Showing 120 of 120on this page. Filters & sort apply to loaded results; URL updates for sharing.120 of 120 on this page
Understanding the Process Integration for Order Fallout Management
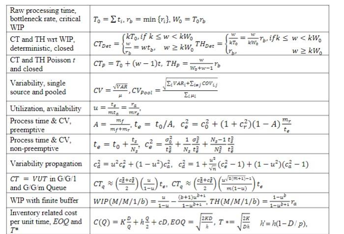
Process Control Formula Sheet | Flow Measurement | Classical Mechanics
Order fallout from an automated process step in case A | Download ...
Everything You Need To Know About Formula P in Fallout 76 - YouTube
Formula P - Fallout 76 Game Item - Gameflip
Formula P Plan - Fallout 76 Game Item - Gameflip
Fallout TV Series - Secret Formula for Success - Screen Watch - YouTube
Fallout Vault in Blender - 3D Modeling Process | Polygon Runway - YouTube
Character Creation Process - Fallout | PDF
Where to find Kaleidopore Flowers and how to make Formula P in Fallout 76
Formula P | Fallout Wiki | Fandom
PROCESS FORMULAS Process Formula | Download Scientific Diagram
Xtreme Stance - Iron Fallout Remover - NEW Formula | Inspired Automotive
Demystifying Myths: The Definitive Fallout 4 Installation Process - YouTube
Formula Fallout - release date, videos, screenshots, reviews on RAWG
A New Era for Speedrun Tournaments: Introduction to the Fallout Formula ...
Why Bethesda changed the Fallout formula with Fallout 4 - YouTube
Formula P - Fallout 76 Game Items - Gameflip
Understanding Process Capability ─ Explanation and Formula for Cpk | I ...
Fallout 76: Follow The Process To Obtain A Substantial Amount Of Fusion ...
Lotion | Fallout Formula Lotion | Lime Scented | Post Apocalyptic - Etsy
Theories, Legends and Lore: Fallout 4- Ghoul Feralization Process
Fallout 76 How To Get Formula P at Pamela Walsh blog
100 Formula P - Fallout 76 Game Items - Gameflip
The Outer Worlds: 5 Ways It Evolves The Fallout Formula (& 5 Ways It ...
Formula P (200) - Fallout 76 Game Items - Gameflip
Fallout 76 Easy Formula P Farm - YouTube
Buy Xbox - Formula P (x100) in FALLOUT 76 Items - Offer #2429293685
Formula P Recipe - Fallout 76 Itens de Jogos - Gameflip
100 Formula P - Fallout 76 Game Item - Gameflip
7.6 ways Fallout 76 breaks the Fallout formula - YouTube
Buy Plan Formula P in FALLOUT 76 Items - Offer #2313080511
1k Formula P - Fallout 76 Game Items - Gameflip
A Fallout Spin-Off Deserves a Second Chance with a Winning Formula
PPT - Basic Training for Statistical Process Control PowerPoint ...
PPT - Statistical Tools for Process Improvement - Applications ...
Process Capability Analysis - ppt download
Solved A process capability ratio Cp=1.00 indicates the | Chegg.com
Solved A process is in control with | Chegg.com
Process formulas and charts with Anthropic’s Claude on Amazon Bedrock
Fallout Show Proves Original Stories Within A Beloved World Is A ...
The Complete Fallout Timeline, Explained - GameSpot
Process flow in modeling CP | Download Scientific Diagram
Process Capability Formulas | QualityTrainingPortal
Solved A process is in statistical control with x‾=76 and | Chegg.com
Fallout Official Timeline Confirmed: How the Show Fits In With the Games
'Fallout' Prosthetics: Jake Garber, Walton Goggins Discuss On The Process
Process Engineering Formulas
Fallout Star Discusses the Ghoul’s Lengthy Prosthetics Process: 'I Was ...
Solved 1. What is the total expected fallout rate for a | Chegg.com
Perrigo's Infant Formula Fallout: A Catalyst for Reckoning or a ...
Fallout PnP 2.0 GM Reference Sheet: A Comprehensive Guide to Combat ...
Process Capability & Performance (III) - Farmespaña Industrial
Fallout Game Timeline: Story Behind the Game and Its Release
Calculating The Process Capabilities Of Cleaning Processes A Primer
Fallout 4 66 Such A Good Game I Can T Wait For Bethesda To Make
Part B: Compute the Optimum Time of Exit From a Fallout Area
Aid | 300 Formula-P - Fallout 76 Game Items - Gameflip
Chat with HH x fallout - text or voice, Enjoy AI Chat Free & Safe
What is the Ending Work in Process Formula? – SuperfastCPA CPA Review
Figure SI 2: methods flowchart for analysis of fallout radionuclides ...
Order Fallout Management Telecom Framework | PDF
Fallout 3: Remastered is coming, here's what to expect thanks to ...
Fallout T60 Articulated, Detailed, Highly Resembling, Easy to ...
PPT - Dynamic Mathematical Models in Process Engineering PowerPoint ...
BuzzBites Secret Formula? - Fallout 4 - Part 14 - YouTube
Work In Process Inventory là gì? Cách tính WIPI chính xác
Solved Fall of ground data is supplied in terms of fallout | Chegg.com
Formula 1 has arrived in Fallout! Built in custom world... and then ...
Please look at the formula sheet and list all the | Chegg.com
1: List of process factors with levels | Download Table
The revised fallback process applied to Example 2. | Download Table
Subprocesses and process variables corresponding to the physical stages ...
Demo of Fallout 1 Remake Now Available for Download. Devs Introduced ...
Walton Goggins’ Transformation in Fallout: The Makeup Process Walton ...
still in process : r/fallout76settlements
PPT - Chapter 6 – Part 4 PowerPoint Presentation, free download - ID ...
PPT - Performance Analysis of EWMA Controllers Subject to Metrology ...
PPT - IENG 451 - Lecture 05 PowerPoint Presentation, free download - ID ...
Solved Problem 6 (20 Points). Delivery times (in days) of | Chegg.com
FM 3-3-1 Chptr 3 Introduction to Nuclear Operations
Nuclear weapon - Fallout, Radiation, Effects | Britannica
Solved specifications are 76+-4.a) Draw the process, | Chegg.com
‘He’s made it personal’ – George Russell accuses Max Verstappen of ...
Xbox Boss Spencer Worries About Single Player Games
25 años de Fallout: los responsables del clásico de 1997 desvelan la ...
The Timeline of Prime Video's Fallout, Explained
Fallout: Jay Worth - Production VFX Supervisor - The Art of VFX
FM 3-3-1 Chptr 6 Nuclear Defense
[Solved] Please show step by step process, units, and callout all ...
PPT - Evaluation of IR Systems PowerPoint Presentation, free download ...
Detail Planet Pickering, ON (@detailplanetpickering) • Instagram photos ...
Capítulos Fallout: Todos los episodios
Prime Video lanza una escena de 'Fallout', la dramedia apocalíptica ...