Showing 120 of 120on this page. Filters & sort apply to loaded results; URL updates for sharing.120 of 120 on this page
PVC Pipe Testing Methods that Guarantee Uncompromising Quality! 💪🏽 ...
Explaining essential testing methods for PVC Waterproofing membrane to ...
PVC PIPE TESTING METHODS - YouTube
PPT - PVC pipe testing in chennai PowerPoint Presentation, free ...
PVC Pipe Testing | PDF | Pipe (Fluid Conveyance) | Pressure
How to Choose the Right PVC Pipe Testing Method
Plastic Testing Methods Testing Equipment For Plastic Pipe Mfg. And
Essential Plastic Film Testing Methods for Quality Control
Hydraulic Testing of Pvc Pipe Laboratory and Field Tests Confirm Flow ...
Hydrostatic Testing Of Pvc Pipe at Deanna Sellers blog
Pvc Pipe Testing Procedure at Barbara Eley blog
Pressure Testing Procedures and Information For Fusible PVC | PDF ...
Plastic Film Testing Methods at Lisa Hawke blog
Plastics PVC / Pipe Testing Equipment | Worldoftest
Plastic Testing Methods: A Guide to Testing Methods for Polymer Components
Top 20 Plastic Testing Methods Lab In US - Infinita Lab
Plastic Testing Methods
PPT - Toy Testing Unveiled Demystifying Plastic Evaluation Methods and ...
Pvc Pipe/section Testing at Best Price in Greater Noida, Uttar Pradesh ...
PVC Plastic Pipe Hydrostatic Pressure Testing Machine ASTM D1598 ...
PVC Pipe Hydrostatic proof testing machines
Effective Methods To Test Your New Pvc Waste Line Installation | ShunWaste
PVC Pipe Field Testing Maximum Test Pressure | PDF | Pipe (Fluid ...
Results of testing PVC adhesive tape | Download Scientific Diagram
Methods of Test For Unplasticized PVC Pipes For Potable Water Supplies ...
Testing of PVC the gelation level of PVC | Download Free PDF ...
Pvc Pipe Testing Equipment at Amy Hartzell blog
Pvc Pipe Testing Equipment Names at Inez Bennett blog
Pvc Testing Equipment at Grace Becky blog
Impact Testing for PVC Pipes
The Importance of PVC Pipes Testing in the UAE
Plastic PVC Pipe Hydrostatic Pressure and Burst Tester Testing Machine ...
How to Ensure the Water Tightness of Injection-Molded PVC Pipes ...
Explained Plastic Pipe Testing - Quality Standards and More | Qualitest
Plastic Material Testing Services - Plastic Testing-Kiyorndlab
Packaging material testing | PPTX
a (left) AND 1b (right): (1a) A -TEST MATERIAL INSERTED INTO PVC ...
The Definitive Guide to Three Point Bend Testing of Plastic to ASTM ...
PPXX: Finding the Relationship Between Non Destructive Test Methods and ...
PPT - Plastic Testing | MetsLab UAE PowerPoint Presentation, free ...
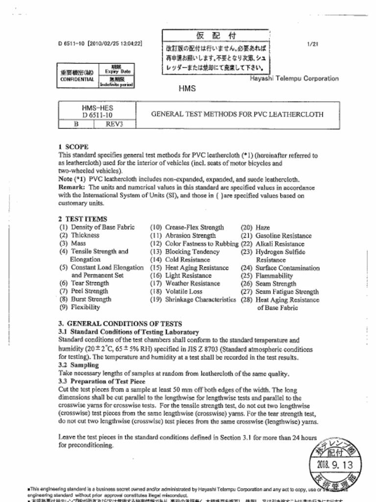
10 Test Method For PVC (HES D6511) | PDF
Resistivity Test Methods - QUANDA Plastic
Plastics testing standards | PPTX
Pvc Meaning Medical at Kim Delapaz blog
Plastic Product Testing Before, During and After Production Stages
Alta Design Associates, Inc. - Geotechnical Engineering & Soil Testing
Plastic Testing | Worldoftest
Air vs. Hydrostatic Testing for PVC, CPVC, and ABS
PVC tube test scheme A plastic flexible tube was fixed on the cap of ...
How To Test Pvc Pipe at Noah Duell blog
Qualitest’s Extensive Range Plastic Testing Technologies - Built for ...
PVC Pipe Lifespan: How Long Do Pipes Last?
The Role of Plastic Testing in Our Everyday Lives
Heat Flow Method Thermal Conductivity Testing Machine Plastic Testing ...
PVC gel uniaxial compression testing. | Download Scientific Diagram
How To Mould Pvc Pipe at Joseph Dearth blog
Plastic Testing Instruments,Equipments,Machines Manufacturer - FYI
PVC Test 1, PVC Test 2, PVC Test 3, PVC Test 4, PVC Test 6 Exam 2025/ ...
PPT - Best Plastic testing lab PowerPoint Presentation, free download ...
Condensate Drain Piping Installation and Testing Method Statement ...
Air vs. Hydrostatic Testing for PVC, CPVC, and ABS | Herkowski Stickler ...
Thermal stability time of pure PVC and PVC samples stabilized by VMT ...
Reproducing Test Conditions for PVC Mixer Tests
Plastic Testing Equipment, Polymer Testing Equipment | PDF
PVC/PVDC Film Standard Testing Procedure – Pharma Testing Blog
A Guide to Different Types of Plastic Testing
PVC-U fabricated Testing Services at ₹ 7500/sample in Panchkula | ID ...
Polymer Testing Archives - Applied Technical Services
Plastic Testing: Polymer & Material Testing Laboratory
Quality Control of PVC Waterproofing Membranes | Uloroviyam
Thermoplastic Manufacturer & Supplier in India | Petron Thermoplast ...
Test Procedures for Checking Quality of Plastic
Risk Assessment and Management of PVC.pdf
How to Test UPVC pipe fitting in factory? - ERA Pipes: NO. 1 Pipe ...
ASTM D2444 En Jb PVC-U PVC-C Pipes PP Pipes PE Plastic Pipes Toughness ...
Polyvinyl Chloride (PVC) Pressure Pipe Hydro Tester
-Main events occurring in the PVC3 sample test: slight buckling (A ...
Identification Of Plastic Material by Visual Appearance Method ...
UL94 Horizontal & Vertical Flammability Tester TF328 - YouTube
Individual Performance on the Two- and Three-PVC Test Conditions ...
Figure 2 from An Innovative Method for Conventional Triaxial Tests of ...