Showing 120 of 120on this page. Filters & sort apply to loaded results; URL updates for sharing.120 of 120 on this page
Python Shield Strength graph : r/EliteTraders
Correlation Strength | Python
Best Python Chart Examples
Python for Finance #7 - Plotting Relative Strength Index (RSI) Line ...
Python strength : r/coderbroo
How To Create Relative Strength Index In Python and Streamlit RSI ...
Relative strength index (RSI) - Python for Finance - part 4 - YouTube
Relative Strength Index Strategy using Python 🐍 | by PulsePointFX | Medium
Real Strength of Python | Python training by Subba Raju
Algorithmic Trading using Relative Strength Index (RSI) in Python ...
Python Gauge Chart Matplotlib at Jerry Wuest blog
How to Calculate Relative Strength for Stocks in Python - Andriy Blokhin
Concrete Strength Prediction Using Machine Learning (with Python code ...
How To Calculate Relative Strength Index (RSI) Indicator With Python ...
Calculate the Relative Strength Index in Python | by Craig Mariani | Medium
Relative Strength Index in python pandas - Stack Overflow
Build a Relative Strength Matrix for Stocks & ETFs with Python | Intrinio
Strength of PYTHON® Wire Rope - Python Wire Rope
A Python Guide for Dynamic Chart Visualization | Medium
2. Mastering the Relative Strength Index (RSI) with Python
Algorithmic Trading with Relative Strength Index in Python | by Nikhil ...
jupyter notebook - how do i create a chart in python to find the ...
Correlation Python
How To Draw A Correlation Matrix In Python
Correlation Relationship Strength | Download Table
Build a Correlation Matrix using Python Pandas and Seaborn
7. Correlation and Scatterplots — Basic Analytics in Python
Customer Profiling & Segmentation with Python (Source code) - Chloevolution
Four aspects of the strength of relationship between variables ...
How to Measure Your Client Relationship Strength
Data Science With Python Relationship | PDF | Correlation And ...
Python Networking Project – Performance Charts – Zenva Academy
Graph Databases: Talking about your Data Relationships with Python
How to Build a Client Relationship Tree Visualization Tool in Python
(3/5) Relative Strength Index (RSI): A Powerful Trading Indicator ...
Relationships | Python Developer Guide
10 Different Data Charts Using Python
Relationship strength | Download Scientific Diagram
Chart Resources – CitizenDS
LightningChart® Python charts for data visualization
PPT - Understanding Correlations: Exploring Relationships & Strength ...
Miss Python's relationship chart
Python Charts
Detections - Understanding Relationship Strength – Mimecast
[Python] Relative Strength Index (RSI) Calculation and Visualization ...
Graphical model for estimating the relationship strength in various ...
Solved Measuring Strength of RelationshipWhich scatterplot | Chegg.com
Python Data Visualization (with examples) | Hex
How to plot a correlation chart in Python? - Stack Overflow
Python Pie Chart: Build and Style with Pandas and Matplotlib | DataCamp
python - How to display relationships between different nodes - Stack ...
Relationships In Python - DEV Community
The Relative Strength Index — The Full Guide in Python. | by Sofien ...
PYTHON CHARTS | The definitive Python data visualization site
How To Draw Linear Regression Line In Python
Stunning charts with Python - by Yan Holtz
Criteria for Interpreting Strength of Relationship between Two ...
Python Bar Charts - TestingDocs
The level of relationship strength based on the correlation coefficient ...
Identifying the Python Environment in Jupyter Notebook - TECH CHAMPION
Non Linear Relationship Analysis with Python
Python Wrapper for TradingView Charts | PDF | Python (Programming ...
Bollinger Bands & Relative Strength Index Strategy in Python. | by ...
Strength of relationship between variables | Download Scientific Diagram
Create Beautiful Graphs with Python | by Benedict Neo | Geek Culture ...
Relationship Chart
How to create beautiful charts in python with good effects? : r/learnpython
Python Diagram Examples _ Diagrams Python Example – YTXPJ
SweetViz: Automated Exploratory Data Analysis (EDA) in Python
Python Data Analysis Bootcamp Class1 - 9 Relationships Between ...
Data Visualization with Matplotlib in Python | by Anh T. Dang | TDS ...
How to Create Stunning Graphs in the Terminal with Python | by Sourav ...
Graph Databases: Talking about your Data Relationships with Python ...
Chapter # 4 BIS Database Systems - ppt download
How to Create a Seaborn Correlation Heatmap in Python?
PPT - Week 3 PowerPoint Presentation, free download - ID:3225239
python可视化45|最常用10个关联(Correlation)关系图(完整代码) - 知乎
UNIT 4 Bivariate Data Scatter Plots and Regression
Exploring Different Correlation Coefficients and Plotting Correlations ...
How to Present the Relationships Amongst Multiple Variables with Charts ...
3 Steps to Create Relationship Charts Online for Free
How Do You Measure the "Strength" of a Relationship Using SNA ...
PPT - Entity Relationship Modeling in Databases PowerPoint Presentation ...
PPT - Correlation in Quantitative Data Analysis PowerPoint Presentation ...
PPT - Correlation & Linear Regression PowerPoint Presentation - ID:9564617
Statistical Evaluation of Relationships – Quantitative Analysis in ...
An Introduction to Data Analysis - 24 Scatterplots and Correlation
Entity Relationship Modeling Normalization S 511 Session 5
Finding and understanding relationships in data — Data Science and ...
Mastering Bar Charts in Data Science and Statistics: A Comprehensive ...
Leveraging Bar Charts in Agricultural Science: A Comprehensive Guide ...
Correlation Study Strengths at Connor Lois blog
PPT - Understanding Correlation and Regression: A Comprehensive Guide ...
Linear Relationship Graph Using Python(linear relationship)(regression ...
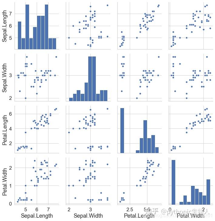
Pairs plot (pairwise plot) in seaborn with the pairplot function ...
Majestic Beginners Guide to Correlation: Part 5
Insight Report - SmartBug Media - Ebsta