Showing 120 of 120on this page. Filters & sort apply to loaded results; URL updates for sharing.120 of 120 on this page
Graded Motor Imagery For Pathologic Pain A Randomized Controlled Trial ...
Understanding Pain Assessment and Pathologic Pain Development | Course Hero
Understanding Pain: Pathologic Pain Assessment & Neuroanatomic | Course ...
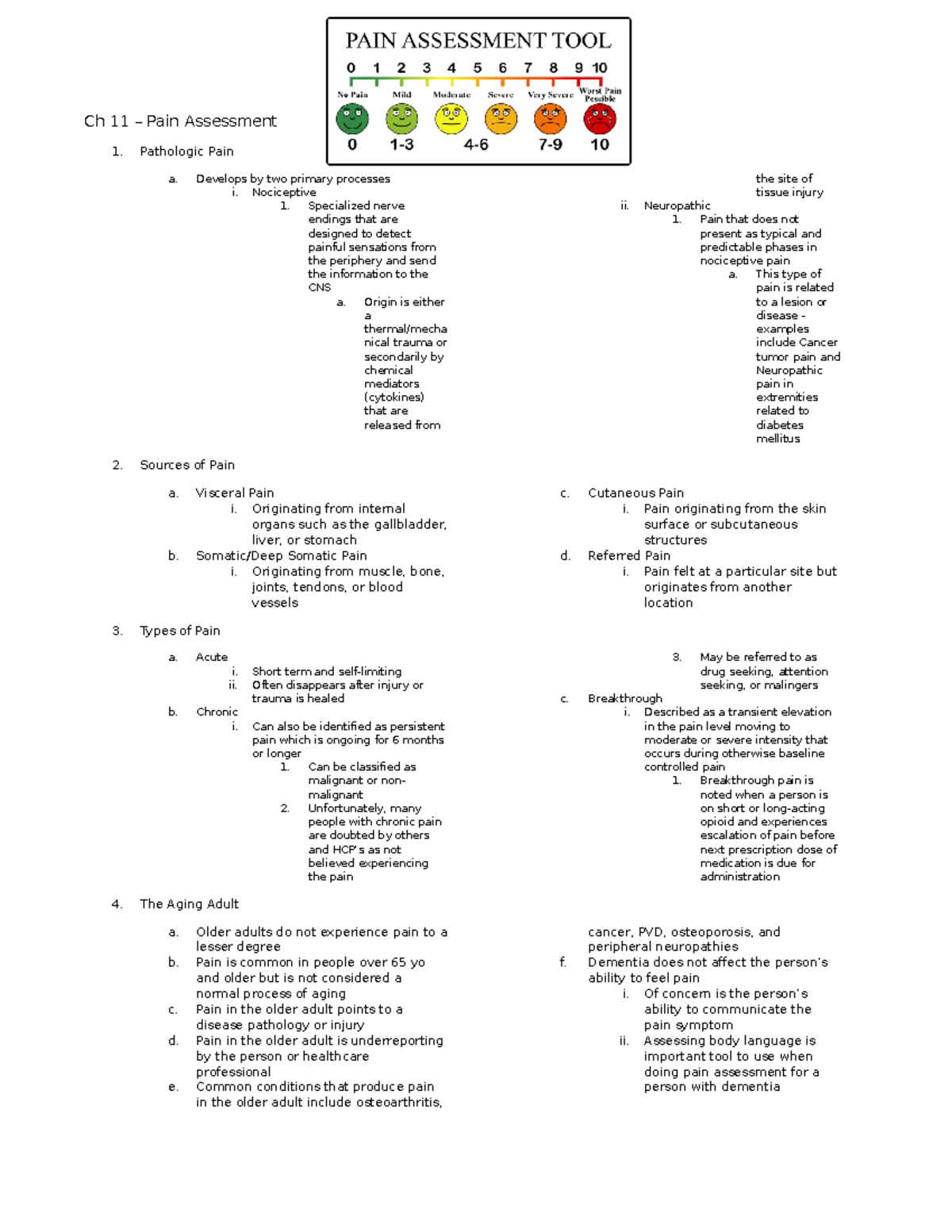
Ch 11 – Pain Assessment - notes - Ch 11 – Pain Assessment 1. Pathologic ...
JARVIS CH 11.pdf - JARVIS CH 11: PAIN ASSESSMENT Pathologic pain ...
Tumor Necrosis Factor and Interleukin Modulators for Pathologic Pain ...
Mechanisms of Pathologic Pain | SpringerLink
The mechanism underlying central sensitization and pathological pain ...
Pathophysiology of pain in PD. Possible mechanisms underlying ...
Toward a Mechanism-Based Approach to Pain Diagnosis - The Journal of Pain
Stages Of Pain Physiology – Anatomy Of Pain Pdf – KZRV
Frontiers | Decoding pain chronification: mechanisms of the acute-to ...
Introduction to Pain pathology | PPTX
In sensitization and opioid tolerance-related phenomena, pathologic ...
Frontiers | Progress in treatment of pathological neuropathic pain ...
The Pathophysiology of Pain - RCEMLearning India
management of chronic pain/pathological pain Flashcards | Quizlet
PPT - Patho-physiology of N e rvous System Talk 1 – Pain and Motor ...
Pathogenesis and management of pain in osteoarthritis - The Lancet
PPT - Etiology and Pathophysiology of Various Pain Syndromes PowerPoint ...
Pathophysiology pain and pain pathways | PPTX
PPT - Pain and Analgesia PowerPoint Presentation, free download - ID ...
PPT - Pain – Anatomy and Physiology PowerPoint Presentation, free ...
PPT - Pain PowerPoint Presentation, free download - ID:1440379
PPT - Pain Pathophysiology: Mechanisms and Classification PowerPoint ...
PPT - Pathophysiology of Acute & Chronic Pain PowerPoint Presentation ...
Pathological pain terminology - YouTube
Overview of the Pathophysiology of Neuropathic Pain - Chiropractic ...
243500 pain pathophysiology describe.ppt
PATHOPHYSIOLOGY AND MANAGEMEMENT OF PAIN | PPTX
Neuropathic pain | PPTX
Pathophysiology of pain | PPTX
PATHOPHYSIOLOGYOF NERVOUS SYSTEM. PAIN - ppt download
SOLUTION: Pathological types of pain full lecture - Studypool
PPT - Pain Management PowerPoint Presentation, free download - ID:263005
Classification of Pain | PPTX
[PDF] Pathological Pain by Derek J. Chadwick | 9780470869109, 9780470869116
Pathway of Pain | PPT
pain physiology , pathology, types , assessment, management , recent ...
ANALGESICS TYPES OF PAIN symptom Pain disease physological
Pain - Key pathology summary - Pain Definition Pain = an unpleasant ...
Pain pathophysiology nursing | physiology of pain | Pain pathology ...
Physiology of pain pathways | PPTX
High Quality SOLUTION The difference between physiologic pain and ...
| TNFα is involved in pathological pain processing in MS. In normal ...
Pain Pathophysiology and Management | Clinical Gate
PAIN! Physiology - The Ascending Pathway, Descending Pain Pathway and ...
Putative sequential phenomena relevance to pathological pain caused by ...
Pathway , physiology , perception of pain | PPTX
Pain and Disease | The Common Vein
Pathophysiology of pain | Download Scientific Diagram
Front or anterior view of human skeleton with joint pain or ...
Pain Perception its Therapeutic Management PAIN 1 Physiologic
Pathogenesis of Neuropathic Pain | Calgary Guide
Exploring pain pathophysiology in patients | Science
Pain | PPT
Chronic pain and bone-related pathologies : a narrative review | JPR
Pathophysiology of Pain | PDF
ESSENTIAL PAIN MANAGEMENT - ppt video online download
Pain pathway | PPTX
(PDF) Inhibitory regulation of the pain gate and how its failure causes ...
(PDF) Modulation of Pathological Pain by Epidermal Growth Factor Receptor
Pain pathway theories of pain | PDF
PPT - Pathologic Fractures PowerPoint Presentation, free download - ID ...
(PDF) Interleukin-6: An emerging regulator of pathological pain
Pathophysiology of Pain | PDF | Neurophysiology | Neuroscience
Figure 1 from Progress in Sympathetically Mediated Pathological Pain ...
PPT - Pathophysiology of Pain Treatment of Acute Postoperative Pain ...
PPT - Pain PowerPoint Presentation, free download - ID:2130201
-Pathogenesis of Chronic Pain 10 | Download Scientific Diagram
(PDF) Progress in Sympathetically Mediated Pathological Pain
Pain and its pathways.Dr Ayesha Taha | PPTX | Brain and Nervous System ...
Pathology of pain and its implications for therapeutic interventions - PMC
Acute Somatic Pain | Calgary GuideCalgary Guide
Pathophysiology of pain
(PDF) Central Neuroplasticity and Pathological Pain
PPT - PATHOPHYSIOLOGY OF PAIN PowerPoint Presentation, free download ...
Pathological causes of back pain | Download Scientific Diagram
Pain Management.pptx
pain as 5th VS.ppt
The mechanisms of pathological pain. Compared to physiological ...
British Journal of Nursing - The pathophysiology, assessment, and ...
Pathophysiology of pain.pptx
Pain: Types and Pathways | Concise Medical Knowledge
PPT - PAIN!! PowerPoint Presentation, free download - ID:2357066
" PAIN" AND " PATHWAYS OF PAIN" | PPT
Pain, Neuropathic pain- definition, diagnosis classification and ...
【Pathologic 2】Pain. Suffering. Agony.【Tsunderia】 - YouTube
PPT - Pain: Pathophysiology, Classification, and Treatment PowerPoint ...
JCI - What is this thing called pain?
PPT - Principles of Clinical Pathology PowerPoint Presentation, free ...
PPT - Pathophysiology PowerPoint Presentation, free download - ID:9235661