eigenfunction solutions given ...
Solved 2. Consider the eigenfunctions for the quantum | Chegg.com
(PDF) Energy spectrum and eigenfunctions through the Quantum Section Method
(PDF) On fully supported eigenfunctions of quantum graphs
PPT - Quantum Mechanics: Free Particles, Uncertainties & Expectations ...
Quantum Circuits for the Preparation of Spin Eigenfunctions on Quantum ...
Topics In Quantum Mechanics Video # 12: Eigenfunctions of Momentum ...
Quantum Mechanics: Eigenfunctions & Ideal Gas Law Explained | Course Hero
Quantum Harmonic Oscillator Basics: a. Show that | Chegg.com
Solved The eigenfunction of the position operator x^ can be | Chegg.com
The lowest five eigenfunctions φ n (z) for the quantum bouncer. Left ...
PPT - Quantum Mechanics PowerPoint Presentation, free download - ID:6600443
Eigenfunctions and Densities in Quantum Systems | PDF | Hamiltonian ...
quantum mechanics - Why can an inner product of an eigenvector also be ...
Particle in One-Dimensional Infinite potential well (box) | PDF
Complete Set Of Eigenfunctions at Raymond Terrell blog
show that wave function x t aeikx wt 1 is an eigen function of the ...
Spectral Analysis of Proton Eigenfunctions in Crystalline Environments
455: Eigenvalues and eigenfunctions - YouTube
(a) Numerically computed eigenfunctions ψ and associated energy levels ...
PPT - Lecture 6 Information in wave function. I. PowerPoint ...
Eigenvalues and Eigenfunctions
What are eigen value and functions
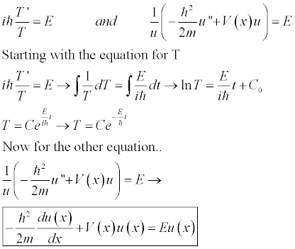
SOLVED: (b) The time-independent Schrödinger Wave equation for the one ...
[Quantum Mechanics] help calculating eigenvalues of operator : r ...
Show that wave function psi+(x,t) = Ae^+ikxe^-iomega t is an eigen ...
Eigenfunctions and Eigenvalues - YouTube
The potential V .x/ D x 2 (dashed) and the first three eigenfunctions ...
Eigenfunctions and Eigenvalues as they Apply to QM - YouTube
Fig. 2. The eigenfunctions (eigenvectors) for the six bound states. The ...
PPT - Physical Chemistry III PowerPoint Presentation, free download ...
Mathematical Review . - ppt download
Probabilities of random eigenfunctions with different energies ...