Showing 120 of 120on this page. Filters & sort apply to loaded results; URL updates for sharing.120 of 120 on this page
Dis assignment - POISSON DISTRIBUTION The Poisson distribution () is a ...
Assignment topic Poisson-01 - 1 THE POISSON DISTRIBUTION The Poisson ...
Poisson Distribution - Assignment Point
Assignment On Poisson Distribution | PDF
Assignment 4 Solutions | PDF | Probability Distribution | Poisson ...
DIscussion assignment unit 5 Statistics - The Poisson distribution is a ...
Home Assignment 2: Poisson Distribution & Optimization Exercises - Studocu
Assignment 4 | PDF | Probability Distribution | Poisson Distribution
Distributions Assignment | PDF | Poisson Distribution | Teaching ...
Discussion unit 5 - assignment - POISSON DISTRIBUTION The Poisson ...
Poisson distribution - Assignment - Probability and Statistics - THE ...
Assignment Examples | PDF | Poisson Distribution | Teaching Mathematics
Assignment 2 | PDF | Poisson Distribution | Teaching Mathematics
Assignment D | PDF | Probability Distribution | Poisson Distribution
Assignment III | PDF | Probability Distribution | Poisson Distribution
Assignment 1 Acc and Finance | PDF | Variance | Poisson Distribution
Assignment IV Probability | PDF | Poisson Distribution | Teaching ...
Assignment 4 | PDF | Insurance | Poisson Distribution
Assignment 2.docx - STA 1010 Assignment 2 1. a The Poisson distribution ...
Collaborative Poisson Distribution Assignment Writing: Strategies for ...
Sol Assignment | PDF | Poisson Distribution | Teaching Mathematics
Assignment On Application of Poisson | PDF | Probability Distribution ...
Solved Assignment 11 - The Poisson Distribution Started: Apr | Chegg.com
Assignment Problems | PDF | Poisson Distribution | Teaching Mathematics
Lab06 - Poisson Distribution tutorial and assignment .doc - AST10113 ...
Poisson Distribution Assignment Help Homework Help Online Live Tutoring ...
6 Problems on Poisson Distribution - Assignment 2 | CS 591Q - Docsity
ASSIGNMENT ON POISSON DISTRIBUTION - NASIBA ABDULCADER =Norm. Inv (A1 ...
Poisson Distribution : Meaning, Characteristics, Shape, Mean and ...
Poisson Distribution | Definition, Formula, Table and Examples ...
Poisson Distribution Table Special Distributions | Bernoulli
Poisson Distribution in Statistics and Mathematics - PostNetwork Academy
Poisson Distribution - Definition, Formula, Table, Examples
Solved Chapter 5 Assignment 2 - Poisson Distributions The | Chegg.com
Poisson Distribution
Poisson Distribution (examples, solutions)
Poisson Distribution : Modeling and Predicting Rare Events
Learning Poisson Distribution Visualization With R: A Step-by-Step ...
Poisson Distribution | PDF | Probability Distribution | Poisson ...
Poisson Distribution Table Calculator - Infoupdate.org
Poisson Distribution / Poisson Curve: Simple Definition - Statistics How To
Poisson Distribution | PDF | Poisson Distribution | Teaching Mathematics
Poisson Distribution | Brilliant Math & Science Wiki
Poisson Distribution Examples With Solutions at Stephan Groff blog
Poisson Distribution | AndyMath
Understanding Poisson Distribution Basics | PDF | Poisson Distribution ...
Poisson Distribution 2 | PDF | Poisson Distribution | Teaching Mathematics
Poisson Distribution Bundle – Guided Notes & Exam-Style Assignment: IB ...
Understanding Poisson Probability Distribution with Examples | Course Hero
Poisson Distribution of Probability With Solved Example | PDF | Poisson ...
Solved 163 > Modules Week 4 Assignment: Poisson Distribution | Chegg.com
Solved Chapter 6 Assignment 7 In a Poisson distribution, u = | Chegg.com
Lesson 16 Poisson Distribution | Introduction to Probability
Poisson Distribution - 1.47.0
The Poisson Probability Distribution - ppt download
Poisson Distribution Table Pdf
Assignment 2 Binomial Poisson Normal | PDF | Statistical Theory ...
Poisson Distribution 10 POINTS One way to look at a | Chegg.com
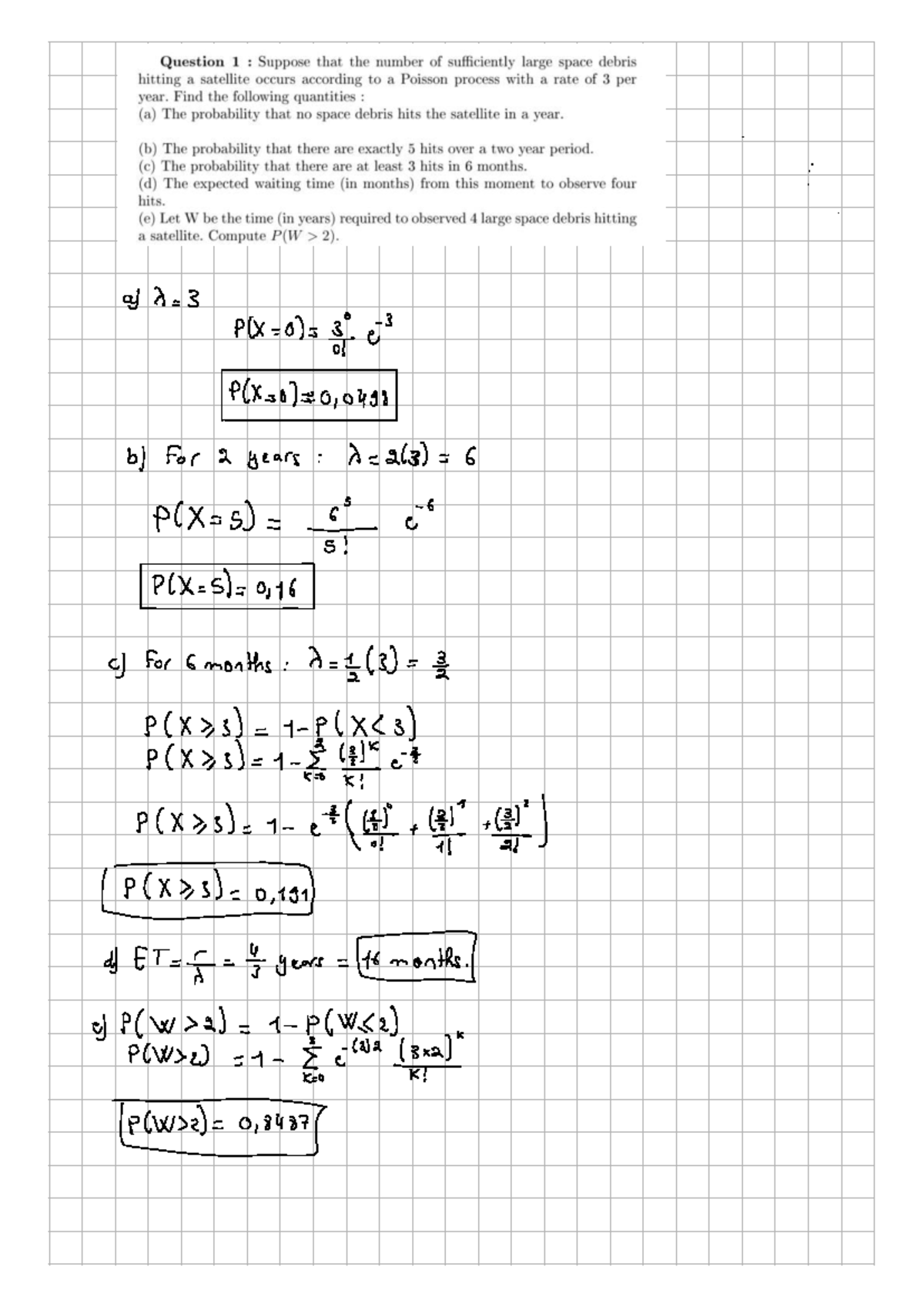
MAT 2377 Assignment 2: Poisson Process & Probability Analysis - Studocu
The Poisson distribution is a discrete probability distribution used to m..
SOLUTION: Lesson 7 poisson distribution - Studypool
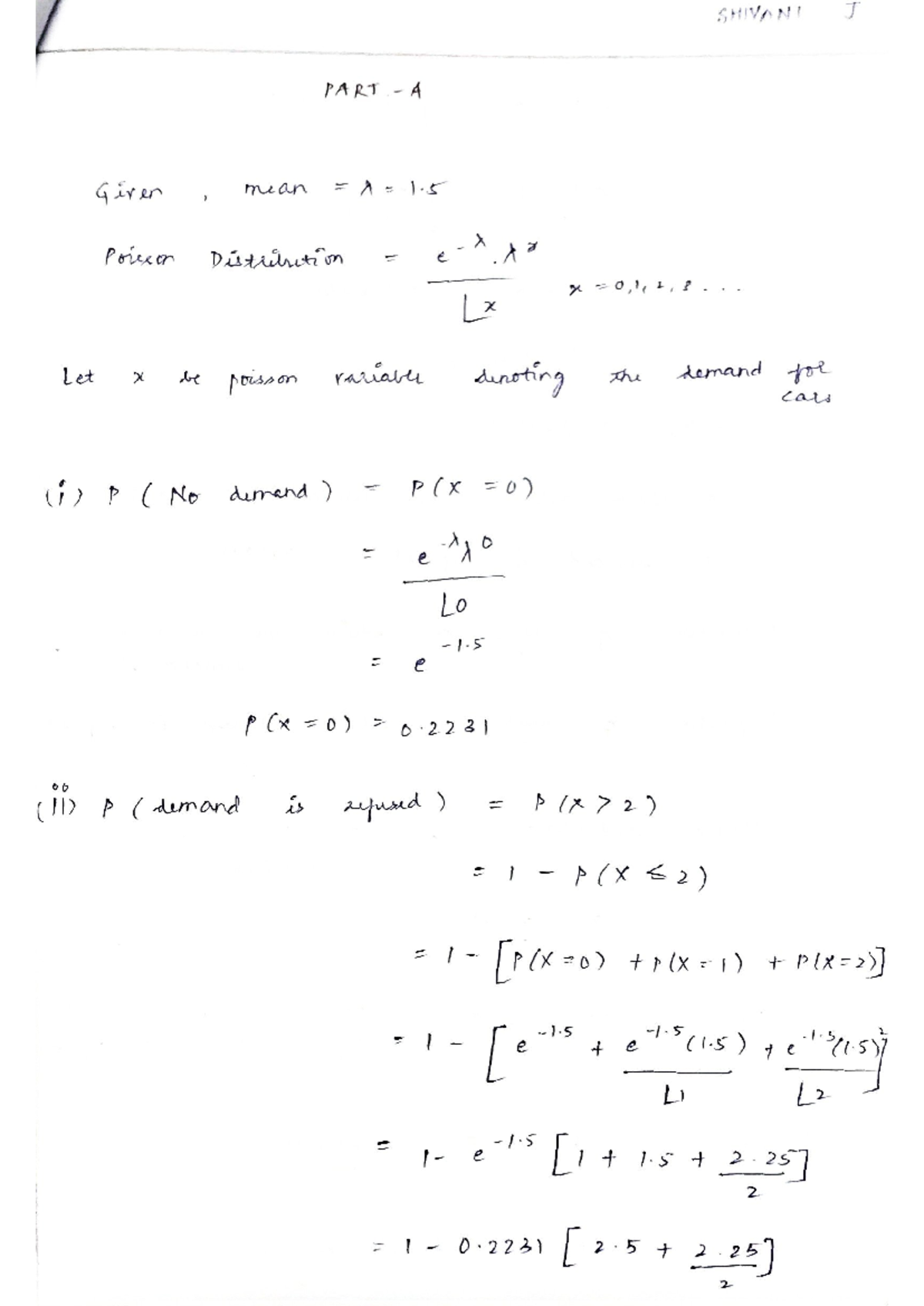
Maths Assignment: Poisson & Normal Distribution Analysis (SHIVANI J ...
Poisson Distribution Solved Examples | Data Science | Statistics ...
When To Use Poisson Distribution - Infoupdate.org
Solved The Poisson distribution with parameter lambda > 0 | Chegg.com
Poisson Distribution ~ Formula, Graphs & Examples
SOLUTION: Explanation and exercise for Poisson probability distribution ...
Poisson Distribution - GeeksforGeeks
Poisson Distribution Guided Notes - Made for IB Math AI HL by Straight ...
Poisson distribution
Lecture 9 Poisson Distribution | PDF | Teaching Methods & Materials
SOLUTION: Statistics distribution assignment moment generating ...
Binomial Approximation to the Poisson Distribution Homework and ...
Business Stats Assignment - 1 | PDF | Probability Distribution ...
Poisson Distribution Introduction Mean and Variance - YouTube
Introduction to Poisson Distribution - Probability & Statistics
Poisson Distribution - WORKSHEET | PDF
Poisson distribution assign | PPTX
Poisson Distribution Examples with Solutions - GeeksforGeeks | Videos
Understanding the Poisson Distribution in Statistics | Course Hero
Statistics 101: Introduction to the Poisson Distribution - YouTube
Poisson Distribution and binomial distribution | PPTX
Modelling with the Poisson Distribution - YouTube
Poisson Distribution in Statistics ? | Introduction to the Poisson ...
08 The Poisson Probability Distribution | PDF | Probability Density ...
Notes On Poisson Distribution | PDF | Poisson Distribution | Teaching ...
Mathematics Assignment 2: PDEs, Binomial & Poisson Distributions - Studocu
POISSON DISTRIBUTION - Statistical Analysis - study Material lecturing ...
Poisson Distributions - Definition, Formula & Examples | PDF ...
How to Calculate Probability Using the Poisson Distribution?
Assignment-Poisson Probability Distribution.pdf - Assignment: Poisson ...
Poisson Distribution: What Makes It So Useful?
Poisson Distribution: Formula, Examples & Practice Problems
Understanding Poisson Distribution.
Poisson Distribution: 5 Advantages with 5 Use Cases
statistical distribution, Poisson distribution, Bernoulli trial ...
Poisson Distribution: Formula and Meaning in Finance
Using Binomial and Poisson Distributions: Probability of | Course Hero
Queuing Theory Assignment: Poisson & Exponential Distributions
Solved Problem 5: Poisson Distribution. The Poisson | Chegg.com
Various Poisson distributions used in task generation. | Download ...
Topic 5 Poisson Probability Distribution.pdf - Poisson Probability ...
An In-Depth Explanation of the Poisson Distribution: Its Properties ...
Assignment22.docx - Assignment 2 1 EM algorithm for a mixture of ...
PPT - CS433: Modeling and Simulation PowerPoint Presentation, free ...
Biostatistics: Methods and Applications - ppt download
St. Edward’s University - ppt download
Assignments # 2 (Probability and Probability Distributions) | PDF ...
PPT - Handout Ch 5 PowerPoint Presentation, free download - ID:6765490
Statistics Chapter 6c (Poisson Probability) | PDF | Probability ...
A-level Mathematics
03-Poisson Distribution-Final Notes - Probability and statistics - Studocu
Poissons Equation-Probability-Assignment Solution - Docsity