Showing 120 of 120on this page. Filters & sort apply to loaded results; URL updates for sharing.120 of 120 on this page
75 questions with answers in QUANTILE REGRESSION | Science topic
Quartile - Math Steps, Examples & Questions
Quantile Plots Question 1 Practice the formula of The | Chegg.com
descriptive statistics - representing quantile like quartile in form of ...
Solved Interpreting Normal Quantile Plots. In Exercises 5-8, | Chegg.com
Math 10 Test Question | Download Free PDF | Percentile | Quantile
7 Essential Data Analysis Secrets in Quantile Distribution Methods
Answered: Examine the normal quantile plot and… | bartleby
Answered: (a) Graph the normal quantile plot for the data. To help get ...
PPT - West Virginia Parent Report for Lexile and Quantile Measures ...
PPT - Quantile regression- a very brief introduction PowerPoint ...
Solved Question 5 In the Test of a Quantile (e.g., the | Chegg.com
Answered: The normal quantile plot shown to the… | bartleby
PPT - The Quantile Framework for Mathematics PowerPoint Presentation ...
PPT - The Quantile Framework ® for Mathematics & West Virginia ...
Understanding The Quantile Quantile Test For Data Analysis PPT ...
Quantile Quantile plots - GeeksforGeeks
8 Quantitative Reasoning Questions in English | PDF
Quantile of a distribution | Definition, explanation, examples
R-test - R-test - Question 1 Question text Quantile 30% of x2 is Answer ...
PPT - Online Computation and Continuous Maintaining of Quantile ...
Quantile - Wikipedia
Quantile Measures Parent Guide - LEXILE & QUANTILE HUB
Solved Quantiles 1 point possible (graded) The quantile of | Chegg.com
Practice Questions Mean Median Mode Quantiles Variance SD | PDF
Quantile -- from Wolfram MathWorld
[ANSWERED] Examine the normal quantile plot and determine whether it ...
Quantitative Questions | PDF
Solved 1. Upper quantile (20 points) a = 0. 2 Question: | Chegg.com
Solved Each of the following normal quantile plots | Chegg.com
Quantile Regression (Explained) | Median Analysis
[ANSWERED] The normal quantile plot shown to the right represents - Kunduz
Quantile
Sample Quantitative Reasoning Questions | PDF | Length | Mean
Q3. Find the quantile function F-1 for F(x)-1-x-α, x 〉 1 - HomeworkLib
Examine the normal quantile plot and determine whether it depicts ...
SOLUTION: Quantitative aptitude questions set with answers - Studypool
Useful Quant Questions | PDF | Watch | Teaching Mathematics
The Quantile Framework: A Guide to Mathematics
Answered: The quantile regression estimator is the sample analog of ...
Tutorial 30: Quantile Quantile [Q-Q] Plot in Data Visualization ...
Solved a) Estimate the 0.1 quantile b) Estimate the 0.95 | Chegg.com
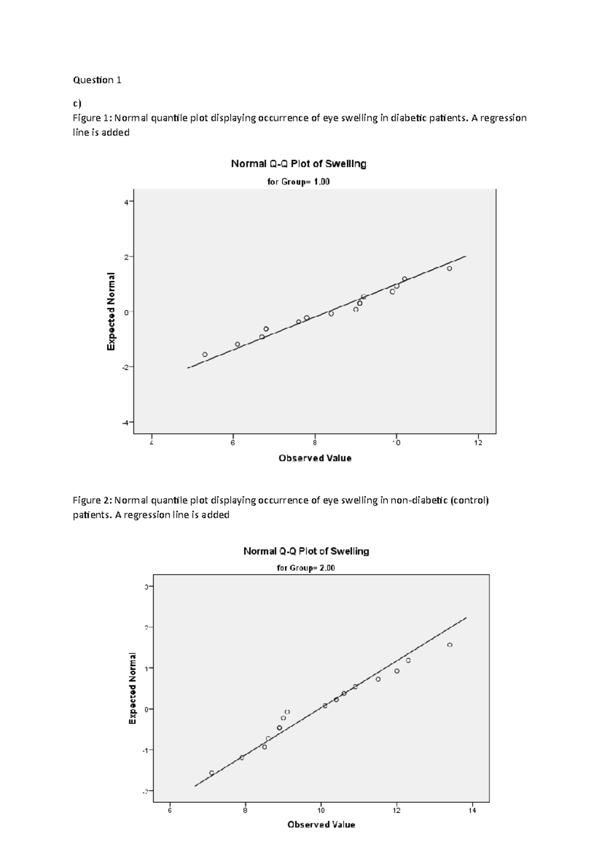
Assignment 4 Stats - Question 1 c) Figure 1: Normal quantile plot ...
self study - Help: Quantile tables and hypothesis testing - Cross Validated
200 Quantitative Aptitude Questions PDF | PDF | Percentage | Pie Chart
Quantitative Practice Questions | PDF
11. Quantile in Summary Metric Type | Prometheus Summary metrics using ...
Quantitative Aptitude Practice Questions With Solution | PDF
Answered: 3.2 THE QUANTILE TEST AND ESTIMATION OF… | bartleby
Analysis of the quantile process estimates | Download Scientific Diagram
Solved Quantitive questions 1. What is the average and | Chegg.com
Answered: Generate a normal quantile plot for the data. Choose the ...
Integrated Math 2 - Santowski - ppt download
What Is The Interquartile Range Gcse Maths at Lynell Jones blog
PPT - Quantiles PowerPoint Presentation, free download - ID:6081675
quantiles - Finding Quartiles in R - Cross Validated
Quantiles ~ Definition, Calculation & Types
PPT - Introduction to Statistics PowerPoint Presentation, free download ...
Exercise 5 This exercise is about the | Chegg.com
PPT - Quantiles PowerPoint Presentation, free download - ID:2112559
Solved Consider the 4 normal quantile-quantile plots given | Chegg.com
Matlab:Linear Methods, Quantiles | PPTX
Comprehensive Guide on Quantiles, Quartiles and Percentiles
(Solved) - Question 1 (1 point) Consider the 4 normal quantile-quantile ...
PPT - Summarizing Measured Data PowerPoint Presentation, free download ...
Answered: Construct a normal quantile-quantile plot of the values ...
Quartile 1
Matlab: Linear Methods, Quantiles | PPTX
Percentile vs. Quartile vs. Quantile: What's the Difference?
What Is The Best Quartile at Kenneth Britt blog
Significance of quantile-on-quantile regression (QQR) at 5% level ...
Solved Would the quantile-quantile plot below of regression | Chegg.com
Solved Question 2 1 pts quantiles of an arbitrary normal | Chegg.com
Examples of quantile-quantile plots - Ecological Modelling
Solved Question list 1
Quartile Formula in Statistics: Examples, Interquartile Range, Template
SOLVED: Question 2. The following table shows sample of interarrival ...
Quantiles or Fractiles | Basic Statistics and Data Analysis ...
LECTURE NO 7.pdf
Quantiles, Percentiles, Deciles Calculations
Q4-Lesson 5 - Worksheet-Quantiles | PDF
Lecture 17 (March 31) - MANE 3332.04 - Engineering Statistics
How to ask quantitative survey questions: types & examples
Quantitative research questions: Types, tips & examples
Quartiles Definition Formula Solved Example Problems
PPT - Exploratory Data Analysis PowerPoint Presentation - ID:182834
Quartiles, Deciles and Percentiles | PPT
Due Oct. 12th Data Sources – a list of data files and their sources, an ...
Upper Quartile Definition How To Calculate The Upper Quartile: 13
Quantile-quantile plots for investigation of input separability by ...
Quartiles & Interquartile Range | Calculation & Examples - Lesson ...
Quantile-Quantile Plots (QQ plots), Clearly Explained!!! - YouTube
Avellana, John Benedict - Measure of Relative Position (Questions and ...
Solved Problem 1: True or False questions. Please circle the | Chegg.com
Grouped Data - Quartile worksheet - Worksheets Library
Polars DataFrame quantile() Method - Spark By {Examples}
Quantitative aptitude www.fellowbuddy.com
Quantitative Questions: Get Data That Drives Action
What Are And How To Calculate Quartiles, The Interquartile Range, IQR ...
Quartiles Formula Statistics Quartiles & Quantiles | Calculation,
18. Quantitative Reasoning: Question Types & Strategies
Solved Find the 0.95-quantile of X. Question 23 3 pts | Chegg.com