Showing 120 of 120on this page. Filters & sort apply to loaded results; URL updates for sharing.120 of 120 on this page
Interview Preparation Tips: Mastering The Interview Process
PPT - The Interview Process PowerPoint Presentation, free download - ID ...
30 Best Pre interview Preparation Tips and Techniques - Wisestep
Pre Screening Interview Questions Template
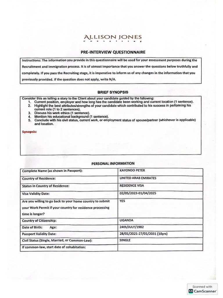
New Pre Interview Form | PDF
Preparing For The Interview Process - SCIPHD
Pre Screen Interview Questions Template
Pre Interview Questions | PDF
Common Steps of the Typical Interview Process | MaxOfJob
A Comprehensive Interview Process Guide For Recruiters
Job Interview Preparation Made Easy: Step-by-Step Guide for Candidates
What Are the Most Frequent Pre-screening Interview Questions in an ...
What Is a Pre Interview? A Comprehensive Guide to Understanding Its ...
20 Pre-Screening Interview Questions for Recruiters - Pixel Interview
How We Conduct Effective Pre-Screening Interviews - Pixel Interview
The pre-interview and induction process | Download Scientific Diagram
How AI is Changing the Way We Prepare for Job Interview | ezTalks ...
Common Pre-Screening Interview Questions (With Tips and Example Answers ...
30 Pre-Screening Interview Questions That Will Make Your HR Job Easier ...
Pre-interview Checklist: What to Do Before Your Job Interview
Pre-Screening Interview Questions | 2026 Recruiter’s Guide
The 8 Best Pre-Screening Interview Questions - Zippia For Employers
Guide To Pre-Screening Interview With Sample Questions – EILBI
30 Effective pre-screening interview questions to ask candidates | Oyster®
Conquer Interview Jitters: Your Guide to a Nerve-Free Job Interview
The Best Pre-Screening Interview Questions to Ask | Recooty
The Pre-Screening Interview Questions You Should Be Asking - TrackFive
Pre-interview questions included in the semi-structured interview ...
Use a Pre-Interview Questionnaire Survey to Improve the Interview ...
What Is A Pre-Screening Interview & How To Conduct One Effectively
How To Conduct An Interview To Hire Fast - Bordio
Pre-interview checklist: What to do Before Your Job Interview
The Full Guide to Pre-screening Interview
Preliminary Interview: The First Step in the Hiring Process ...
Preparation before an interview
Pre Interview1 Merged | PDF
20 Pre-Screening Interview Questions for Recruiters - Lever
The Interview Process: What to Expect and How to Prepare | GleamHR
Your Pre-Interview Guide #infographic | Interview guide, Job interview ...
How To Prepare For A Job Interview : Preparing For An Interview ...
Episode 50: The Three "Musts" of the Pre-Interview Process | Like a ...
What Is a Pre-Screening Job Interview? A No-BS Guide - Async Interview
Google sales head Interview Questions | Glassdoor
Top data engineering interview Questions and Answers
Cognizant CRM Interview Questions | Glassdoor
The complete 2025 tech interview preparation guide: From screening to ...
Oracle Estagiario Interview Questions | Glassdoor
Capgemini Jr Java React Developer Interview Questions | Glassdoor
40+ Data Analyst Interview Questions and Answers [2026]
Careernet Sr Consultant Interview Questions | Glassdoor
Salesforce Developer Interview Questions 2026 - KORE1
HSBC Chief Financial Officer CFO Interview Questions | Glassdoor
Top 20 US Visa Interview Questions for Indian Applicants with Answers
Module 1: Top 26 Maven and Git Most Asked Interview Questions and ...
NIKE Mnager Interview Questions | Glassdoor
Novartis Data Scientist I Interview Questions | Glassdoor
UPS Industrial Engineer Supervisor Interview Questions | Glassdoor
Moody's Assistant Director Senior Financial Engineer Interview ...
Deloitte Kubernetes DevOps Engineer Interview Questions | Glassdoor
What Interview Questions Reveal True ESG Strategic Depth? → Learn
Novartis Head of Project Management Interview Questions | Glassdoor
Module 1: Top Spring JPA Interview Questions and Answers For 0–3 Years ...
Vectorworks Account Manager Interview Questions | Glassdoor
Top 10 Hair Stylist Interview Questions and Answers for 2026: How to ...
Can I preview my interview before sharing it with candidates in the AI ...
Preparing for a Job Promotion Interview - A1OP
Physical-Verification Interview Questions | Physical Design Interview Guide
Become a STAR: The Interview Technique that Separates Candidates
🧵THREAD: Pre-transfer Interview with SirKewberth We sent SirKewberth a ...
Your Pre-Interview Preparation Guide from PeoplePlus - PeoplePlus ...
Brand Reputation Management Study | A Closer Look
Efficient interviewing techniques - LeadDev
Unit 3 - NEURO_QUAL
7 Best Pre-Screening Questions for Interviews - And Why They Work
Pre-Interview Basics | PDF
What to do when you are Preparing for Pre-CAS Interviews | PDF
Your pre-interview checklist - Zebra Technical Recruitment
Pre-interview Questionnaire Template, Candidate Pre-interview Questions ...
Free Pre-interview Screening Questions HR Template to Edit Online
Pre-Interview Prep | Career Sherpa
The Candidate Screening Process: A Step-By-Step Guide
Pre-Interview Survey Questions to Save Time, Improve Person-Job Fit ...
Free Pre-Interview Form Template to Edit Online
The 3 stages of a successful job interview: Before, during, and after ...
Best Pre-Interview Assessment: Essential Tips - 2023
Questions during pre-interview | Download Scientific Diagram
Pre-Interview Screening - Asmaa Chaudhry- Personal Development & Life Coach
Pre-interview preparation: Tips and Strategies for job candidates
Mastering the Pre-Interview Prep: Your Key to Impressing Recruiters
Pre-Interview Checklist: 12 Essential Preparation Steps
How We Conduct Effective Pre-Screening Interviews (+17 Questions ...
The importance of the Pre-interview Research - Jetspeed Consulting
Your Pre-Interview Guide #infographic - Visualistan
Pre-interview process. Is this worth it? : r/jobs
What is a Preliminary Interview? [And How is it Different from a ...
How to Handle Pre-Interview Screening Questions
5 Pre-Interview Tips for Success - JobGoRound
The Power of Pre-Employment Screening Process: How to Identify the Best ...
The Case for a Pre-Interview Checklist
เคยเจอ ทำข้อสอบ (คะแนนต้องผ่านก่อน) pre-interview กับ HR ทำ Business ...
Watch FINNEAS Answers The Internet's Best Questions | The Complete ...
Trump was not advised well before Iran war, says former NCC director
A LEADING PRE- CAST INDUSTRY -UAE LONG TERM . FREE RECRUITMENT - DIRECT ...