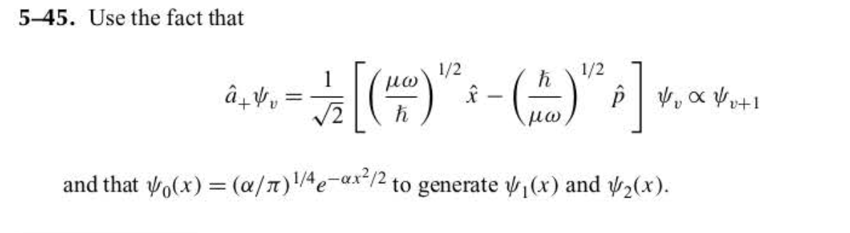
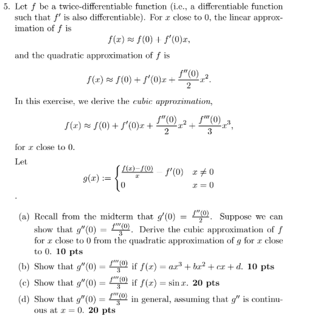
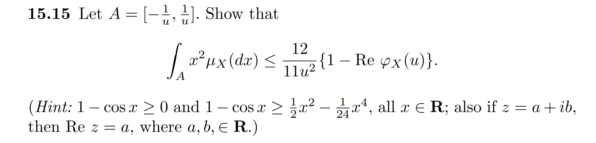
Showing 119 of 119on this page. Filters & sort apply to loaded results; URL updates for sharing.119 of 119 on this page
Typo tomorrows problems A5 notebook in purple | ASOS
Solving typo problems with Fuzzy Search in PSWriteHTML - Evotec
Problems to study for the Final Exam typo for sign fixed on #27a .pdf ...
Problems With Typos? Blame the Typo Demons – MORGAN K TANNER, Writer of ...
Made meme with typo too many likes to replace it - First World Problems ...
Document or WIKI typo and other problems · Issue #1148 · homuler ...
Is anyone else having major typo problems since iOS 17 dropped? : r/iphone
Problems | Modern Stroke | Text Effect Generator
SOLVED: 6. A student makes a typo in typing Peterson's algorithm. Show ...
Typo error in Problem 19.7 [RL Chapter] · Issue #129 · udlbook/udlbook ...
Problems | Text Effect Generator
PPT - Common Computer Problems PowerPoint Presentation, free download ...
typo in readme problem parameters · Issue #34 · dwave-examples/3d-bin ...
This Site Can't be Reached ,Check if there is a typo | Problem Solved ...
What to do if you find a typo in your book? | Self-Publishing Question ...
need to fix a typo instagram || instagram need to fix a typo need to ...
Unfortunate Typo Sparks Controversy in Latest Release : LevelUpTalk
Solved Problem 2. In a 100-page book, a page contains a typo | Chegg.com
Solved There is a typo on problem 4 of homework 9. In the | Chegg.com
Solved Need help with some Statistics Problems - *Typo for | Chegg.com
حل مشكلة "This site can't be reached Check if there is a typo If the ...
Solved 7. Problem 13.6 (There is a typo there: Vị should be | Chegg.com
Problems | Font | Text Effect Generator
22 Simple Tips How to Overcome Typo Error Permanently - CareerCliff
Great Problems Caused by Typos - Typesy
How to fix a typo on a MacBook Pro - YouTube
Solved typo in problem, only have the middle term be | Chegg.com
Problems | Pretty | Text Effect Generator
Problem #3: Typo
Typo Errors You Must Avoid - YouTube
Solved Note that there is a typo in the problem: the | Chegg.com
Problems | Retro Groovy Font | Text Effect Generator
Problems | Yellow Slice | Text Effect Generator
Typo Errors | PDF
What should I do if I see a problem or a typo in a lesson? – Chegg ...
Solved 1. There was a typo in this problem on assignment # | Chegg.com
When You Make a Terrible Typo That Ruins All Your Work
How to avoid typo errors? - YouTube
Problems Text Style Effects Generator
Solved A typo mistake was made in the problem: g(t)=0 when t | Chegg.com
Solved On problem #5, there's a simple typo (sorry!). The | Chegg.com
Solved Note that there is a typo in the block diagram of | Chegg.com
101 – Replicated Typo
Need to fix a typo instagram l need to fix a typo instagram kya hota ...
Need To Fix a Typo Instagram Kya Hai ? Need To Fix a Typo Instagram ...
Margingale problem typo in part(b), it should be | Chegg.com
There is a typo in the worksheet. The problem text | Chegg.com
552 Typo Mistake Royalty-Free Images, Stock Photos & Pictures ...
Is there a typo in this problem? Shouldn’t you take the definite ...
Solved Problem 6. (A typo corrected. ) Let A be a fixed 3 x | Chegg.com
Solved There is a typo in this problem. It should be | Chegg.com
Solved there is a typo in this problem, it should be y= | Chegg.com
Need to fix a typo instagram |need to fix a typo instagram kya hota hai ...
Solved For part (a) of Problem 7.30, there is a typo in the | Chegg.com
Solved 6. Chapter 13, Problem 81. There is a typo in the | Chegg.com
TYPO 定義: 排印錯誤-Typographical error
The Typo Challenge — Anneliese Rider
problem set 4 solution - 1. (Please note there was a typo on the ...
What is the Difference Between a Typo and a Spelling Mistake?Making ...
Is there a typo in this problem? : r/PE_Exam
Solved there is a typo in the statement of problem 5, the | Chegg.com
Solved Programmers commonly make the typo for the equality | Chegg.com
Solved Correction: We found a typo in problem 7.71 | Chegg.com
Solution Suggested Problems - T4.pdf - AUTHORS PROVIDED SOLUTION If you ...
Premium Vector | Editable Problem Font Typography Template Text Effect ...
Premium Vector | Editable problem font. typography template text effect ...
Top 5 Typography Mistakes and How to Avoid Them - Pixels Ink
PPT - Bjørn Olstad CTO FAST Search & Transfer Adjunct Prof. The ...
P12801 Tutorial 1 problems-Typo corrected - P12801 Tutorial 1: Solving ...
Caught a Typo: Exploring the Impact of Minor Errors : LevelUpTalk
PPT - Trouble Shooting PowerPoint Presentation, free download - ID:3116386
Typographical errors | meaning of Typographical errors - YouTube
Troubleshooting Routing Issues in TYPO3 Flow Solutions | MoldStud
Issue vs. Problem vs. Matter: Understanding the Differences in English ...
Exclusive Books - Mall of Africa
10 Ways to Catch the Most Common Typos and Errors
Why typos happen and how to avoid them – Catch the Sun Comms
(PDF) MORE NEW ITERATIVE ALGORITHMS FOR THE PHASE PROBLEM(S)-TYPO CORRECTED
20 Most Common TYPO3 Errors (And How to Fix Them)
Strange ways to fix typos on a typewriter - YouTube
Solved 2. Solve the initial value problem (typo corrected): | Chegg.com
2. Solve the initial value problem (typo corrected): | Chegg.com
Common Typography Mistakes in Branding and How to Avoid Them
25 Funniest Typos & Auto-Correct Fails That Went Viral (#10 is ...
How to Avoid Typos and Improve Your Writing - Owlcation
Calculus: correction to Mission 3 problem typo, 2-5-24 part 2 - YouTube
Solved I MEAN PROBLEM 3 NOT 4 THERES A TYPO! THEY'RE ALL | Chegg.com
This Cambridge Maths Problem Has a MASSIVE Typo! Here's the Fix! - YouTube
What is typosquatting and how to avoid it - Norton
Solved There is a typo. It should be in problem 2 that the | Chegg.com
4.1 Additional Practice Problem Solutions - stat 217 - Typos fixed ...
Solved This problem had a typo, and had been corrected with | Chegg.com
Problem Typo: Over 343 Royalty-Free Licensable Stock Vectors & Vector ...
Minor Spelling Mistake 3D Text | Know Your Meme
'Typo Leak' Could Be Big Problem for US Military
10 typographic mistakes everyone makes (including us...) | Creative Bloq
Making a commitment to better output: NO MORE F*CKING TYPOS - Josh Can Help
Detailed Explanation Of Typographical Error Along With The Examples ...
Proofreading Errors—From Typos to Tangles
10 BEST Letter of Error Templates & Examples in MS WORD
Spell Check Won't Catch These 9 Common Typing Errors
Solved for problem 1a there's a typo. Io is suppose to be | Chegg.com
Solved - on problem #1 there is a typo. It should say L8, | Chegg.com
Various Typographic Error Types | Download Table
5 Elements of Bad Typography That Designer Should Avoid | CGfrog