Showing 120 of 120on this page. Filters & sort apply to loaded results; URL updates for sharing.120 of 120 on this page
Parameter estimates from the base model and final model. | Download ...
Parameter estimates of the base and final model | Download Scientific ...
Base model parameter values for sensitivity analysis. | Download ...
Parameter estimate of base model | Download Scientific Diagram
Parameter Values for the Base and Robust Model Formulations | Download ...
Parameter estimate for the base model without the addition of ...
Parameter Information for Base Model | Download Table
Base and final model parameter estimates | Download Table
Base Model Parameter Values* | Download Table
Parameter estimates for the base model, final model and bootstrap ...
Random parameter base model with correlation between attributes ...
Base model PK parameter estimates. | Download Table
Parameter values for structural model, base model, and covariate model ...
Parameter estimates and fitting statistics for the base model of growth ...
Parameter estimates of the base and final model | Download Table
Parameter estimates of base model | Download Table
Initial Parameter Values for the Base Model with Mineralogy from ...
Model Parameters (continued) Parameter Base case (lower-upper ...
| Base set of model parameter values and initial conditions. | Download ...
Base set of model parameter values and initial conditions. | Download ...
Comparison of four parameter models with three parameter 348 base ...
Parameter estimates of the base model, final model, and bootstrap ...
Corinthians Mascot Base - Free 3D Print Model - MakerWorld
Storage base for Powered rolling knife sharpener - Free 3D Print Model ...
Figure 1 from Model Parameter Identification of Lithium-Ion Battery ...
Tencent releases 295B parameter Hy3 model to target AI agent efficiency
Part 10 - Base Model and Data Quality - DEV Community
What is Parameter in Model - Simple Explanation with Example - YouTube
Default parameters used to build the base model. The base model was ...
Dynamic Parameter and Model Updating Functions in a Relational Model ...
Model parameters, base values, and ranges over which values were ...
Parameter estimates and fitting statistics of the base models ...
Model parameters for the base case simulation. | Download Scientific ...
Illustration of the various components of the base model for a ...
Population parameter estimates of the base and final models, and ...
Base machine learning models' parameter settings. | Download Scientific ...
-Device Parameters of Base Model | Download Table
Model Based Parameter Estimation | SpringerLink
List of parameter base case values and ranges used in the sensitivity ...
| Parameter values and their uncertainties for the five model ...
Parameter estimates for the base and final population PK models ...
Model parameters, base values and ranges used in simulations ...
Model parameters, base case and reasonable ranges. | Download Table
Base model Parameters | Download Table
Base model parameters for different sets of experimental data ...
Parameters of base model and optimal model | Download Table
Overview of base model parameters in alphabetical order | Download ...
Figure 2 from A Grid-Based Model for Parameter Initialization in Non ...
Parameter definitions, base values, and simulations settings | Download ...
Base model parameters | Download Table
Improved single model super parameter combination based on improved ...
Parameter estimates of base and covariate models | Download Table
Selection of base model parameters. | Download Scientific Diagram
A Framework for Parameter Estimation and Model Selection from ...
Parameter-based and force-based model update schemes. | Download ...
The main parameters of the base models. | Download Scientific Diagram
I replaced my local LLM with a model half its size and got better ...
Alibaba Open-Sources Qwen3.6-35B-A3B: A High-Performance MoE Model with ...
Inside Revolut's PRAGMA: The 1B-Parameter Foundation Model Trained on ...
Tencent's Hunyuan Hy3 model with 295B parameters targets enterprise AI
Open-Source Claude Clone Matches 1.3B Model Performance
3D Model: wave sculpture on circular blue base with foam accents and ...
Model based systems engineering : succès technique en 2025
What are Model Parameters and Evaluation Metrics used in Machine ...
Regression model parameters-base. | Download Scientific Diagram
-Parameters used in the numerical model -base case simulation ...
A Transformer-Based Framework for Parameter Learning of a Land Surface ...
(PDF) Generalized plasticity state parameter-based model for saturated ...
Figure 1 from Meta-Model Framework for Surrogate-Based Parameter ...
The process of model's parameter estimation | Download Scientific Diagram
Parameter setting of prediction models | Download Scientific Diagram
Model parameters: base-case values and lower and upper values in ...
Overview of the different parameters of in the base and flexible models ...
Estimate Battery Model Parameters from HPPC Data - MATLAB & Simulink
Model parameters: base-line values, ranges, and distributions for ...
-Parameter-based view -Action to effect flow. Model developed by the ...
5-parameter based model of pv cell in matlab/simulink shunt
Modal parameters of the base-isolated model calculated from the ...
Parameter mapping model. | Download Scientific Diagram
What Is Tuning Parameter In Machine Learning at Toni Esser blog
Values of Base Parameters | Download Table
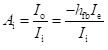
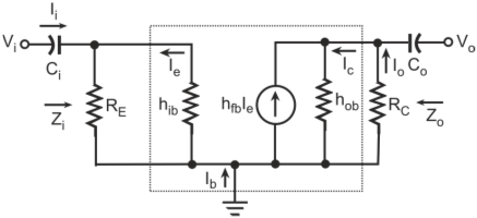
h-parameter Model for Common-Base Configuration
Model parameters, base-case estimates, and data sources | Download ...
Parameter settings for ANN based Prediction model. | Download ...
Hyperparameter Tuning In Azure | All You Need To Know
An illustration of model-based, mapping-based and parameter-based ...
[论文评述] RDP LoRA: Geometry-Driven Identification for Parameter-Efficient ...
Using Dynamic Parameters to Query Semantic Models in Microsoft Fabric
Influence of microcapsule parameters and initiator concentration on the ...
How to Select O Ring Based on Equipment Parameters? - ShanFeng Special ...
Parish-Based Governance Models in Catholic Schools
Visualization of the final results of the Swanson parameter-based ...
Dh parameters robotics | PPTX
The structure of the Z-parameter based PINN model. | Download ...
Parameterized modeling process | Download Scientific Diagram
The thematic framework illustrates the systematic process of ...
Understanding OpenAI’s “Temperature” and “Top_p” Parameters in Language ...
A_single_hybrid_parameter_based_model_fo | PDF | Solar Energy | Tropics
Simple Guide to Hyperparameter Tuning in Neural Networks | by Matthew ...
Parameter-based strategy illustration | Download Scientific Diagram
The workflow of Z-parameter based PINN model. | Download Scientific Diagram
HYPERPARAMETERS AND DESIGNATIONS OF BASE-LEVEL MODELS | Download ...
Base-Case Parameters for the Simulation Model. | Download Scientific ...
The Importance of Hyperparameter Optimization for Model-based ...
(PDF) Non-Invasive Parameter-Based Machine Learning Models for Accurate ...
PPT - Transistor Modeling PowerPoint Presentation, free download - ID ...