Showing 120 of 120on this page. Filters & sort apply to loaded results; URL updates for sharing.120 of 120 on this page
Maths Sample Paper PT | PDF
MS PT Sample Paper 1 | PDF | Vertebra | Vertebral Column
Sample Paper PT 3 Grade X Mathematics | PDF | Numerical Analysis ...
29+ Position Paper Examples in PDF | Examples
20+ Position Paper Examples to Download
30+ Paper Format Examples in PDF, DOCS | Examples
Sample Paper of PT 1 For Revision | PDF
English Sample Paper PT 2 | PDF
30+ Paper Examples to Download
Ace Your PT Notes: Free PDF Examples & Templates
GSM vs PT Guide: Choose the Right Paper for Packaging
Class 7 PT 1 Question Paper Computer Science 2025-26 PDF | Download ...
Class IX PT 1 Sample Paper | PDF | Numbers | Factorization
Science Sample Paper PT 2 | PDF | Waves | Temperature
Pt Teaching Plan-Example Paper 1 .docx - 1 Chemotherapy Student's Name ...
Class 8 Pt 1 Question Paper English at Crystal Twyman blog
Class 7 Periodic Test Question Paper 2025 | Get PT 1 PT 2 Question ...
PT Observation Paper - Google Docs - Physical Therapy Observation Paper ...
How to Print – PT Paper
PT 1 Sample paper Computer Science Class 11 | PT 1 CS Sample Paper for ...
Thickness Of Paper In Pt | AP USA
How To Write a PT paper - How to Write a Political Theory Paper This ...
Sample Paper for Periodic Test 1 Information Technology Class 10 | PT 1 ...
Paper For PT | PDF
4th PT Thought Paper Format | PDF
PT assignment - Physical therapy paper - I want to be a physical ...
Sample Paper Computer Science Class 12 PT 1 । Computer Science Class 12 ...
Download – PT Paper
PT 2 ka Viral Question Paper 🤫 | Class 9 Maths PT 2 Exam Sample Paper ...
Class 11 PT 1 Question Paper English 2025-26 PDF | Download Periodic ...
8th SL PT 1 24-25 - Sample Paper | PDF
Family Assessment Paper Pt II 2021 Template - Family Health Assessment ...
Class 10 PT 2 Question Paper Science 2024-25 PDF | Download Periodic ...
PT Sample - Your Therapy Source
Pt Evaluation Template
Sample Paper PT_02 Class 11 Mathematics - Practice Questions - Studocu
FREE 10+ PT Evaluation Samples in PDF
Physical Education Sample Paper - 1 | PDF
A Guide to Paper Types and Sizes - PGprint
Sample paper- PT 2 | PDF
Sample Paper Pt-2 Evs Cl-5 | PDF | Fuels | Chemical Energy Sources
Pt Notes Template
Sample Paper PT.I Class IX English 2025-1 | PDF | Linguistics
BCA Sekuritas - Penawaran Obligasi dan Sukuk PT Indah Kiat... | Facebook
CBSE Physical Education Class 12 Sample Paper 3 - PYQs & Exam Prep ...
Jain entrance exam sample paper
Sample Paper Breaking And Latest News In Hindi - Amarujala.com
CBSE Class 12 Sample Paper 2025-26 Out, Download PDF CBSE 12th SQP and ...
CBSE Class 10 Sample Paper 2026 with Solutions: Download PDF
CBSE Class 12 Sample Paper 2025-26: Download 12th Subject-wise Paper ...
18 Essay Examples to Help You Write the Perfect Essay
Lee Jofa Althea Paper Stone P2023116.1611.0 Sample | 40% Off (Samples)
Paper Weight Conversion: GSM, LB, PT, MM
📌 Paper Sample on DPT Excellence: Navigating Temple University's ...
VII Sample paper PT-2 (1)
English Sample Paper As Per PT-2 Answer Key | PDF
Daily PT Notes by School Based Physical Therapist | TPT
GSM vs PT: Paper Thickness & Weight Explained for Packaging ...
Guide To Pt Practice Documentation Template
Paper Thickness Or Caliper : Understanding Paper Caliper: Thickness and ...
How To Answer PT3 Writing Paper | PDF | Human Communication
Sample Question Paper BS PT-1 | PDF
14pt vs 16pt Card Stock: How to Choose the Right Paper for You ...
PT3 Paper 2 Writing Format Guide | PDF
class 6 English sample papers of PT 1 ,Term 1, PT 2, Final ....💐💐 - YouTube
Physical Therapy Documentation Examples You Can Download
General PT Report Template 19 | Download Free PDF | Feasibility Study ...
PT1 Ac Sample Paper 1 | PDF
Process Paper Template Form and Sample Process Paper FALL 2022 1 .doc ...
PT-2 class 8 math sample paper for KV student||Class 8 KVS PT-2 math ...
Class 8 - PT-1 Science Sample Question Paper of PERIODIC TEST|| Cbse ...
Position Paper 29+ Examples, Format, How to Write, PDF
Academic Paper Format Sample Academic Writing Sample Essay Awesome 48
THM template for full papers 2023 - PREPERATION OF PAPERS – PAPER TITLE ...
editable 13 phenomenal physical therapy initial evaluation template ...
Fascia Lines Anatomy Poster Printable, Myofascial Lines Chart ...
NEET Success Strategy: The Role of PYQs and Sample Papers - PC Tech ...
CBSE Sample Papers | Class 10 and 12 Sample Question Papers Released by ...
DELF B2 Tout public - exemple d'examen 1 (Sample Exam Paper)
Class 9 Sample Papers 2026 FBISE | NBF New Book | HSA Notes - HSA Notes
Today’s Papers – Inzaghi speaks out, Spalletti calls Bernardo Silva ...
Fillable Physical Therapy Daily Notes printable pdf download
Physical Therapy Documentation Templates - Fill Online, Printable ...
Physical Therapy Note Template & Example | Free PDF Download
Physical Therapy Intake Form Download Printable Pdf Templateroller ...
Free How To Write A Progress Note Physical Therapy Soap Note Template ...
Free Therapy Note Templates, Editable and Printable
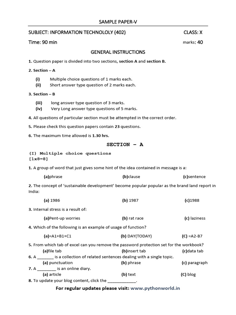
Sample Paper-V Class X (It) Pt-I | PDF | Sentence (Linguistics) | Question
Physical Therapy Daily Note Template
Progress-notes - Physical Therapy Progress Note Sept 22, 2023 Patient ...
Physical Therapy Progress Note Template
Lumbar Physical Therapy Evaluation Template – KTPLZW
SOAP Notes For Physical Therapy Template & Example | Free PDF Download
XI IP PT-1 Sample Paper-III | PDF | Python (Programming Language ...
What's the Point (pt)? - Las Vegas Color Printing
Points, Pounds and GSM. What's the Difference and What Do You Need in ...