Showing 120 of 120on this page. Filters & sort apply to loaded results; URL updates for sharing.120 of 120 on this page
The alternate coordinate direction method and Powell method. | Download ...
Powell and Humphreys Method
Powell Method | PDF
An example of searching for the best-fit model using the Powell method ...
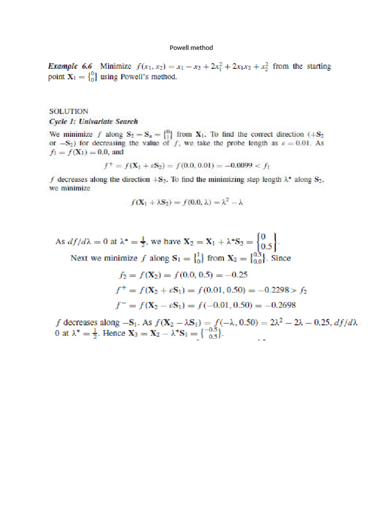
Powell Method
Theory of Optimization | Lec-10 | Fletcher Powell Method Complete ...
Davidon-Fletcher Powell Method in Optimization Technique (Algorithm ...
GitHub - eowyn0406/powell: powell method
(a) Sequence of accepted points generated by Powell's method for a 2D ...
Flowchart for Powell's Method | Download Scientific Diagram
The reaction order n according to Powell plot method: 0 (a); 1/2 (b); 1 ...
Powell’s Method for Maximization in PyMC | Healthy Algorithms
Powell’s method to search optimal solution with three parameters ...
SOLUTION: Method of powell's conjugate direction detailed notes with ...
Lecture -- Powell's Method - YouTube
Powell's method - YouTube
Figure AI. Matlab program of the 2D Powell's method algorithm used in ...
The optimization processes of the Powell function | Download Scientific ...
Line Illumination in Linear Array Photoacoustic Imaging Using a Powell ...
12 Powell and Humphreys' aesthetic angles. A line from the glabella to ...
Trajectory of the optimization with Powell method. | Download ...
Single iteration for Powell’s optimization method | Download Scientific ...
Goode Method
Unconstrained Optimization #2B: Direct Search Method - Powell's ...
Minimization algorithm based on Powell's conjugate-direction method ...
Convergence of the Powell search method: Red curve: CRF ; blue curve ...
SOLUTION: Powell s conjugate direction - Studypool
Characteristic analysis of traditional Powell algorithm. | Download ...
Optimization time comparison between the Powell gradient-free ...
Powell's method - Wikipedia
Powells method Overview n Minimizing a function of
Powell's Method in Nonlinear Optimization | PDF
Operation rule curves from GA and Powell's method | Download Scientific ...
无约束优化方法之powell方法_modified powell method-CSDN博客
Solved Minimize f(x,y)=x2+x+2y2+0.25 using Powell method. | Chegg.com
Solved 1. Use the Powell's quadratic interpolation method to | Chegg.com
6: Illustration of Powell optimisation (left) and gradient descent ...
Solved Minimize f(x,y)=(x-y+1)2+y2ex using Powell method. | Chegg.com
Solved complete iterations of: Powell’s Method of | Chegg.com
6. (a) A Powell's method algorithm has used the | Chegg.com
(PDF) Application of the Powell algorithm for estimating optical ...
(PDF) Application of Powell’s optimization method for the optimal ...
(PDF) Active-set strategy in Powell's method for optimization without ...
On Parameter Estimation by the Davidon–Fletcher–Powell Method | Theory ...
Estimation of L∞ and Z/K using the method of Powell-Wetherall (R 2 ...
Powell's method | Semantic Scholar
Active-set strategy in Powell's method for optimization without derivatives
For the Powell problem, comparing (a) a 0 and (b) s of SDM and OA and ...
PPT - Optimization PowerPoint Presentation, free download - ID:9395532
PPT - Optimization Multi-Dimensional Unconstrained Optimization Part I ...
PPT - Unconstrained Optimization PowerPoint Presentation, free download ...
PPT - Random numbers and optimization techniques PowerPoint ...
PPT - Image Registration as an Optimization Problem PowerPoint ...
PPT - Optimization PowerPoint Presentation, free download - ID:9253685
PPT - Chapter 2 Single Variable Optimization PowerPoint Presentation ...
Evolutionary Powell's method: A discrete optimizer for hyperparameter ...
PPT - Optimization Methods PowerPoint Presentation, free download - ID ...
PPT - Direction Set (Powell’s) Methods in Multidimensions PowerPoint ...
Example of function optimized with Powell’s method. | Download ...
PPT - Advanced Unconstrained Optimization Strategies and Methods ...
PPT - Efficient Conjugate Directions for Quadratic Function ...
PPT - Optimization : The min and max of a function PowerPoint ...
optimization - Why is it problematic for a direction to be a linear ...
Powell’s method[21] | Download Scientific Diagram
PPT - Non-Linear Inversion PowerPoint Presentation, free download - ID ...
PPT - Vegetation Science Lecture 4 Non-Linear Inversion PowerPoint ...
PPT - Minimization or Maximization of Functions (Readings – 10.0 – 10.7 ...
Run a single optimization — Spotlight documentation
powell法-鲍威尔法详解-附案例matlab代码_powell算法-CSDN博客
A Hybrid Genetic/Powell Algorithm for Wind Measurement in Doppler Lidar
Example for performing a gradient-free optimisation using Powell's ...
PPT - Lecture 5 PowerPoint Presentation, free download - ID:5791991
Minimization of the error function starting with E(P ) = 1679.09 ...
Figure 1 from Global optimization using a combination of differential ...
Write a code that scans a univariate objective | Chegg.com
Performance profiles of the hybrid genetic algorithm-Powell ...
PPT - Optimization Methods in Engineering: Theory and Applications ...
パウエル法で非線形最適化問題を解く | Python 数値計算ノート
Figure 3 from Comparison of the barrier height measurements by the ...
Figure 2 from Comparison of the barrier height measurements by the ...
Chapter 3 Solving One Dimensional Optimization Problems | Introduction ...
The Powell–Wetherall method. a The original Powell–Wetherall plot ...
(PDF) Optimization of Coefficients in Runoff-Erosion Modeling by ...
Table 1 from Genetic algorithm and particle swarm optimization combined ...
(PDF) Hybrid Algorithms Based on Particle Swarm Optimization and the ...
[2011.12245] Effect of barren plateaus on gradient-free optimization
Optimization Without Gradients: Powell's Method: Slides Adapted From ...
1: Bradbury-Nielsen shutter which in the case of the Tyndell-Powell ...
Illustration of DIRECT and Powell's method. As an alternative to ...
Flow chart of the optimization procedure. | Download Scientific Diagram
WES - Ducted wind turbine optimization and sensitivity to rotor position