Showing 120 of 120on this page. Filters & sort apply to loaded results; URL updates for sharing.120 of 120 on this page
Why do I need to complete a PARQ form? - DoctorJeal
2021 PAR-Q+ General Health Questions - file: 1/ The Physical Activity ...
PARQ FORM – Physical Activity Readiness Questionnaire
Par Q You Form - parQ - Physical Activity Readiness Questionnaire ( PAR ...
PARQ - Physical Activity Readiness Questionnaire (Revised 2002) - Studocu
PARQ - For PATHFIT - and YOU Questionnaire Name: Date: Physical ...
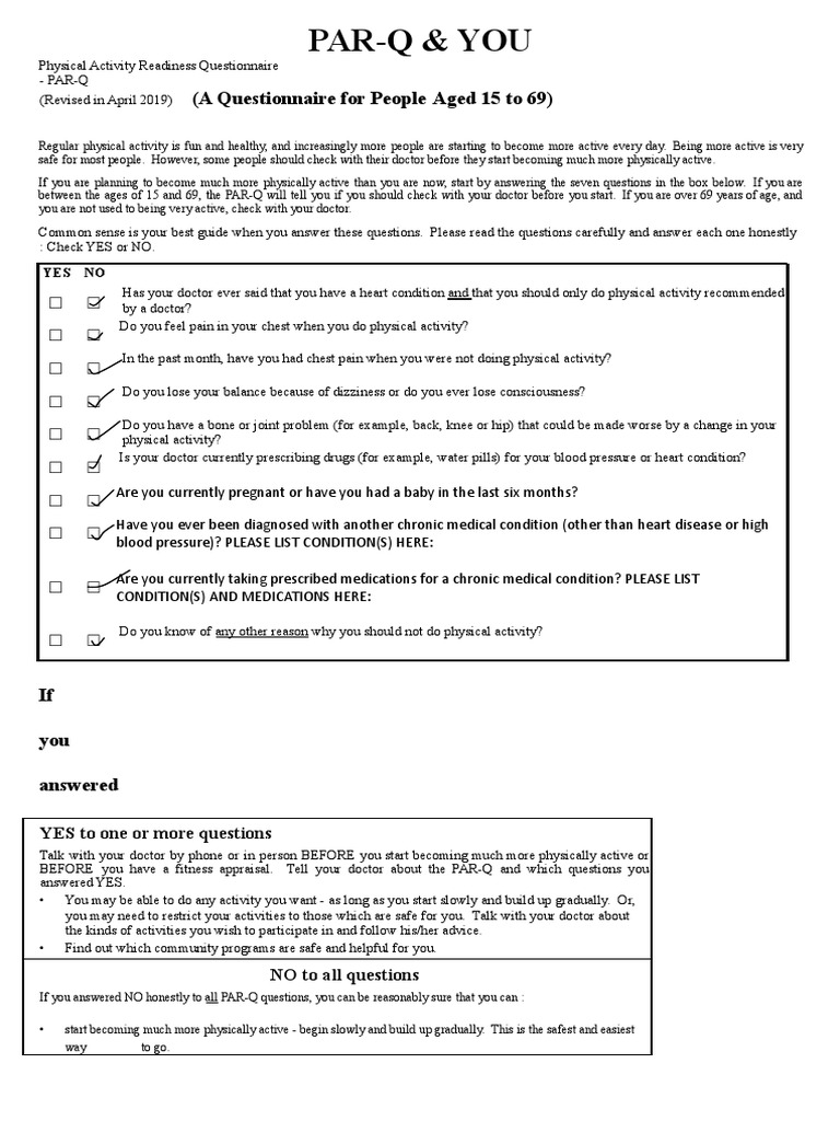
Parq - for PE - Physical Activity Readiness PAR-Q & YOU (A ...
Activity Parq ≡ Fill Out Printable PDF Forms Online
Physical Activity Readiness Questionnaire (PAR-Q) & Example | Free PDF ...
Physical Activity Readiness Questionnaire (PAR-Q+)
PAR-Q — Yoga & Fitness
Physical Activity Readiness Questionnaire
29 Physical Activity Readiness Questionnaire Par-q page 2 - Free to ...
Fillable Online PAR-Q - Physical Activity Readiness Questionnaire Fax ...
Physical Activity Readiness Questionnaire (PAR-Q) and You - Fill and ...
PAR-Q: Physical Activity Readiness Questionnaire
18 Printable Par Q Form Templates - Fillable Samples in PDF, Word to ...
Assessing Readiness for Physical Activity: A Guide to Completing the ...
Physical Activity Readiness Questionnaire (Par-Q) | PDF
PAR-Q physical activity readiness questionnaire | PDF
PAR-Q+: Physical Activity Readiness Questionnaire
Physical Activity Readiness Questionnaire Par-q Forms and Templates ...
CSEP PAR Q - What is the Physical Activity Readiness Questionnaire?
18 Printable Physical Activity Readiness Questionnaire Par-q Forms and ...
PAR Q and YOU - Health Form - Questionnaire - PAR-Q PAR-Q & YOU ...
PARQ-Form - Physical Activity Readiness Questionnaire (PAR-Q+) - Studocu
PAR-Q Forms | PDF | Physical Fitness | Physical Exercise
Printable Par Q Form - Printable Forms Free Online
Par-Q Questionnaire Template printable pdf download
PAR-Q Physical Activity Readiness Form | PDF
2023 PAR-Q+: Comprehensive Readiness Questionnaire for Physical ...
Par-Q & You: (A Questionnaire For People Aged 15 To 69) | Download Free ...
Par Q Plus Jan 2023 Fillable 1 - 2023 PAR-Q+ The Physical Activity ...
Physical Activity Readiness Questionnaire (Par-Q) Template printable ...
parq.pdf - 2020 PAR-Q The Physical Activity Readiness Questionnaire for ...
Physical Activity Readiness Questionnaire (PAR Q)Short version Doc ...
What Is A Par Q Questionnaire at Frank Keith blog
PAR-Q - The Physical Activity Readiness Questionnaire
par-q - Physical Activity Readiness Questionnaire PAR-Q(revised 2002 ...
Physical Activity Readiness Questionnaire (Par-Q) - The Healing ...
PAR-Q iOS App - Physical Activity Readiness Questionnaire
sample par q form
Physical Activity Readiness Questionnaire: PAR-Q - YouTube
par-q - Physical Activity Readiness Questionnaire - PAR-Q revised 2002 ...
PAR-Q iOS App - Physical Activity Readiness Questionnaire - FitSW Blog
2023 PAR-Q+ - Answer the following - 2023 PAR-Q+ The Physical Activity ...
Par-Q- What It Is And How It Is Used?
PAR-Q: Physical Activity Readiness Questionnaire | PDF
PAR-Q & Health Questionnaire for Fitness Assessment
PAR-Q+ Questionnaire: Physical Activity Readiness
Personal Trainer PAR-Q Form Template | PDF | Personal Trainer ...
Physical Activity Readiness Questionnaire (PAR-Q)
Physical activity readiness questionnaire free printable par q form ...
Par-Q ppt Dr. Mumux | PPTX
PARQ-converted.docx - 2020 PAR-Q The Physical Activity Readiness ...
Par q and you form
PAR-Q Android App - Physical Activity Readiness Questionnaire - FitSW Blog
31 Printable Par Q Form Templates - Fillable Samples in PDF, Word to ...
PARQ.docx - Physical Activity Readiness Questionnaire - PAR-Q Revised ...
Pfit2 (Par-Q) - Physical Activity Readiness Questionnaire | PDF
Par Q Plus Jan 2021 Pg 1 - kmlkmfs - The Physical Activity Readiness ...
PAR-Q Fitness Readiness Assessment | PDF
The Physical Activity Readiness Questionnaire Par Q | Bootcamp stuff ...
Par Q Form ≡ Fill Out Printable PDF Forms Online
Physical Activity Readiness Questionnaire (Par Q) Form Document - YouTube
Physical Activity Readiness Questionnaire (PAR-Q) | Lift and Uplift
Par-Q Test Questionnaire | PDF | Physical Fitness | Health Care
PAR Q AND YOU - CE4 - Reviewer - Physical Activity Readiness ...
Par Q Form Template UK
PPT - Fitness testing PowerPoint Presentation, free download - ID:620193
PAR-Q Questionnaire For Physical Fitness Test | PDF
PAR Q AND YOU - Physical Activity Readiness Questionnaire - PAR-Q ...
Health Screening | Beyond Limits Fitness
Physical Activity Readiness Questionnaire (PAR-Q) PAR-Q Is ... Doc ...
30 Printable Par Q Templates - Samples in PDF, Word to ... Doc Template ...
PAR-Q Fitness Readiness Questionnaire Sample Document - Studocu
Free PAR-Q Template - BULK Content
Par-Q Patient Form printable pdf download
18 par q form 2016 - Free to Edit, Download & Print | CocoDoc
REPs PAR-Q Short Version Questionnaire for Fitness Readiness - Studocu
PAR-Q: Physical Activity Readiness Questionnaire (Revised 2002) - Studocu
Par Q Plus Form -Jan 2021 - 2021 PAR-Q+ ####### The Physical Activity ...
2019-2026 NASM Physical Activity Readiness Questionnaire (PAR-Q) Form ...
PAR-Q Activity Assessment Guide - Studocu
PARQ.pdf - CSEP approved Sept 12 2011 version PAR-Q The Physical ...
Assess Your Readiness for Physical Activity with PAR-Q+ | Course Hero
Par Q Form for Download and Print
Par Q Questionnaire: Complete with ease | airSlate SignNow
Par Q Form - PDFSimpli
PAR-Q: Physical Activity Readiness Questionnaire (PARQ) Form - Studocu
Physical Activity Readiness Questionnaire | PDF | Asthma | Spinal Cord ...
PAR-Q 2023: Physical Activity Readiness Questionnaire for Everyone ...
Par QPlus 2022 - lectures - 2022 PAR-Q+ The Physical Activity Readiness ...
Physical Activity Readiness Questionnaire (PAR-Q) | PDF | Physical ...
PAR-Q form - form - Physical Activity Readiness Questionnaire (PAR-Q ...
Understanding PAR-Q+ Questionnaire for Physical Activity | Course Hero
PAR-Q+ Reminder for all Fitness Leaders - KINESIOLOGISTS.CA Studio ...
PARQ.docx - 2021 PAR-Q The Physical Activity Readiness Questionnaire ...
Essential PAR-Q Questionnaire for Safe Exercise Practices | Course Hero
Par Q Plus 2024 pdf - Files - The Physical Activity Readiness ...
Assessing Physical Activity Readiness Questionnaire (PARQ) for | Course ...