Showing 120 of 120on this page. Filters & sort apply to loaded results; URL updates for sharing.120 of 120 on this page
Part 1 | Electric Potential Calculations: The Infinite line charged or ...
Solved = Infinite potential well For an infinite potential | Chegg.com
Potential Infinite v. Actual Infinite | Aristotle
Solved 2. The infinite potential well is defined as V(x)= { | Chegg.com
Solved (a)={2 | A one-dimensional infinite potential well of | Chegg.com
One dimensional infinite potential well Part 2 - YouTube
Solved 1. Infinite potential well (10 pts) We learned in the | Chegg.com
Particle in a box 1-D infinite potential well | Quantum Mechanics - YouTube
3.I.2: Particle in an Infinite Potential Box (Python Notebook ...
Tutorial on Infinite Potential, Step Potential and Finite Potential ...
Solved 2. Consider the infinite potential well defined by | Chegg.com
Solved 2. Consider an infinite one-dimensional potential | Chegg.com
Solved (b) A one dimensional infinite potential well is | Chegg.com
2: The potential function with position of an infinite potential well ...
Solved 1. Consider a particle in an infinite potential well | Chegg.com
Solved Infinite Potential Well Consider a particle confined | Chegg.com
Georg Cantor Quote: “The potential infinite means nothing other than an ...
(PDF) A Model Theory for the Potential Infinite
Solved Problem 1: Infinite Potential Well (20 points) a) | Chegg.com
Infinite Potential | Summary, Quotes, FAQ, Audio
Solved 2 The 1D infinite potential well ( 6 points) The | Chegg.com
Solved Infinite and finite potential energy well First | Chegg.com
Infinite Potential Well Exercises | PDF | Wave Function | Electron
Solved (15 points) Consider an infinite potential well with | Chegg.com
🌐 Infinite Potential the Nature of the Universe 🌐 - YouTube
Particle in a box Infinite potential well Let
Solved 1. Vector Potential for Infinite Solenoid We worked | Chegg.com
Solved 1. Potential of an infinite plane of charge (4 | Chegg.com
How to detect potential infinite loops | LabEx
Solved PROBLEM 1: INFINITE POTENTIAL WELL (all 5 points) The | Chegg.com
Consider this infinite potential well: a. | Chegg.com
Infinite box potential V (1) and its first supersymmetric partner V (2 ...
Solved Consider an infinite potential well defined as V(x) = | Chegg.com
Particle in An Infinite Potential Box | PDF | Physics | Theoretical Physics
Infinite Potential Well || Energy States Visualization || - YouTube
Solved The figure on the left shows an infinite potential | Chegg.com
Infinite Potential Chapter Summary | Neville Goddard
The SG for the infinite potential well: V (x, λ) = α(e x − β + )(e x − ...
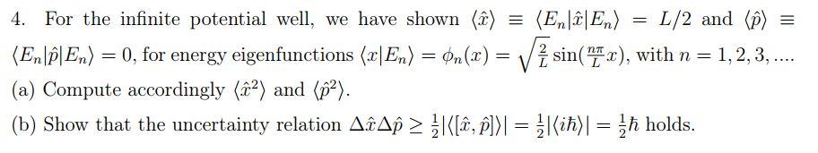
Solved = 4. For the infinite potential well, we have shown | Chegg.com
Particle In an Infinite Potential Well (The Energy) - YouTube
Consider an infinite potential well with width L, as | Chegg.com
Two-dimensional infinite potential well | Download Scientific Diagram
Particle in One-Dimensional Infinite potential well (box) | PDF
Solved Consider the particle in the infinite potential well | Chegg.com
The infinite potential well V ∞ (β) of Eq. (16) corresponds to an ...
Plot V (β, γ) of the infinite well potential (25) discussed ...
quantum mechanics - Energy values in case of 1D infinite potential well ...
Solved An electron in an infinite potential well is | Chegg.com
Two infinite potential wells. Are they conferring identity to the ...
Particle in an Infinite Potential Well (QUANTUM MECHANICS) - YouTube
Infinite Potential - YouTube
Infinite Potential Well
The infinite potential well | Download Scientific Diagram
63+ Restlessness Infinite Potential Quotes That Will Unlock Your True ...
INFINITE POTENTIAL Synonyms: 247 Similar Phrases
Thought Catalog Quote: “Your Potential Is Infinite If You’re Willing To ...
Infinite potential well
PPT - Comparison of the energy levels of an infinite and finite ...
Solved Example-Infinite Potential Well Probability near | Chegg.com
Electric Potential Energy Work And Electric Potential Energy How To
Electric Potential - Examples, Definition, Uses, FAQ'S
Solved In the potential V(x) = {infinity if x | Chegg.com
Potential vs. Completed Infinity
Potential vs. Actual Infinity - The Philosurfer
(PDF) Actual and Potential Infinity
3D-Infinite Potential well exam helper notes Quantum mechanics MSC ...
Half-infinite potential well | Download Scientific Diagram
Potential Energy Formula
Potential versus actual infinity - by Joel David Hamkins
infinite well
Unit 1.3 - Electric Potential due to Point Charges and Uniform Fields ...
A potential wall with infinitely high energy at one side and a finite ...
Notes on Infinite, Finite Potential Well - Quantum Mechanics Engineers ...
Electric Potential In Nonuniform Fields - Electronics-Lab
(PDF) Once More on Potential vs. Actual Infinity
Actual and Potential Infinity | Request PDF
Solved nfinite/finite Potential Well Sketch the solution | Chegg.com
Electrostatic Potential - GeeksforGeeks
Solved Infinite/finite Potential Well 1. Use figure 1 below | Chegg.com
Infinite Potentials Quantum Physics Visionary Art by | Etsy
PPT - EE3321 ELECTROMAGENTIC FIELD THEORY PowerPoint Presentation - ID ...
Public Domain | Tachyonic Physics
PPT - Particle in a Box PowerPoint Presentation, free download - ID:3943589
Quantum Mechanics IV Quiz - ppt download
PPT - Chapter 23 PowerPoint Presentation, free download - ID:5378410
Tunneling Probability in Quantum Barriers | PDF | Wave Function | Physics
PPT - PHYS1220 – Quantum Mechanics PowerPoint Presentation, free ...
PPT - EE 5340 Semiconductor Device Theory Lecture 2 - Fall 2009 ...
PPT - Quantum mechanics PowerPoint Presentation - ID:4498475
SOLVED: Please show me all the steps to get to the answer. I would like ...
Unit 3.6 - Electric Charges and Fields - (Notes & Practice Questions ...
PPT - Exploring Irrational Numbers: From Ancient Discoveries to Modern ...
Solved This problem will illustrate the general procedure | Chegg.com
COSMOLOGICAL ARGUMENT 1 - ppt download
CHAPTER 5 The Schrodinger Eqn. - ppt download
PPT - Energy Fundamentals and Transformations in Nature PowerPoint ...
The free electron model
Solved 4. Cite two examples of "potential" infinities. 5. | Chegg.com
The Infinity Zoo: What is Infinity?
Particle In A Box
Particle in a 1-Dimensional box - Physics Book
PPT - DOES GOD EXIST? PowerPoint Presentation, free download - ID:5740065
2.4. Particle in an box with infinite-potential walls — Introduction to ...