Showing 120 of 120on this page. Filters & sort apply to loaded results; URL updates for sharing.120 of 120 on this page
Oracle 11i Sourcing Module Supplier Training - YouTube
KFUPM Oracle Sourcing Module Overview - YouTube
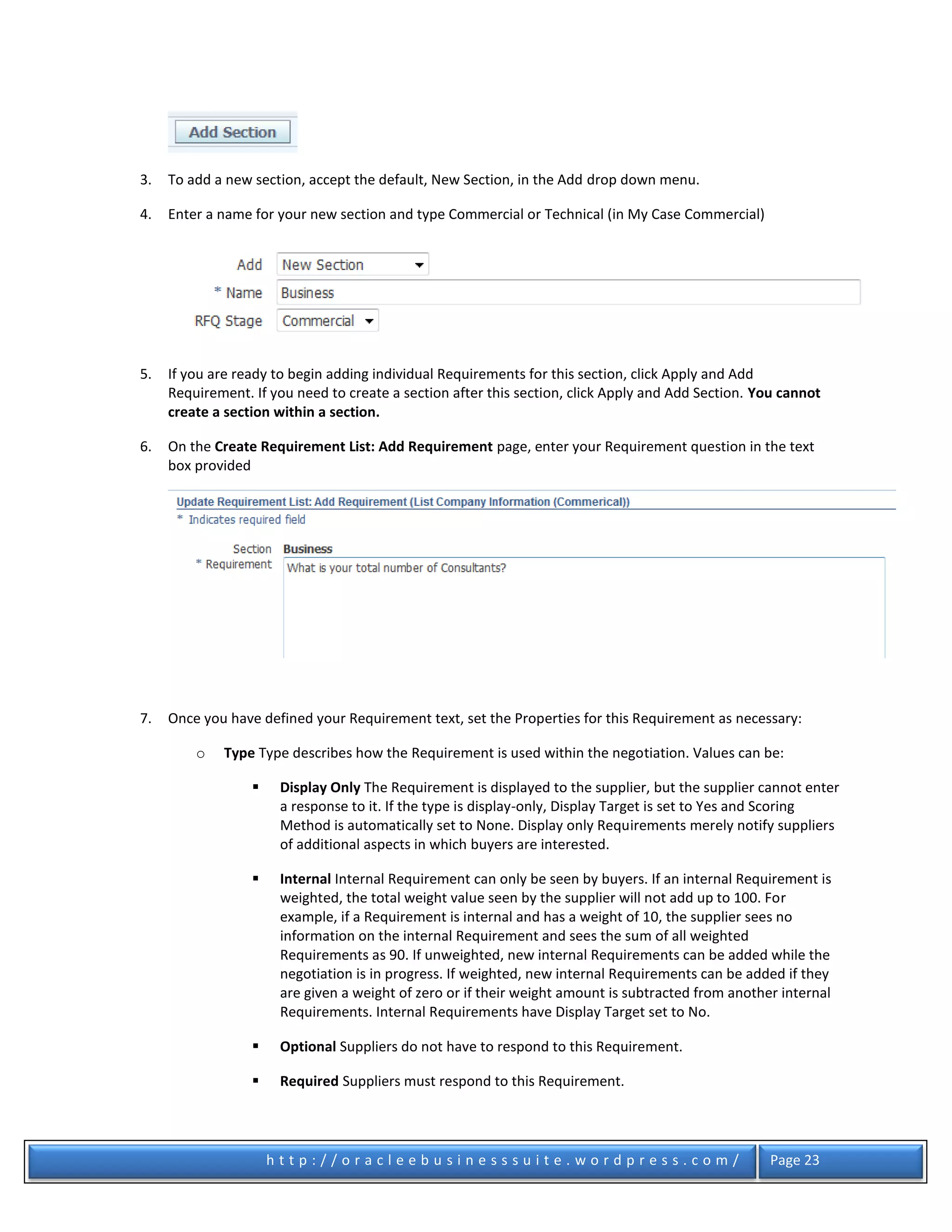
Oracle Sourcing Implementation and Administration Guide
Sourcing Module at William Stork blog
2- Oracle SCM EBS Sourcing - YouTube
Oracle Sourcing Fundamentals Training - Supplier Response-Part-6 - YouTube
Oracle Sourcing Quick Start Guide | PDF | Business
Recent Releases - Oracle Sourcing Cloud - New Key Features Analysis
Sourcing Rules in Oracle R12 PO and Assign Sourcing Rules
Sourcing Rule in Oracle Purchasing « Learn Oracle
AI-Driven Supplier Discovery in Oracle Sourcing | PDF | Supply Chain ...
Oracle Applications R12 Sourcing Training | PPT
PPT - Oracle Sourcing and Oracle Procurement Contracts: Actions You Can ...
Oracle Sourcing | PDF
Oracle Certified Applications Specialist - Functional: Oracle Sourcing ...
Oracle Sourcing Process | PDF | Procurement | Systems Engineering
Oracle Sourcing in Oracle Ebs - PART II | PDF | User (Computing ...
Oracle Sourcing Setup | PDF
Oracle R12 Apps - Purchasing Module Setup Steps | PDF
Oracle Fusion Redwood Sourcing – Negotiation Step-by-Step Guide
Oracle Applications (E-business Suite) SCM Module Training Overview | PPTX
Levelling Up your Oracle Cloud Deployment – Oracle Sourcing | Namos ...
How to Create Item Inspection in Oracle Purchasing Module | Oracle EBS ...
Oracle R12 Apps - Purchasing Module Setup Steps | PDF | Business ...
Oracle Sourcing | PDF | Invoice | Negotiation
The Functional Corner: Oracle Sourcing Module: Features with Real-Life ...
Negotiation Team scoring in Oracle Fusion Sourcing | by Aytan Vahidova ...
Oracle Sourcing Setup | PDF | Computing | Technology & Computing
Oracle Purchasing Module R12 Guide | PDF | Inventory | Business
ERP Procurement Cloud | Oracle
Basics of Oracle Purchasing
Oracle Purchasing User's Guide
Oracle Fusion Cloud Procurement 23D What's New
Mastering Oracle Fusion Procurement: A Complete Guide to Streamline ...
Oracle Fusion SCM Online Training Modules | PDF
Oracle iProcurement Implementation and Administration Guide
What Is Abstract Role In Oracle Fusion at Sean Murdoch blog
Oracle ERP Procurement Cloud: Compliance Made Easy
Oracle E-Business Suite ERP Solution Overview | Compare Oracle EBS ERP
Oracle Complex Maintenance, Repair, and Overhaul User's Guide
Oracle Applications: PA – Oracle R12 Project Billing Training Manual
Oracle Fusion ERP
Introduction to Oracle E-Business Suite | Oracle Apps News
Oracle purchasing cloud ds | PDF
Oracle ERP Fusion Cloud Overview - English | PPTX
Basics of Oracle Purchasing | PPT
Oracle eBS Overview.pptx
Oracle Projects Fundamentals
Oracle Fusion Cloud Self Service Procurement 23D What's New
R12i Oracle Purchasing Introduction - YouTube
Oracle Cloud - Sourcing/Negotiations new AI features do not work ...
Kiran Yarra: Oracle Apps iSourcing Process flow
Improve Your Healthcare Supply Chain with the Right Data | Oracle
Understanding the Purchase Order Sourcing Business Process
PPT - Best practices for An Oracle E-Business Suite Global ...
Oracle Advanced Supply Chain Planning Implementation and User's Guide
R12 EBS ORACLE PURCHASE OVERVIEW AND FEATURES AND FUNCTION | PPTX
Sourcing Hierarchy — oracle-mosc
Oracle Fusion Cloud Supply Planning 23C What's New
contents « Oracle SCM – Supply Chain Management
MRP Sourcing Rules and Bills of Distribution | Oracle-EBS-SQL
Oracle Applications: Oracle Projects Integrating with Payables ...
Oracle Procurement Command Center Plus Process Guide
Oracle Applications: Oracle Purchasing R12 New Features
13 Essential Types Of Supply Chain Management Tools For 2020
How To Format A Programmatically Created Submit Button in OAF Extension ...
sql query for Response from Supplier Portal and Surrogate Response in ...
Home [www.ckickstart.com]
Quick start guide-oracle_sourcing_v2 | PPT
ASL-Sourcing In Procurement | PDF