Showing 120 of 120on this page. Filters & sort apply to loaded results; URL updates for sharing.120 of 120 on this page
Practical Python Data Wrangling and Data Quality von Susan E. McGregor ...
Calvin Klein Embellished Susan Python Tote - Macy's
Calvin Klein Susan Python Crossbody - Macy's
Susan E. McGregor: Intro to Python - YouTube
How To Build A site From Scratch Using Python at Susan Tucker blog
Python Jasalyn Tote | Joy Susan
Joy Susan | Bags | Joy Susan Nwot Python Emma Vegan Leathertote Bag ...
Triangle Equilateral Python at Susan Cummings blog
Python Box Dictionary at Susan Cummings blog
# implemented guessing game in python | Abisha Susan Alichan
Harvest ANACONDA FISH in the Forest - Attack by Giant Python | Susan ...
A Math Quiz Game built with Python by Susan Oladotun | Learners Project ...
Banana Ball Python Breeding at Susan Pittman blog
Susan Tan: Python in the Browser: Intro to Brython - PyCon 2014 - YouTube
Susan Stephen Deadly Python GOLDEN IVORY aka WHITE HUNTRESS org 1954 ...
Chloé Python Susan Studded Ankle Boot at Barneys.com | Studded ankle ...
Calvin Klein Susan Python Print Crossbody Bag – COUTUREPOINT
Calvin Klein Embellished Susan Python Tote WW621 $248 192351372209| eBay
Kancherla Susan on LinkedIn: My Python Programs. (Started B.Tech 2nd Year )
Joy Susan - Python Bucket Purse - Penningtons
Susan with Python in Belize - Capital Formation Counselors
Susan Lawrence women size 2x python matching skirt... | Depop
Susan E. McGreg Practical Python Data Wrangling and Data (Paperback ...
Python Aria Ring Bag | Joy Susan
About Practical Python Data Wrangling and Data Quality - Mentoring Club
Welcome - Code with Susan
Break into game development with Python: Susan Shu Chang - YouTube
GitHub - susanli2016/Machine-Learning-with-Python: Python code for ...
Lot - Susan Long, Mutitjulu Uluru-Kata National Park (20th Century ...
Susan McDermott on LinkedIn: #python #sas #datascience #opensource #scripts
#100daysofpython #project #programming #python | Susan Dhital
Completion of Google IT Automation with Python Professional Certificate ...
GitHub - khushboo-agarwal/Susan-Corner-Detection: SUSAN corner ...
#data #dataanalysis #nlp #python #greatlearning #simplilearn | Susan ...
Map() and Filter() Function in Python | Python programming, Python ...
#skillbridge #nextgen #python #ai #certification #training… | Susan G
Susan Maina, Author at Towards Data Science
Susan E. Kahler, Ph.D. on LinkedIn: #python #persistence #iamintel
Python Coding on Instagram: "Displaying LaTeX Mathematical Expressions ...
Promise of Python Programming: The Ultimate Guide to Mastery: Building ...
python opencv 角点提取SUSAN opencv角点检测harris_mob64ca1408d5ff的技术博客_51CTO博客
Susan Dhital on LinkedIn: #100daysofpython #python #learning ...
Susan 2013 by stephan-zx on DeviantArt
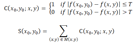
The principle of SUSAN algorithm Because the USAN values of points in ...
A Simple Guide to String Formatting in Python Using f-strings | Python ...
Susan Johnson/Gallery | Heroes Wiki | Fandom
Python Coding on Instagram: "10 Essential Insights About Python Classes ...
How to create a keyboard jumping words using Python PyGame library ...
Python Coding on Instagram: "Python Data Science 2024: Explore Data ...
Regular Expressions (Regex) with Examples in Python and Pandas | by ...
Susan E. Kahler, Ph.D. on LinkedIn: Videos: Building computer vision ...
Python Libraries for Financial Analysis and Portfolio Management
Python Coding Challenge: Fibonacci Sequence | Fibonacci, Fibonacci ...
Susan by aBubbleNtime on DeviantArt
Susan Dhital on LinkedIn: #python #database #sql #learning #sqlite ...
Susan Sample - Aspiring Software Engineer with a strong background in ...
Burmese Pythons Invade the Everglades: Gray, Susan H: 9781534188426 ...
Susan Redesign by AuroraWalrein on DeviantArt
Fibonacci Sequence in Python
Abisha Susan Alichan on LinkedIn: #kaggle #google #colab #python
Day 12: Introduction to Modules and Packages in Python | by Christina ...
Do you develop Python code that you plan to keep using? Not just a few ...
Susan Gatura | 🤣🤣🤣 @chatgpt is the real deal #datascience # ...
Abisha Susan Alichan on LinkedIn: #linkedin #google_colab #python
Top 5 Python Programs Using demoji for Emoji Processing Free Code ...
Python Code: Convert Decimal to Hexadecimal Number | Codevisionz
Python Coding on Instagram: "Unzip Files using Python" in 2025 | Python ...
Python Dictionary Values Method » Programming Funda | Python, Method ...
🏆 Day 72 🎯 Throughout my learning Python adventure. I'm enrolled in Dr ...
Pin on Coding Python - LeetCode Solutions - Easy
#python #newskills | Susan E. Kahler, Ph.D.
Attended a workshop on Fundamentals of Python Programming last year on ...
Long scrub python photographed slithering across Cape Tribulation road ...
Python Coding Challenge - Day 117 | What is the Output?
GitHub - 27ankitsharma/NLP-with-Python-Susan
GitHub - Bijay2305/NLP-with-Python_susanli: Scikit-Learn, NLTK, Spacy ...
Adopters needed for dozens of 'renovicted' reptiles | News
角点检测(3) - SUSAN算子 - 理论与Python代码 - 知乎
试编程实现SUSAN算子进行边缘检测python 基于sobel算子的边缘检测_mob6454cc6bcf40的技术博客_51CTO博客
【边缘检测】Python实现SUSAN算法及使用非极大值抑制进行改进(含免费可用源代码)_sunsan算法python-CSDN博客
susan算子python实现_用python实现susan算子-CSDN博客
susan算子 python实现 pytorch算子_mob6454cc75556b的技术博客_51CTO博客
Burmese Python...A Classic Case of How Invasive Species Can ...
Newly Discovered Hybrid Pythons Are Threatening Florida’s Wildlife ...
Pivot tables in Pandas and Handling Multi-Index Data with Hands-On ...
Shop the Entire Collection – Page 2 – Emme Parsons
Pin on Quick Saves
#python #girlswhocode #data #analytics #codelikeachampiontoday | Xian ...
ADW: python_reticulata.jpg
Ritesh Kumar on Instagram: "Country Details using Python" | Coding ...
#pharmacist #technology #toronto #tech #a #python #devops #thankyou # ...
3 Large Pythons Spotted in New York City, Only 1 Snake Captured
How to Sort a List of Dictionaries by Value in Python?-Python Tutorial ...
To prevent the screen from flashing away immediately, ‘exitonclick ...
Zoom with Susan! | Over The Influence
#throwbackthursday #phoenixkesocial #techandchill #techiesunite # ...
susan算子检测边缘点python 检测边缘的sobel算子_mob6454cc627440的技术博客_51CTO博客
#python #pandas #googlecolab #100daysofcodechallenge #machinelearning # ...
August2025_Python_new/1.Data Cleaning.ipynb at main · JyotsnaSusan ...