Showing 120 of 120on this page. Filters & sort apply to loaded results; URL updates for sharing.120 of 120 on this page
Algorithm for management of patients with acute PE. PERT = pulmonary ...
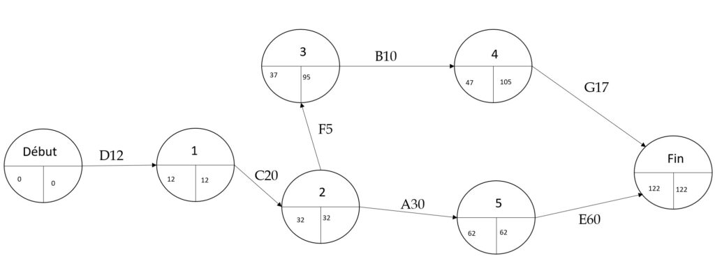
Guide to Implementing PERT Algorithm for Project Management | Course Hero
PERT ALGORITHM (NSMC) – Commonwealth Radiology Associates
Pert 4 A Materi For Algorithm Design Analysis | PDF | Logarithm ...
Solved Project Description Implement the PERT algorithm | Chegg.com
Pulmonary Embolism Treatment Algorithm
PERT Estimation Technique Tutorial | Explained with Examples | Updated 2025
PERT Chart - Meaning
What is PERT (Program Evaluation and Review Technique)? - My Chart Guide
20 Free PERT Examples/Templates to Streamline Project Planning
What Is PERT In Project Management? – Forbes Advisor
PERT in project management | Applications and its Uses
PERT chart or PERT diagram is a tool used to schedule, organize, and ...
Cws algorithm | DOCX
PERT | Definition | PERT Basics | Critical Path | Advantages ...
What Is Pert Analysis Based On at Hannah Rowlandson blog
研发(R&D)注意事项 / 复杂项目规划、控制方法 PERT 和 CPM_研发过程中 ro d-CSDN博客
PERT analysis - Praxis Framework
PERT Development and Implementation to Standardize Patient Pathway for ...
A Quick Guide To Pert Critical Path And Other Project Critical Path
PPT - Chapter 7 PERT PowerPoint Presentation, free download - ID:4611851
What Is PERT in Project Management? – Forbes Advisor
Optimized Project Scheduling: Combining PERT and the Critical Path ...
Pert Chart Is at Tracy Jacoby blog
What is PERT Chart | Simplilearn
Microsoft Project Pert Chart _ How To Make A Pert Chart In Microsoft ...
PERT Techniques
How to Draw a PERT Chart
PERT Method - Program Evaluation and Review Technique Example & Definition
Cpm pert | PPT
What is a PERT Diagram and How to Create One
PERT Diagram: Definition, Advantages and Examples
What is the PERT Formula and How to Use it to Maximize Productivity ...
PERT method - Project Management | Small Business Guide
PERT method - Complex systems and AI
PERT Method | PDF
Pert Chart | ProcessMA
PERT CPM | Algorithms | Networks
What is a Pert Chart and Why Should You Use One? | Motion
PERT | CSC
I Took a Deep Dive Into PERT to Create More Accurate Time Estimates ...
PERT Formulas: A Powerful Tool for Project Time Analysis
Pert Chart Diagram | Pert図 テンプレート – GTDPN
What is a PERT chart? | Planio
Applying Game Theory to Teach the PERT Scheduling Method
The PERT Concept - CHEST
PERT Formula Examples & PERT Calculator
Fast Algorithm for High-Throughput Screening Scheduling Based on the ...
PPT - PERT Estimation for Project Time and Cost PowerPoint Presentation ...
How to Create a PERT Chart | Motion | Motion
PERT and CPM : SHORT NOTES - ADVANTAGES - DISADVANTAGES- DIFFERENCE ...
Pert | PPT
Pert Chart Template
A PERT network with five activities. | Download Scientific Diagram
2. The PERT example after the activities are replaced with activity ...
programme evaluation and review technique || PERT || PERT technique ...
La méthode PERT - Cabinet NPM| CONSEIL| ETUDE| FORMATION
Free PERT Chart Templates to Edit Online
Guide ultime de l'analyse Pert (+ calculateur)
7 Steps To Build PERT Chart Analysis Template - PMITOOLS
Using PERT Estimation Technique for Project Planning in 2026
PERT Estimation Technique Tutorial | A Complete guide with Expert’s
PERT sample question | Algorithms | Statistics
PERT 图表教程 - Lynch_Warren - 博客园
Logic of PERT - Tutorial
Diagramme de PERT : Définition et Principes de Fonctionnement
Comment Créer un Diagramme de PERT : Guide Complet pour Débutants
Project Management: 31 best techniques, practices, and tools – Clockify ...
Diagrama de PERT: qué es y cómo usarlo para organizar tus tareas | Blog ...
15 Best Project Management Charts to Visualize Project Operations | Runn
Pulmonary Embolism! | Brown Med-Peds
PERT: Project Management Method for Time and Task Planning
Pulmonary embolism follow-up algorithm. | Download Scientific Diagram
Diagrama de PERT: guia completo em 5 passos
GitHub - nofaralfasi/PERT-CPM-graph
Project Management: Finding the Critical Path, duration and Project ...
Sơ đồ PERT: Giới thiệu và Hướng dẫn Tạo, Sử dụng trong Quản trị Dự án ...
Radiology-Led Pulmonary Embolism Response Team (PERT) Activation ...
Program Evaluation and Review Technique (PERT) in Six Sigma - SixSigma.us
Implementing a Pediatric Pulmonary Embolism Response Team Model - CHEST
Pulmonary embolism response teams: Changing the paradigm in the care ...
pert分析 | pert図 解き方 – ZUCICY
Project Evaluation and Review Technique (PERT) - GeeksforGeeks
pert.gif
PPT - Chapter 8 - Project Management Chapter Topics PowerPoint ...
5 Phases of the Project Life Cycle: How Agile & Waterfall Teams ...
A multidisciplinary pulmonary embolism response team (PERT)—experience ...
What Is Schedule Planning In Project Management?
Program Evaluation and Review Technique (PERT)
Percutaneous treatment options for acute pulmonary embolism: a clinical ...
Program Evaluation and Review Technique (PERT) chart of the ...
PMP项目管理中的"计划评审技术 (PERT) VS 关键路径法 (CPM)" - 知乎
PPT - PERT/CPM PowerPoint Presentation, free download - ID:476035
(PDF) Implementation of regional multidisciplinary pulmonary embolism ...
Note: ES(F) = max(EF(B), EF(C)) = 6 and EF(F) = EF(F) + 3 = 9
(PDF) Optimization of Project Scheduling Activities in Dynamic CPM and ...
A Java Application for Teaching Graphs in Undergraduate Courses
3-Point Estimate is Different From PERT… | Earned value management ...
3 Project Management PowerPoint presentation to accompany - ppt video ...
Diagrama PERT: como visualizar o Cronograma do projeto utilizando o ...
Python Scenario Analysis: Modeling Expert Estimates with the beta-PERT ...
Pulmonary Embolism - Risk Stratification and Prognostication based on ...
PPT - PERT/CPM PowerPoint Presentation, free download - ID:3213854