Showing 98 of 98on this page. Filters & sort apply to loaded results; URL updates for sharing.98 of 98 on this page
Highest Paying Computer Science Careers in 2025 in 2025
Is Computer Science marketable in Kenya? What you need to know - Tuko.co.ke
CSRankings: Computer Science on the Rise
Computer Science and Engineering – Indian Institute of Technology Delhi
What is the Optical Computing? - FreeAstroScience
Unit 4: Free Space Optical Communication Technologies - Studocu
Computer Vision Quiz Set 2 - Comprehensive Notes - Studocu
Lightelligence Pursues Hong Kong IPO, Scales Optical AI Infrastructure ...
Optical fibers fit for the age of quantum computing
Figure 13 from Deep Learning Computer Vision-Based Automated ...
Get Zenni Optical Coupon Codes for April 2026 - Los Angeles Times
Optical Computing Firm Lightelligence Jumps 408% in HK Debut
Amazon Research Awards recipients announced - Amazon Science
Figure 1 from Deep Learning Computer Vision-Based Automated ...
Video-rate centimeter-range optical coherence tomography based on dual ...
Computer Vision, Pattern Recognition, Image Processing, and Graphics ...
PMONN: an optical neural network for photonic integrated circuits based ...
Latest Science News | DeckBook AI
Figure 15 from Deep Learning Computer Vision-Based Automated ...
Figure 11 from Deep Learning Computer Vision-Based Automated ...
"Proceedings of the Computer Vision Conference (CVC) 2026, Volume 1 ...
Computer Vision Workshop - Hafsa Asad - Häftad | Akademibokhandeln
A Computer Vision Method for Finding Mislabelled Specimens Within ...
Lumai Launches the World’s First Optical Computing System for Real-Time ...
Lumai Unveils Optical AI Server to Power the Next Era of Inference ...
Figure 16 from Deep Learning Computer Vision-Based Automated ...
AI for Information Security call for proposals - Fall 2025 - Amazon Science
Oppo Find X9 Ultra: 200MP cameras, 10x optical zoom
CMC | A Computer Vision-Based Model for Automatic Motion Time Study
Computer Startup Ideas
Steve Jobs's Hatred For This Computer Part Led To One Of Apple's ...
Einsatz von KI-gestützter Computer Vision in Erntemaschinen des ...
Research gives optical switches the 'contrast' of electronic transistors
A rendezvous of computing and communication services at the optical ...
Applications of Evolutionary Computing - (Lecture Notes in Computer ...
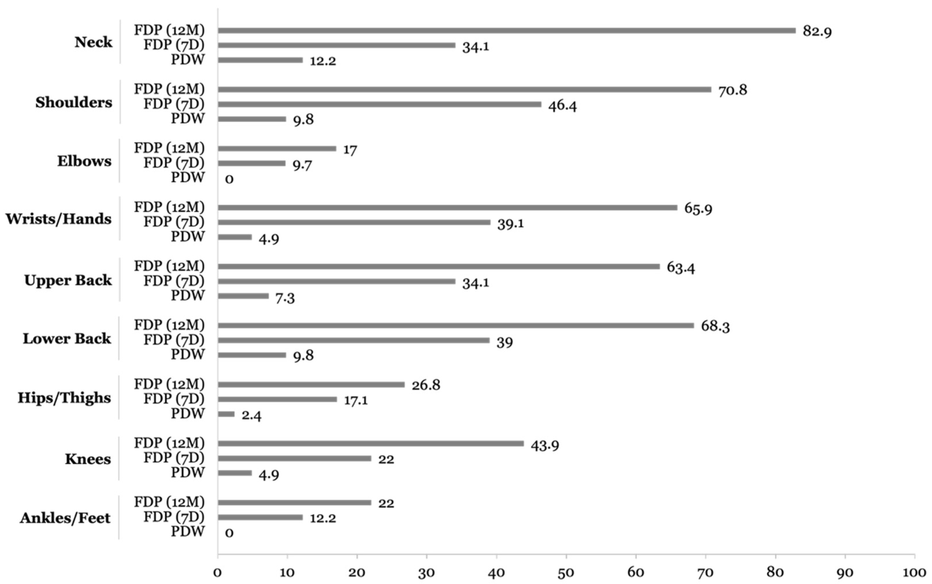
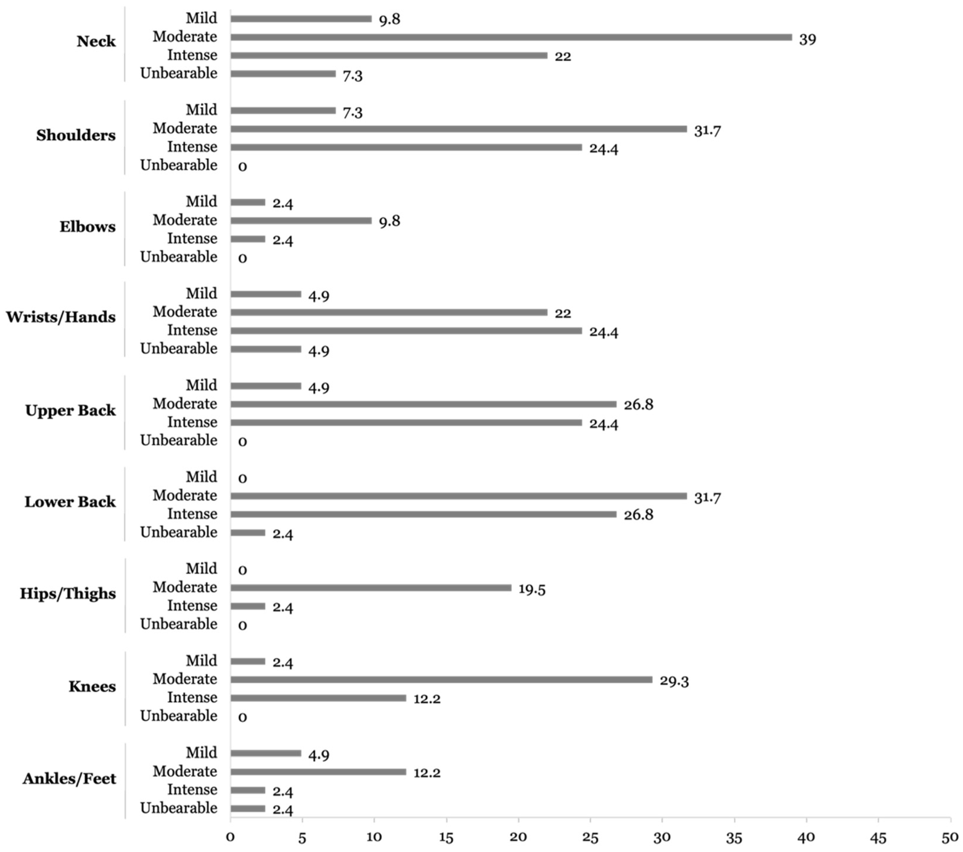
AI-Powered Computer Vision for Ergonomic Risk Assessment and ...
Table 1 from Deep Learning Computer Vision-Based Automated Localization ...
Republic Day program - Rajadhani Institute of Science & Technology
Student Algorithm Developer – Machine Learning & Computer Vision at ...
Gimana Sih AI Bisa Mengenali Wajahmu? Yuk Kenalan Sama Computer Vision ...
Foundations of Software Science and Computation Structures - (Lecture ...
Global Ergonomic Computer Monitor Stand Market Recent Trends, In-depth ...
Poster Making Competition - PRAVAHA - Rajadhani Institute of Science ...
Hybrid structure for enhancing robustness in optical diffractive neural ...
10 Deadliest Viruses Ever Discovered
Objective quantification of posterior capsule opacification after ...
Announcement of the workshop entitled: “Using intelligent technologies ...
Sequentially timed all-optical mapping photography with quantitative ...
A Unified Masked Jigsaw Puzzle Framework for Vision and Language Models ...
The Mathematics Department is holding discussions on the graduation ...
MS-DINO: Masked Self-Supervised Distributed Learning Using Vision ...
Introducing Chronos-2: From univariate to universal forecasting ...
ChatGPT useful for learning languages, but students' critical vision ...
Multimodality medical image fusion using directional total variation ...
Doctoral Thesis: Learning Possibilities: Stochastic Models for Vision ...
$125 Million in Combined Giving Establishes the Halıcıoğlu School of ...
Table 2 from Scene-Aware Urban Design: A Human-AI Recommendation ...
Does Wegovy carry a risk of 'eye stroke' and vision loss? Here's what ...
FingerEye bridges touch and vision to improve robot handling before and ...
Vision-Based Grasping Method for Prosthetic Hands via Geometry and ...
Figure 9 from Scene-Aware Urban Design: A Human-AI Recommendation ...
AI-Driven Healthcare Diagnostic Major Project Report (B.Tech CSE AI ML ...
The latest three episodes of GenIAle: new perspectives on collaborative ...
Figure 11 from Scene-Aware Urban Design: A Human-AI Recommendation ...
Figure 10 from Scene-Aware Urban Design: A Human-AI Recommendation ...
Figure 2 from Scene-Aware Urban Design: A Human-AI Recommendation ...
“Giving manufacturers confidence”: the power of ASICs in machine vision ...
AI vs Data Science: What’s the Real Difference? - Jeevi Academy
Figure 1 from SpatiO: Adaptive Test-Time Orchestration of Vision ...
Table 2 from ThinkJEPA: Empowering Latent World Models with Large ...
Table 1 from SpatiO: Adaptive Test-Time Orchestration of Vision ...
Figure 1 from Federated vision transformer with adaptive focal loss for ...
RealSense spins out from Intel, secures $50 million to drive AI vision ...
Figure 10 from SpatiO: Adaptive Test-Time Orchestration of Vision ...
Table 1 from Scene-Aware Urban Design: A Human-AI Recommendation ...
Improvement of Panoptic Segmentation Model Based on Path Aggregation ...
Figure 7 from Design and Fabrication of Grating Couplers for the ...
Amazon.com: IFWATER USB Camera 1080P High Speed 260fps 2.8-12mm 4X ...
Figure 3 from Design and Fabrication of Grating Couplers for the ...
Figure 4 from Design and Fabrication of Grating Couplers for the ...
Vision for the blind: Neuralink's brain implant gets FDA 'breakthrough ...