Showing 120 of 120on this page. Filters & sort apply to loaded results; URL updates for sharing.120 of 120 on this page
Algebra Homework Solver Steps | PDF | Algebra | Equations
Statistics Homework Solver | PDF | Statistics | Homework
Algebra 2 Homework Solver Free | PDF | Algebra | Equations
Instant PDF homework solver - YouTube
AI Homework Solver Research Paper | PDF | Artificial Intelligence ...
Physics Homework Solver Free | PDF | Physics | Homework
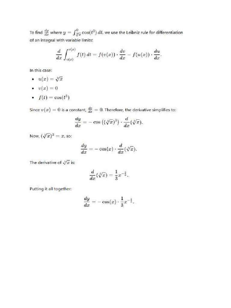
Geometry Homework Solver | PDF | Geometry | Mathematics
Trig Homework Solver | PDF | Trigonometry | Triangle
Homework Solver Camera | PDF | Mathematics | Homework
Math Homework Solver With Work | PDF | Mathematics | Homework
Math Homework Solver Online | PDF | Mathematics | Algebra
Homework Equation Solver | PDF | Equations | Mathematics
Math Homework Solver App | Download Free PDF | Mathematics | Equations
Math Solver Homework | PDF | Mathematics | Algebra
Questi - AI problem solver | Homework helper | PDF question and answer ...
SmartSolve - AI Homework Solver for Google Chrome - Extension Download
Homework Help Strategies for Parents | PDF | Homework | Incentive
History AI Homework Solver - Edubrain
AI Homework Help, Math Solver by Daniel Kaczmarczyk
Free Help in Math Homework | PDF | Homework | Mathematics
Math Homework Help Geometry | PDF | Geometry | Homework
Homework Help Services for Students | PDF | Homework
Homework Solver And 34 Other AI Alternatives For Homework help
Student Homework Help Hub | PDF | Homework | Books
SmartSolve - AI Homework Solver
Management Homework Help | PDF | Homework | Expert
Statistics Homework Helper | PDF
Assistive Technology at Easter Seals Crossroads | Homework Solver ...
Ai Homework Guide | PDF
8 Top Homework Help Apps for Students in 2025 | PDF Agile
Help With Maths Homework Ks3 | PDF | Homework | Worksheet
Help On Math Homework For Free | PDF | Homework | Mathematics
Weekly Homework Assignments Overview | PDF
AI Math Solver & Calculator - Your Smart Homework Helper
Math Solver Homework helper for iPhone - Download
The Ultimate AI Math Solver & Homework Helper for Students
Math Solver Homework Helper for iPhone - Download
Answers To Your Homework For Free | PDF | Homework | Worksheet
GeniusTutor Review: The Best Free AI Homework Solver for Everyone - Spyier
Math Homework Help for Students | PDF | Homework | Mathematics
AI Homework - Helper Solver for iPhone - Download
Solvely – AI Homework Solver Tool for Step-by-Step Math Help & Students ...
Homework AI: The Best Free AI Homework Solver for All Subjects - WP Newsify
Smartbook Solver - AI Homework and Answer Solver
Android 용 Homework Helper AI Math Solver - 다운로드
Free AI Homework Helper — Fast, Accurate Homework Solver
Homework | PDF
70 Best Homework solver app AI tools - 2024
Homework 4 | PDF
Math Solver & Homework AI for Android - App Stats & Insights
Free AI Solver For Online Exams or Homework - Solvr
Homework 7 | PDF
Homework Solution | PDF
Homework Helper AI Math Solver Mod APK Free Download - FileCR
Homework Helper AI Math Solver - Apps on Google Play
Solvely AI: Instant Math & Science Homework Solver
Solvify AI: AI Math Solver & Homework Helper
iPhone için AI Homework HelperMath Solver - İndir
Homework Helper AI Math Solver Review: Revolutionize Learning
SolveMe - AI homework solver for iPhone - Download
The AI Tutor: Revolutionizing College Homework across Subjects | PDF
Homework Planner Printable Pdf - Printable Free Templates
Download and Run Uknow.AI: Homework&Math Solver on PC for Free
AI Homework Helper: Get Instant Assignment Help & Solutions Online
Artificial Intelligence Homework Help – Free AI Homework Helper ...
Top Free AI Tools to Instantly Solve Homework Questions
AI Homework Helper - Online Free, No Sign-up
10 Best AI Homework Helper Tools to Get Instant Homework Help | Robots.net
Homework 8.pdf - Homework 8 1. | Course Hero
Homework AI
10 Best AI Math Solvers for Instant Homework Solutions | Robots.net
Free AI Homework Helper: Picture Solver, No Sign-Up!
AI Homework Solver: Scan&Learn for Android - App Stats & Insights
AI Math Problem Solver
Algorithm Homework Help | PPT
Homework Solver-Free AI-Powered Homework Help
How to Use Homework Helper AI Math Solver: Ultimate Guide
Quickly Solve Math Problems with Homeworkify.im's Free AI Math Solver
AnswerAI - Homework AI Tutor powered by GPT-4 - Chrome Web Store
Homework.ai - AI Homework App for Mobile - Easy With AI
AI Homework Solver: DETAILED ExamUp Review
Best AI math solver apps for Mac and iPhone to replace ChatGPT
10 Best AI Question Solvers for Homework and Math Problems
Homeworkify - Fully Free Homework Helper Tool by Tutor AI
10 Best AI Homework Helper Tools for Quick and Smart Homework
Free AI Homework Helper: Instant Homework & Test Answers
15+ Best AI Homework Tools 2026
Top 10 Online AI Homework Solvers: Revolutionizing Homework Assistance
Printable Homework Planner
10 Best Free AI Homework Helpers 2026 (By Picture)
8 Best AI Homework Solvers for Students - Writing Guide - SmodinBlog
Free Printable Homework Planner Templates [Excel, PDF, Word] Cute
AnswerAI - Homework AI Tutor & Study Helper - Chrome Web Store
GitHub - leondvieira/homework-solver: Make your homework with ...
Homework Solver: AI Answer AppiOS版本(iPhone/iPad/iPod touch)免費下載 - AppPure
Math Solver:AI Homework Helper by MD Shaha Jalal
AI Math Solver | Free Online Math Problem Solver with Steps
Homeworkify: приложение для помощи с домашними заданиями на основе ИИ ...
Best 12 Physics AI Solvers
3 AI untuk Mengerjakan Tugas Matematika - Spilltekno
Solvr - Solve with AI - Chrome Web Store
AI Chemistry Solvers: Top 12 Tools for 2026 (Free & Paid)
9 Best AI Chemistry Problem Solvers
MiniToolAI - Free AI Tool
PPT - translate voice PowerPoint Presentation, free download - ID:12436895
AI Math Solver-智能数学解题助手,轻松解决复杂问题。
User | wapakdailynews.com - Revolutionize College Studies with TutorEva ...
10 Best Math AI Solvers to Solve Math Problems Online - GeeksforGeeks
20 Best Free AI Tools Every Student Needs in 2026
homework.........................(1).pdf