Showing 117 of 117on this page. Filters & sort apply to loaded results; URL updates for sharing.117 of 117 on this page
A simple physics question portraying the importance of math - YouTube
7 Solved Problems on Introduction to Physics and Math - Final Exam ...
Physics Linear Motion Math Solution
Solved Main Question: Solve for each using Math with Physics | Chegg.com
Physics Math Problems How To Solve A Physics Problem (FUNNY!) Plus
Math chalkboard illustration. Physics solving equation blackboard ...
Answered: Physics Question | bartleby
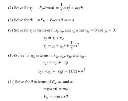
Math and Physics Problem Set with Answers | PDF | Force | Momentum
Physical Science Math Series problem Tips and Solution | Physics Plus ...
Physics Scenario Question Bank | PDF | Planets | Science & Mathematics
Advanced Math and Physics Problems | PDF | Acceleration | Metrology
SOLUTION: Physics paper 2 uneb question bank - Studypool
Solved Answer this simple Physics question and explain how | Chegg.com
Grade 8 Math & Physics MCQs | PDF | Electron | Applied And ...
Physics 171 Math Review
Physics Problem Set: Math Refresher
Physics Vector Math Solution
Math and Physics List of Questions - Copy 3 | PDF
Solved physics work problem help ! question 10 (will rate + | Chegg.com
This Simple Math Problem Revolutionized Physics - WordlessTech
SOLUTION: Physics Math Problems - Studypool
Physics 171 Math Review - Worksheets Library
100 Physics Math Questions With Solutions | PDF | Force | Acceleration
Here to do your math and physics problems by Oscarmoniz | Fiverr
Math cheat sheet, Learn physics, Physics notes
I need help working Physics (kinematics) math problems! – darrellbarnes ...
Learn AP Physics - Work and Energy
Mathematical Methods in Physics 2011-2012 M.Sc Physics Semester 1 ...
Physics Problem Solutions | PDF | Science & Mathematics
Sample/practice exam 2019, questions and answers - Physics 12 Name: The ...
Ap Physics 1 Formula Sheet
Physics Equations Practice Questions | Teaching Resources
How to Solve Almost Any Physics Problem
Complex Physics Equation
Physics Equations- because i need it!! | Physics and mathematics ...
Physics Kinematic Equations Practice Problems - Tessshebaylo
Learn AP Physics - AP Physics 1 & 2 - Kinematics
Physics Past Paper Questions | Physics & Mathematics | Physics
Common Physics Problems at Pamela Sheehan blog
Can someone identify the following key equations in physics ...
MCAT Physics Equations/Quick sheet Questions with Correct answers (2023 ...
E=mc² New York Physics Tutor: 718-223-0228: Calculus Based Physics 1 ...
A-Level Physics Exam Questions with Solutions - Gravitational Fields ...
SOLUTION: Physics applied formulas problems and solutions - Studypool
How To Answer Physics Questions: Templates and Example by Colin Sticksl
How to Solve Any Physics Problem: 10 Steps (with Pictures)
Solved Mathematical physics problems, I solved most of them, | Chegg.com
SOLUTION: 30 physics quiz questions and answers - Studypool
mathematical physics solved problem 9 - YouTube
Physics Equation Sheet and Problem-Solving Steps for Students | TPT
Physics AI Solver - Instant Physics Problem Solutions | AIMath | AI ...
How to answer the maths questions in physics - YouTube
Physics Worksheet Answers
Mathematical physics solved problem 1 - YouTube
Physics Problem-Solving: Significant Digits, Scientific | Course Hero
JEE Main Physics Model Questions with Key - india vidya
Mathematical physics solved problem 6 - YouTube
Learn AP Physics - Kinematics
A-Level Physics Exam Questions with Solution Pack - EM Fields (Edexcel ...
Physics equations hi-res stock photography and images - Alamy
Bundle of Lessons - Physics Problems Worksheets | Physics problems ...
SOLUTION: Mathematical physics problems handwritten Exercise no.1.3 ...
SOLUTION: Mathematics in physics practice problems with answers - Studypool
Class 12 Question Paper Neb at Jamie Gibb blog
Mathematic Question Paper Set A | PDF | Matrix (Mathematics ...
Cracking the Code: Mastering Physics Equations with Answers
Everyday-Equation | Quantum mechanics, Physics and mathematics, Physics
Physics Formula Sheet | Made By Teachers
SS1 PHYSICS questions | PDF
Atomic Physics Nuclear Physics and Radioactivity Example Problems with ...
PPT - Basic Math PowerPoint Presentation, free download - ID:5464519
Quantum Physics Formula Sheet
physics and mathematics equation concept with student writing on a ...
PPT - How to Solve Physics Problems PowerPoint Presentation, free ...
Διασκεδαστικά Μαθηματικά : Solve the problem ! | How to study physics ...
Math Problems Photos and Premium High Res Pictures - Getty Images
Mathematicians may have solved a 125-year-old physics problem - Earth.com
Mathematical Physics Equations Albert Einstein Sir Stock Photo ...
Physics Tutorial: how to solve a physics problem -kinematic equations ...
Physics Problem Solution | PDF
An easy physics problem… | In the Dark
Vector Physics Problems
E=mc2 Text, Science, Albert Einstein, Formula, Mathematics, Physics
Physics Practice Problems Use the equations below:
Solving Physics Problems | Method, Equations & Examples - Lesson ...
SOLUTION: Physics practice quiz with answer - Studypool
Byjus Class 9 Physics
Solved Part A A physics student solving a physics problem | Chegg.com
Solving Engineering Physics Problems with Calculus-Based Formulas ...
Basic Physics-Math Questions and Solutions | PDF | Force | Acceleration
How to solve numerical problems in physics? - A guide - PhysicsTeacher.in
Solved 13. In several problems in mathematical physics, it | Chegg.com
100 Physics-Math Questions & Solutions | PDF | Force | Acceleration
Problem PDF | Tension (Physics) | Force
[AS level Physics/math: Vectors] How to solve this? I know it's a very ...
Physics, Numerical Problems Solved, Problem number 9, Chapter3
Solved ( 19 )In several problems in mathematical physics, it | Chegg.com
Kinematics Practice Problems Worksheet – Owhentheyanks.com
Solved Example Problems for Physics: Motion of System of Particles and ...
important-questions-for-class-12-physics-cbse-kirchhoffs-laws-and ...
Solved Problems in Physics: Classical Mechanics - Blog - AssignmentShark