Showing 120 of 120on this page. Filters & sort apply to loaded results; URL updates for sharing.120 of 120 on this page
An Example Pre & Post Observation Conversation with the Framework for ...
Pre Observation | PDF
PRE and POST Class Observation Conference | PDF | Classroom Management ...
Pre Observation Conference | PDF | Applied Psychology | Teachers
Teacher Pre Observation Conference Questions And Answers - Fill and ...
Pre Observation Conference | PDF | Communication | Behavior Modification
Pre Observation Conference | PDF
Fillable Pre Observation Conference Teacher Form | PDF | Teachers ...
- Pre Observation Form - Template # 3 – This tool may be used in ...
PPT - Pre-Visit Observation and Conversation Exercises PowerPoint ...
Pre Observation Form | PDF | Mentorship | Teachers
33+ Observation Examples to Download
Pre Observation Form | PDF
Pre & Post Observation Conversations - Marzano Example - YouTube
Pre Observation Conference Teacher PDF Doc Template | pdfFiller
Preschool Child Observation Examples at Kai Hartung blog
Pre and Post Observation Conference Form (1) | PDF
Pre Observation Form | PDF | Teachers | Psychological Concepts
Pre Observation Conference | Education Theory | Quality Of Life
Pre Observation Conference Report | PDF | Educational Assessment | Learning
Pre & Post Observation Conversations - YouTube
Pre & Post Observation Conversations - CEL 5D+ Example - YouTube
Pre - Observation Form | PDF | Mentorship | Classroom Management
Pre Observation Information | PDF | Teachers | Learning
Pre Observation Conference Teacher Form - Fill and Sign Printable ...
pre observation form | PDF | Teachers | Learning
Lesson Observation Professional Conversation | PDF | Mentorship | Teachers
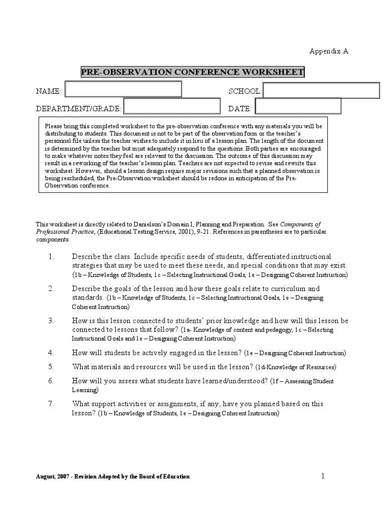
Pre Observation Conference Worksheet
Pre Observation Form | PDF | Classroom | Teachers
Pre Observation Checklist New Normal | PDF
Pre Observation Checklist | PDF | Teachers | Learning
AUTOR PHILLIP A. - Learning Task #2 - Doing Observation of Classes, Pre ...
Pre Service Teachers Actual Teaching Observation Form | PDF | Teachers ...
MATH 4 PRE Observation - Education and Psychology - Studocu
Pre Conference Example | PDF | Learning Styles | Observation
Observation Conversation | PDF | Educational Assessment | Quality Of Life
PPT - Leveraging Peer Observation for Institutional Change: Spreading ...
Observation Template - Conversations! by Bianca Lauren | TPT
Admin's Teacher Pre-Observation & Observation Forms by Doc Haskins ...
Before and During Observation – CENTA Courses
Free Preschool Observation Form & Guide | Smartcare
Pre-Service Teacher Lesson Observation :: Teacher Resources and ...
Teacher Observation Template | Pre-Conference | Formal Preparation ...
FREE 8+ Peer Observation Form Samples, PDF, MS Word, Google Docs
Middle School, Assessment of T&L, Pre-observation conversation - YouTube
Pre- Observation Info Form | Teaching Method | Teachers
Teacher observation PPT.pptx
PPT - Classroom Observation (CO) PowerPoint Presentation, free download ...
Different Types Of Observation In Early Childhood at Daniel Bohanan blog
TKES Blog: Focus Walk Observation Checklist
Preschool Child Observation Report Sample at Iris Morris blog
Pre-k Observation Notes Sheet- Digital + Printable - Etsy
Part 1. Pre-observation information (complete one for each observation ...
Observations and Conversation For Flowcharting | PDF
Pre/Post Observation Conferencing Documents for Administrators | TPT
teacher pre-observation discussion form 2015-16
PPT - Enhancing Coaching through Effective Conversations and ...
Pre-Observation Conference Guide | PDF | Teachers | Learning
Pre-Conferencing: A Critical Element of Effective Coaching | Steve Barkley
PPT - North Carolina Teacher Performance Appraisal System PowerPoint ...
PPT - Peer observation, feedback and reflection for online practice ...
Pre-Observation Form Sample | PDF | Worksheet | Differentiated Instruction
PPT - Demonstrations of Teaching and Learning PowerPoint Presentation ...
PRE-POST-OBSERVATION-CONFERENCE.pptx
PPT - Inquiry on Teaching Practice: Initial Assessment Module B ...
Pre-Observation Reflection for Teachers | PDF
Pre-observation Questions (for reflection prior to pre-observation ...
PPT - Educator Effectiveness Evaluation Overview PowerPoint ...
Pre-Observation Conference Questions by The Curriculum Coach Resources
Form 1. Pre-Observation | PDF | Teaching Method | Teachers
Pre-Observation Form | PDF | Reading Comprehension | Communication
Pre-Observation Conference Insights | PDF | Teachers | Classroom Management
Pre-Observation Questionnaire template with completed example(editable ...
School-wide Pre-observation Sample 3
Pre-Observation - Creating SuperVision
Pre-Observation-Form Template for teachers | PDF | Teachers | Learning
Sample Teacher Pre-Observation Form SY15-16 | PDF | Decimal | Teachers
Creating Coaching Cycles that Move Coach Practice Forward - ppt download
Pre-Observation Form | PDF
Task 6: Pre-Observation Conference | PDF | Classroom Management ...
Teacher Pre-Observation Conference | PDF
PPT - Providing Effective, Supportive Feedback on Teacher Observations ...
09.994 Pre-Observation Conference Guide - The School Board of ...
PPT - Performance Appraisal for Experienced Teachers PowerPoint ...
Pre- and Post-Observation Conference Guide | PDF | Classroom Management ...
Principal Guide to Pre-Observation Forms – TEAMS
PRE-POST-OBSERVATION-CONFERENCE.pptx | Educational Assessment | Education
Fillable Online Pre-Observation Conference Sheet for Classroom Teachers ...
Teacher Pre-Observation Form Guide | PDF | Curriculum | Educational ...
PPT - McREL TEACHER EVALUATION SYSTEM Turnkey Training Session I ...
PREPARING AND USING CLASSROOM OBSERVATIONS IN FAULTY TEACHING
PPT - Evaluation Program for Professional Personnel PowerPoint ...
Instructional Coaching: Pre-Observation Notes [EDITABLE ...
Pre-Observation Form | PDF | Lesson | Classroom Management
PPT - Collaborating Teacher Orientation PowerPoint Presentation, free ...
PPT - Teacher Observations and Student Learning Objectives: An ...
Pre-Observation Form for Arts Integrated Lesson | PDF | Mentorship ...
Pre-Observation-Conference-Guide OSET-1 - Pre-Observation Conference ...
Pre-Observation - Developmental SuperVision
Pre-Observation meeting | Genially
Fillable Online Pre-Observation Conference Guiding Questions Fax Email ...
PPT - Teachscape - Teacher Effectiveness Platform PowerPoint ...
Pre-Observation Conference Guide | PDF | Teachers | Classroom Management
Pre-Observation-Information - Republic of the Philippines Department of ...