Showing 120 of 120on this page. Filters & sort apply to loaded results; URL updates for sharing.120 of 120 on this page
Pointing Float | Tileasy
Pointing float with black rubber - Kubala 0320 - 140x280mm - ANT BM ...
Float Precision or Single Precision in Programming - GeeksforGeeks
What is a Float (Floating-Point Number)? - Tuple
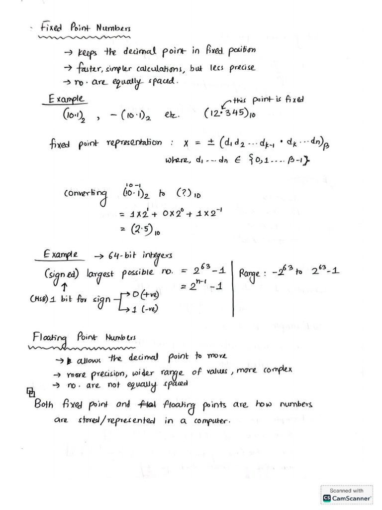
Float vs Double vs Fixed Point: Precision in Computing
Lihi - Float - Lefuturewave
CEORPER 10Pcs Hard Foam Buoys Sea Rock Fishing Striking Float Fishing ...
1 Pack Two-Tone Camo Blue Green Inflatable Arm Float Rings, Swimming ...
Will Raghav Chadha float a Gen-Z party after trouble with AAP?
Two women walking walkway toward surfing lifting arm and pointing ocean ...
CEORPER Fishing Float EVA Foam Floats Sea Fishing Buckle Pins Bobber ...
Duqingm Baby Toddler Girls Boys Float Suit One Piece Cartoon Short ...
40/50/60cm Cement Float Margin Trowel, Bucket Magnesium Alloy Concrete ...
CEORPER Float Baits Float Reusable Rattles Circle Hook Fishing Float ...
Spooky homemade eyeballs that float and stare 👁️🎈
Fishing Float Buoys With Swivels Sinkers Fishing Float And Bobbers ...
CEORPER 2Pcs Top Mount Night Fishing Float Glow Floating Bobbers ...
Floating_point_representation.pdf
Making floating point math highly efficient for AI hardware ...
What is a Floating Point Notation? [Explained with Examples]
How Does A Floating Point Work at Olivia Quinn blog
Apa Itu Floating Point? Memahami Angka 32-Bit dan 64-Bit - Lorric
What is Floating-Point Operations - CODE t!ps
PPT - Floating Point PowerPoint Presentation, free download - ID:6551927
What Is A Floating-Point Operation at Sherita Lawson blog
Representations of Floating Point Numbers - YouTube
How Integers and Floats Work
Floating Point
Floating point Numbers | PPTX
Floating Point Math & Representation - ppt download
Floating point presentation | PDF
[source]
Floating Point. - ppt download
Floating Point CSE 351 Winter ppt download
PPT - CHAPTER 5: Floating Point Numbers PowerPoint Presentation, free ...
Pitfalls Of Floating-Point Numbers – IXXLIQ
PPT - Fixed Point & Floating Point PowerPoint Presentation, free ...
Integers vs. Floating Points: What They Are and What They Are Used For
Floating-point Representations in Computer Organizations
Understanding Fixed Point And Floating Point Number Representations
Floating Point Demystified, Part 1
Fixed point vs. Floating Point – earfluff and eyecandy
PPT - Floating point PowerPoint Presentation, free download - ID:1445765
PPT - Floating point PowerPoint Presentation, free download - ID:5036263
PPT - Chapter 6 Floating Point PowerPoint Presentation, free download ...
PPT - Floating-Point Representation in Binary PowerPoint Presentation ...
What is a Floating-Point Arithmetic Problem?
Floating Point Math - Xcelerator Block | Alorium Technology
Floating-point representation | Arm Learning Paths
Floating Points | PDF | Mathematics | Computer Engineering
Floating Point Definition
Swinging with the greatest of ease with Floating Point – Blowing up Bits
PPT - Floating Point PowerPoint Presentation, free download - ID:4035282
Floating Point Math from BASIC (2/2) | C64 OS
floating point.discussion with example 0 | PDF
Floating Points: El Multifacético Músico | iNeurociencias
floating point numbers
Floating-Point Numbers Explained
Floating Point 1 | PDF
34 Facts About Floating Point - Facts.net
Floating Point Representation - Higher Computing Science
How Floating Point Numbers Work and When You Should or Shouldn't Use ...
What is floating point? - Kartal 24
Floating Point Representation - Circuit Cellar
Floating Point Representation: Example - YouTube
Floating Point Is Out! And Free! On Steam! Watch A Trailer! - a post on ...
Floating point from scratch: Hard Mode | SEMERENA_DEV
Donald Trump, 79, Teases UFO Secrets in Rambling Turning Point Speech
Jalen Brunson's 3-point efficiency key to Knicks' outcome
Best way to check if a floating-point number can safely be converted to ...
floating point 직관적 이해 - 일편단씸의 블로그
Floating point fun on Cortex-M processors « Adafruit Industries ...
What Is a Floating-point?
Floating Point 2016
Store Management - Cloud Point of Sale Software for Retail & Hospitality
Black Full Size Floating Platform Metal Bed Frame - 14 Inch Height ...
Imad Dabbura - Why Autograd Needs Floats, Not Ints
Sydney FC Avoid Wooden Spoon With Point Against Mariners
Trump blasts CNN and New York Times for reporting on a 'fake ten point ...
How to Work with Floats in Stranded Colorwork Knitting – Hobbii
Miss Goldie, Ultimate Baker
1XC3 WEEK 5 - Lecture Notes on Strings, Floats, and Arrays - Studocu
Goodyear Blimp at 100: ‘Floating piece of Americana’ still thriving ...
Pentagon email floats suspending Spain from NATO, other steps over Iran ...
US ambassador to Mexico floats action on bribery, corruption | WSAU ...
Xmin Must Be A Floating Point Scalar - Sanalmagaza