Showing 119 of 119on this page. Filters & sort apply to loaded results; URL updates for sharing.119 of 119 on this page
Statistics Formula Sheet | PDF | Mean | Mathematical Analysis
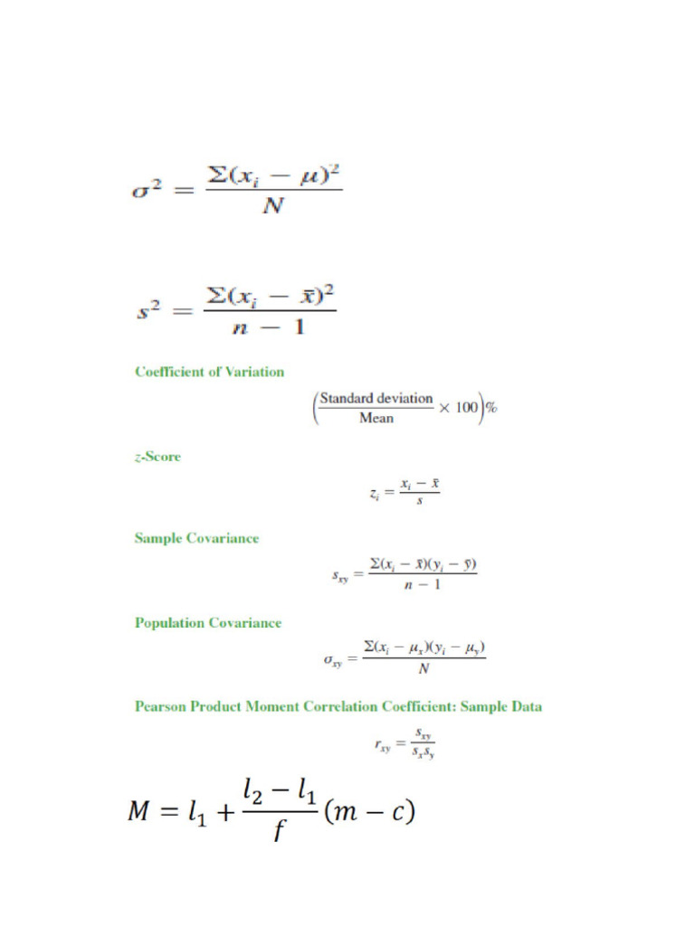
Formula | PDF
Formula Sheet | PDF
Formula Sheet | Download Free PDF | Probability Distribution | Statistics
Conversion Factors - Formula Sheet | PDF
Physics 12 Formula Sheet | PDF | Motion (Physics) | Theoretical Physics
Class 9 Maths Formula Sheet | PDF
Final Formula Sheet MArk3120 | PDF | Mathematical Objects | Abstract ...
Formula Sheet PDF | PDF | Volume | Area
15 Free Download Excel Formulas In Pdf Format Files | Download Free ...
Algebra Formula Sheet Pdf
PDF File Format - GeeksforGeeks
Math Form 4 Formula Sheet | PDF
Algebra Formula Sheet Download Printable PDF | Templateroller
Formula Writing | PDF
Format of Working Formulas | PDF
Mathematics 0580 Formula Sheet | PDF
Formula Sheet For Reference (If You Want To Print Use This) | PDF
Math Formula Sheet printable pdf download
5 Math Formula Sheets, PDF Instant Download, Printable, Letter Size - Etsy
Formula Sheet For Midterm and Final | PDF | Mathematics | Applied ...
Final Formula Sheet | PDF
Formula Sheet | PDF | Science & Mathematics
Formula PDF | PDF
Workkeys Applied Math Formula Sheet Pdf - Design Talk
FORMULA | PDF
Formula Sheet - Quantitative Finance | PDF | Money | Personal Finance
Formula Sheets | PDF
Lecture 2 | PDF | Formula | Function (Mathematics)
Pivot Table Formula In Excel Shortcut Keys Pdf - Infoupdate.org
Physics Formula Sheet | PDF
The Ultimate Formula Sheet Updated | PDF | Circle | Ellipse
Math Formula Sheet by Nilavini Arun | PDF
A Level Physics Formula Sheet (Aesthetic) PDF JEE | NEET - Grade 11 & 12
formula pdf-to-be副本.pages - ACT_Math_Formulas | PDF | Equations | Area
New Formula Sheet | PDF
specs formula sheet | PDF | Mathematical Analysis | Mathematical Physics
Sheet - Mathematical Formula | PDF
GCSE higher maths formula sheet | PDF | Area | Circle
Calculations in a PDF - Add Formulas in PDFs | pdfFiller
How to Create PDF Forms with Calculations in Adobe Acrobat
Final Exam Formula sheet (PDF format)
PDF Function Calculator Online
Class X Mathematics Formulae Sheet | PDF
How to create a fillable PDF form with calculations in Adobe Acrobat ...
Math Formula Sheet SAT Math Formula Sheet & Key Tips Etsy UK
Math Formulas Download Maths Formulas pdf Basic Math Fomula @ BYJU’S
Excel Formulas Cheat Sheet PDF - Connect 4 Techs
Mathematical Formulas | PDF
Intro To Excel - Formulas, Formatting, and Shortcuts (Study Notes) | PDF
Formula Sheet.pdf - Formula Sheet Note: This formula sheet does not ...
Formula sheet for final exam (PDF format)
Mathematical Formulas Pdf
Formal Letter Format Reference Linear Algebra Equation - Infoupdate.org
Download Physics formulas and concepts pdf
Formula-Sheet-for-the-SAT Maths | PDF | Area | Angle
Mathematics Formula
Add Calculations in a PDF Form: A Step-by-Step Guide
The List of Dimensional Formula. A Useful Handout. | PDF | Torque | Force
Formula - PDFCOFFEE.COM
Math Formula Chart The GCSE Maths Formulas Students Need To Learn
Excel Shortcut Keys In Pdf Google Search Excel Shortcuts
FORMULAS | PDF | Mathematical Analysis | Mathematical Concepts
Microsoft Excel Formulas List With Examples Pdf — db-excel.com
Formulas | PDF
Maths Formulas For Class 12: Download PDF for All Concepts and Chapters
Maths formulas pdf for class 10 math formulas 09b – Artofit
200+ Google Sheet Formulas PDF Free Download - AtoZ Library
How to Format Math and Equations - ProofreadingPal
Formulas | PDF | Teaching Methods & Materials
Microsoft Excel Formulas Cheat Sheet PDF - Connect 4 Techs
Math Formulas - List, Sheet & PDF Download
Lean Six Sigma Global - Top 22 Excel Formulas – A Handy Cheat Sheet for ...
Excel Conditional Formatting Formulas Explained
Excel Formulas Cheat Sheet: Use of Formulas with Examples | EDUCBA
Probability Distributions for Beginners
All Algebraic Formulas PDF, Class 10 & 12 Maths Identities
conditional-formatting-and-conditional-formulas.pdf
Create formulas on Forms for Calculations with PDFelement - YouTube
Conditional formatting formulas example for the ultimate Google Sheets ...
Excel cheat sheet formulas for data analysis – Artofit