Showing 113 of 113on this page. Filters & sort apply to loaded results; URL updates for sharing.113 of 113 on this page
Process Model Canvas (Free Template): Smartly describe processes together
Process Model Powerpoint Presentation Slides | PowerPoint Slide ...
process model | PPTX | Computing | Technology & Computing
Process Model
Process Model Example Ppt PowerPoint Presentation Styles Visual Aids Cpb Pd
Top 10 Business Process Model Templates for Operational Efficiency
How To Create A Business Process Model (BPMN) Tutorial
Process Model | PDF
Process Model | PPTX
Creating and importing process model diagrams
Process Model | Process Documentation | Interfacing
Create and Enhance Your First Process Model
Defining the Process Model Graphic
What Are Process Modelling Tools at Charles Macias blog
Process management : powered by Comm'ant
Process Modeling: Hướng Dẫn Chi Tiết và Các Bước Mô Hình Hóa Quy Trình ...
Process Modeling
What Is Process Modeling? | Nintex
Example Process Modeling Tool Ppt PowerPoint Presentation Portfolio Ideas C
Software Process Models
Process (1) - Modelling PPT Slide Deck
Top 10 Process modeling icon PowerPoint Presentation Templates in 2025
process models.ppt
Process Modeling Best Practices
Process Modelling Diagram Displays Representing Business Process Stock ...
Process Modelling Diagram Showing Illustration Of Business Processes ...
Process Models
10 Types of Process Modeling Techniques for Businesses
5 Common Process Modeling Mistakes and How to Avoid Them | MoreSteam
Business Process Modeling: Your Guide to Visualize Success
Process Modeling, A visual guide to process modeling with detailed 3D ...
Business process modelling: key elements | by Igor Arkhipov | Analyst’s ...
Screenshot of the Process Modeling Editor | Download Scientific Diagram
The Best Tool for Business Process Modeling | Effective Visual Diagram ...
Process Modeling Visual guide to process modeling with colorful ...
Process mapping vs Process modelling
Process Modelling - How work gets done in your organisation
Process model, overview. | Download Scientific Diagram
Process Modeling, An illustrated infographic that breaks down complex ...
Start Your Process Model: AI, Data, Import | ProcessMind
Process Modeling: More Than Just a Tool for Software Transitions
Process Modeling: how to begin? - Interact Solutions
Process Modeling: What Is It and What Are the Benefits?
New Business Process Modeling Addition to ConceptDraw Solution Park
Creating Process Models
The Best Business Process Modeling Tools & Techniques with Examples | Cflow
Screenshot of a process in process modeling Tool. | Download Scientific ...
What is Process Modeling? | IBM
Process modeling explained: Definitions, benefits & examples | Moxo
How Process Modeling Tools Enhance Your Process Design
Process Modeling: Enhancing Business Efficiency and Clarity - Expert BA
L2 Motivation Process Model: Insights from Dörnyei & Ottó (1998) - Studocu
Chapter 2: Software Process Models & Agility (SDLC) Notes - Studocu
Investment Process and Post-Decision Communication — Asterion Ventures
1.3 Models of Criminal Justice: Crime Control vs. Due Process - Studocu
SDP - Lecture 2: Software Development Process Models Overview - Studocu
AI's Double-Edged Sword: Anthropic's Mythos Model Raises Cybersecurity ...
Earthmoving MSU Equipment Introduces Fixed-Price Model for Pre-Owned ...
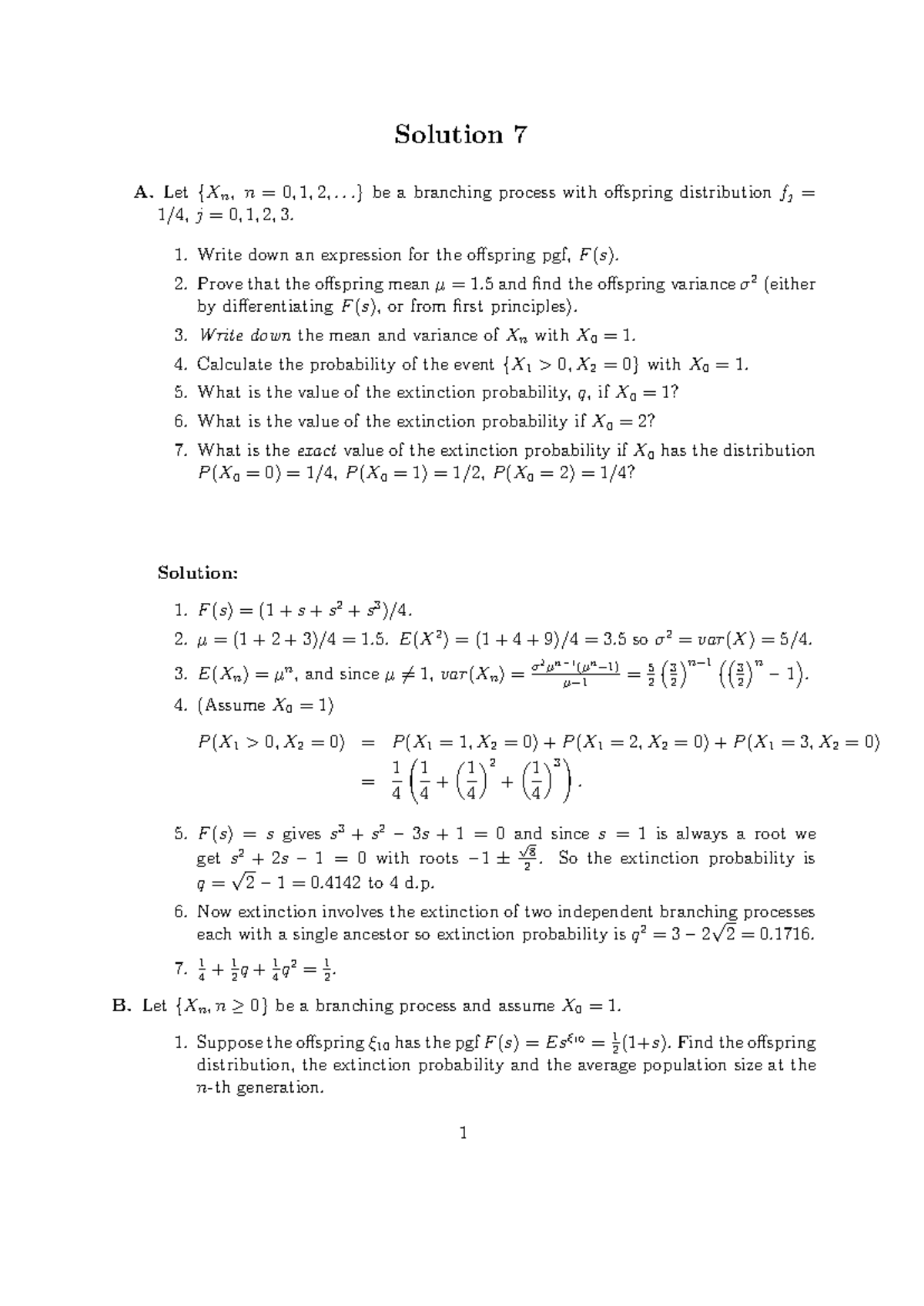
Branching Process Analysis: Solutions for Week 7 (Solu07) - Studocu
Guide to Process Modelling in Projects | Wrike
Senate passes bill directing Delmarva Power to adopt model ...
SPPM UNIT I: Software Process Maturity Models and Frameworks - Studocu
Gremlin Mask Sculpture STL – Free 3D Print Model | Remeshy
Clinical Judgment Model Reflection Guide for Nursing Practice - Studocu
Model Solution for Assignment 1: Data Model Analysis COMPSCI 2DB3 - Studocu
Direwolf Head Emblem STL – Free 3D Print Model | Remeshy
Solar Sun Medallion STL – Free 3D Print Model | Remeshy
Feature Representation of Audible Sound Signals in Grinding Process ...
ACCN305 Model Answers: International Accounting Issues & Standards ...
Calculating Thrill Factors in a Roller Coaster Model (MATH 101) - Studocu
11B STEM Project Report: House 2050 Sustainable City Model - Studocu
Pontiac Indians Logo STL – Free 3D Print Model | Remeshy
CIVIL PROTOTYPING: Cost Analysis of Shelf Counter Model - Studocu
Organizational Culture Insights: KLM and Schein's Model - Studocu
ATM Notes: Understanding the Model for Testing Bias in Systems - Studocu
Honeycomb Mesh Pattern STL – Free 3D Print Model | Remeshy
CPS 521 Feature Engineering Study Notes for Model Inputs - Studocu
Transferring HR Practices in MNCs: A Holistic Model of Implementation ...
Torque Specifications for Engine Model A40F (090429) - Studocu
ST3131 Final Exam: Model Adequacy Checking (MAC) Insights - Studocu
USING ASPEN PLUS FOR PROCESS SIMULATION: A COMPREHENSIVE GUIDE - Studocu
UNIT 2 SPM - Life Cycle & Effort Estimation in Software Process - Studocu
Legal Analysis of Council Meeting Attendance: EX 131 Model Answer - Studocu
The Uppsala Model at 40: Evolution of Multinational Business ...
700+ HP Turbo Mustang Gets Ass Whooped by Tesla Model S P85D ...
Feedback on Assignment 2: Model Answers & Evaluation Guide - Studocu
How CNNs interpret images with VGG16 model | Ayesha . posted on the ...
#tipoftheday #processmodeling #businessanalysis #iiba # ...
ProcessModel | Innovation.world
Somalia: President registers as voter amid growing rift over 2026 ...
Using the ocean to power data centers - CBS News
Chucking Out HOLLIS: Harvard Library's New AI Tool and the Mess of the ...
#FRP // #REMOVE FRP LOCK 🔐 : DONE 👍🏻 🏢: #FOR PHONE :// LG K51 📱: #MODEL ...
Module 2 Assignment: Evaluating Course Effectiveness Using Kirkpatrick ...
Delphine - Oh the doodling stage of a painting to be 😆! Yet so very ...
microsoft/phi-4 · Hugging Face
chriswe/diffusion_record_test_merged · Hugging Face
The seven stages of grief: Scientific or social? - The Mancunion