Showing 120 of 120on this page. Filters & sort apply to loaded results; URL updates for sharing.120 of 120 on this page
Partial Differential Equation - GeeksforGeeks
Partial Differential Equations Example sheet 4
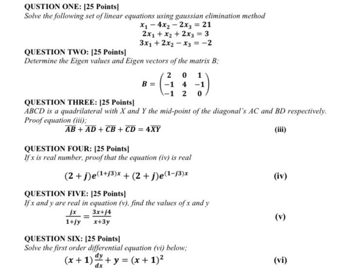
Solved 3. solve the partial equation Find the values of | Chegg.com
Partial Differential Equation | Introduction to Partial Derivative ...
Solving Higher Order Partial Differential Equation - Mathematics Stack ...
calculus - Trouble simplifying a partial differential equation ...
Partial Differential Equation. | PDF | Partial Differential Equation ...
Advanced Issues In Partial Least Squares Structural Equation Modeling ...
Partial Differential Equations - Definition, Formula, Examples
Differential Geometry And Partial Differential Equations at Susan ...
PPT - PARTIAL DIFFERENTIAL EQUATIONS PowerPoint Presentation, free ...
Partial Differential Equations
Partial differential equations | PPTX
Partial Differential Equations Examples
PPT - Introduction to Partial Differential Equations PowerPoint ...
PPT - First Order Partial Differential Equations PowerPoint ...
Partial Differential Equations Formulas
Partial Differential Equations (Definition, Types & Examples)
Classification Of Partial Differential Equations - Examples
Partial Derivative Examples Solved] Find All Second Order Partial
Partial Fractions | Systry
Partial Differential Equation/ Lecture -03 / Examples on Formation of ...
How can solve the Partial differential equation?
PPT - PARTIAL DIFFERENTIAL EQUATIONS PowerPoint Presentation - ID:2511480
Understanding Partial Differential Equations: Types and Solution ...
Introduction of Partial Differential Equations | PDF
How to do Partial Fraction Decomposition? (6 Powerful Examples!)
Introduction to Partial Differential Equations - YouTube
Solved Partial Fraction Forms Write the form of the partial | Chegg.com
Amazon | Solutions Of Partial Integral Equations: A comprehensive guide ...
Partial Differential Equations - Mathematics - Studocu
Partial Formula | PDF
Partial Fractions Decomposition - Examples and Practice Problems ...
Partial Fraction Calculator
Partial Differential Equations | Sahithyan's S2
Partial Different Equations - Unit 1 - 1 (PDE) partial Differential ...
PARTIAL DIFFERENTIAL EQUATIONS AND ITS RESULTS | PPTX
Multiple Regression Analysis Example - Free Worksheets Printable
Partial Differential Equations in MATLAB - Surfside Media
Data Analysis In Research Methodology Example Quantitative - Free ...
A MATHEMATICAL MODEL OF AN ELASTIC-DAMPER SYSTEM BASED ON THE EXAMPLE ...
Differential Equations
fourier transform differential equations pdf
Kapag matyaga kang magbasa... May matutunan ka... Vgs (GATE-TO-SOURCE ...
Excel SUMIFS formula with Wild card character (* & ?) in Hindi with ...
Multiple Regression Analysis Interpretation - Free Worksheets Printable
MA1512 Differential Equations for Engineering: A Book of Examples - Studocu
What is factory cost? Definition, formula, examples, and tips
What is the stock turnover ratio? Formula, examples, and how to improve it
What is landed cost in accounting? Definition, components, formula, and ...
Aya's Guide to PDEs - Math 3705 Lecture Notes - Studocu
30 Facts About Theater - Facts.net
Type B UNIVERSITY OF CALABAR DEPARTMENT OF MATHEMATICS FIRST SEMESTER 282..
Misc 15 - Integrate cos3 x elog sinx - Chapter 7 NCERT - Integration b
Discrete inverse problems for the Schrödinger operator on the multi ...
Introduction to Chemistry Acids & Bases Study Guide | Notes
Lecture Notes: Differential Equations I (MT 2024) - Part A1 - Studocu
UNIT 1 - Monika Mittal Lecture Notes on PDEs - Studocu
talkSPORT Live - Final Word: REACTING TO ARSENAL 3-1 MAN UNITED!! 🔥 ...
Cost of Absenteeism: Strategies to Combat It | Monitask
Elastic vs. Inelastic Collisions: Key Differences Explained
I found out my girlfriend cheated on me. Instead of breaking up right ...
OEE calculation : method, examples and best practices — Ineo-Sense
haskell - A Friendly Guide to Type Ambiguity in Tagless Final Mini ...
Ex 7.2, 25 - Integrate 1 / cos^2 x (1 - tan x)^2 - Integration by subs
Prefixes: List of 50+ Common Prefixes in English - ESLBUZZ - Auto News
Enhancing Character-Level Understanding in LLMs through Curriculum ...
EDEXCEL IGCSE PHYSICS STANDARDIZED EXAM 2025/2026 QUESTIONS WITH ...
Derivative Calculator - One For All
Preview of Beiyang Mathematics Lecture丨Mathematics for propagation and ...
Exponents with Multiplication - Algebra 1 - Exponents Worksheets | Made ...