Showing 108 of 108on this page. Filters & sort apply to loaded results; URL updates for sharing.108 of 108 on this page
Quantum Mechanics Equations Formulas On Blackboard Stock Vector ...
Quantum mechanics scientific formulas Royalty Free Vector
Quantum Physics Formulas
Quantum Mechanics Formulas Revolutionary' Artificial Intelligence
Quantum Mechanics Formula Quantum Physics Formulas Over Blackboard
Quantum Mechanics Formulas Sheet
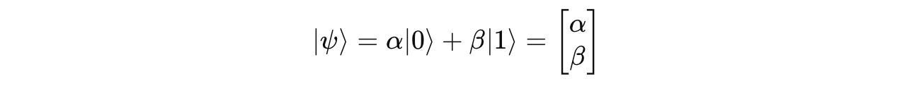
Preface | Essential Mathematics for Quantum Computing
Topological quantum computing formula | Example of Calculation
The Basics Of Quantum Computing - EDN
Clearly Explained: Superposition, Entanglement, and Quantum Computing
What is quantum computing and how does it work - a beginners guide
Fundamentals of Quantum Computing | PPT
The Basics of Quantum Computing .. Quantum Superposition - Development ...
Basic Guide to Quantum Computing and Superposition | by Mark Rethana ...
All The Basics That You Need To Get Started With Quantum Computing
Quantum Computer Explained Quantum Computing
Quantum Mechanics Equations and Formulas Overview | Course Hero
Unleashing the Potential: A Beginner's Guide to Quantum Computing ...
A Brief History of Quantum Computing | by QUANTUMPEDIA - The Quantum ...
Equations and formulas of quantum mechanics on Craiyon
Quantum Computing Explained: What It Is, How It Works, and Why It’s the ...
Quantum Computing Explained | PPTX
Quantum Computing Explained: How Qubits Will Change the Future | YourStory
Math Fundamentals for Quantum Computing Cheat Sheet Series — ARA HILL
Quantum Physics Formulas Stock Photos, Pictures & Royalty-Free Images ...
Unleashing the Potential: A Beginner's Guide to Quantum Computing - SRE ...
Quantum Computing Explained For Business People - FourWeekMBA
Quantum Mechanics Formulas - Consensus Academic Search Engine
illustration of physics and technology, Quantum computing is a type of ...
Basic quantum computing circuit. | Download Scientific Diagram
Quantum Mechanics Formulas leaving images of quantum physics equations ...
a SIMPLE overview of the math in Quantum Computing - YouTube
Premium Photo | Quantum physics operations and formulas written with ...
The basics of quantum computing for chemists - Claudino - 2022 ...
🏷 Quantum Computing Explained — Your Quantum Future: Getting Started ...
Essential Mathematics for Quantum Computing | Data | eBook
Quantum Neural Networks. Bridging Quantum Mechanics and Deep… | by ...
Exploring the Intricacies of Quantum Mechanics
Quantum computers, quantum computations - презентация онлайн
Quantum Formula Sheet Physicist Page Quantum Theory 11
A model of a quantum computer against the background of formulas, a ...
Quantum State - QPlayLearn
Quantum Mechanics Equations
Quantum Mechanics | Quantum mechanics physics, Quantum mechanics ...
Quantum Computer Presentation
Quantum Physics Overview, Concepts, and History
5 Most Important Equations of Quantum Mechanics - YouTube
Quantum Equations Photos and Premium High Res Pictures - Getty Images
Exploring Quantum Computing's Potential and Challenges
The Mathematics of Quantum Computers – Frank's World of Data Science & AI
Quantum Mechanics Formula Sheet | PDF
Quantum mechanics equation on transparent background for educational ...
Quantum Mechanics Equations Wallpaper
Principles of quantum computing. (A) Graphical representation of a ...
The computational power of Quantum Computers: an intuitive guide
Quantum Mechanics Equations Sheet
Quantum Math Explained at Marc House blog
Quantum Mechanics Equation Spirituality, Quantum Physics & Life: 18
Beyond Theory: The Groundbreaking Real-World Applications of Quantum ...
5+ Thousand Quantum Mechanics Royalty-Free Images, Stock Photos ...
Block diagram of quantum computation | Download Scientific Diagram
Five Layered Architecture of Quantum computer consisting of ...
A sketch of quantum computation in integrable systems. There are two ...
Quantum Physics Equations Sheet
Unlocking the Power of Quantum Computing: A Comprehensive Guide | NIX
Quantum Mechanics Image & Photo (Free Trial) | Bigstock
Researchers discover universal rules of quantum entanglement across all ...
Quantum Computer Diagram Duke University And IonQ Develop New Quantum
Quantum Mechanics Equations Sheet Quantum Ideas Notes Week 1 PDF | PDF
5 Quantum computation as modeled by quantum circuits | Download ...
598 Quantum Simulation Images, Stock Photos & Vectors | Shutterstock
Quantum Mechanics Formula Sheet 🧠 | CSIR-NET Quick Revision #csirnet # ...
(PDF) Quantum Formulas: A Lower Bound and Simulation
Quantum Mechanics Background
Physics in one equation | Physics, Quantum mechanics, Quantum
Quantum Entanglement Formula Fundamental Quantum Physics Equation
What Is Quantum Computing?
Quantum Formula Sheet
Quantum Computer Quantum Computer Quantum Simple Math
Mathematical Formulation of Quantum Mechanics | PPTX | Physics | Science
What Is Quantum Computing? An In-depth Explanation - Intuji | Creating ...
An in-depth look at an IBM quantum computer | Popular Science
121 Wave Function Quantum Mechanics Images, Stock Photos & Vectors ...
Quantum Computing: the future of computational power | neosfer
stunning modern Quantum Mechanics Formula Visualization Transparent ...
PPT - Quantum Computation PowerPoint Presentation, free download - ID ...
Quantum Computing: The Why and How | PDF
What is quantum computing, and why are Big Tech and Washington ...
The equations of physics represent one geometrical process | Physics ...
Qubits Explained