Showing 120 of 120on this page. Filters & sort apply to loaded results; URL updates for sharing.120 of 120 on this page
Amplificadores Operacionales Formulas | PDF
SOLUTION: Resumen de formulas de los amplificadores operacionales ...
MM 411 Uso de formulas operacionales - YouTube
FORMULAS PESQUISA OPERACIONAL TEORIA DE FILAS | PDF | Análise ...
Tipos y Fórmulas de Amplificadores Operacionales | PDF | Filtro ...
Formulas y funciones | PPSX
Amplificadores operacionales (página 2) - Monografias.com
Amplificadores Operacionales.... Deducion de Formulas | PDF | Hogar ...
Amplificadores Operacionales - Realimentación negativa - YouTube
Analisis basico con amplificadores operacionales | | UPV - YouTube
Amplificadores operacionales
Formulas para Operaciones Básicas en Excel - YouTube
A1. Infografía sobre Amplificadores Operacionales - Studocu
Formulas operaciones y ejercicios | PPT
Análisis de Amplificadores Operacionales - YouTube
Operations Formulas | PDF | Business Economics | Production And ...
OPEX: Qué Son los Gastos Operacionales y Ejemplos | Kaizen Lab
Amplificador No inversor - Amplificadores operacionales - Solución ...
Amplificadores Operacionales Ejercicio Resuelto - YouTube
Operations Management Formulas | PDF
Formulas Ranges and Functions Formulas perform operations such
Formulas Indicadores financieros - 1. Indicadores de liquidez La ...
Amplificador inversor - Amplificadores operacionales - Solución ingenieril
Excel Formulas Variables at Dominic Chumleigh blog
(PPTX) Formulas operadores y ejercicios - DOKUMEN.TIPS
Formulas DPO (Produccion y operaciones) - FÓRMULAS TEMA 1 𝑃𝑟𝑜𝑑𝑢𝑐𝑡𝑖𝑣𝑖𝑑𝑎𝑑 ...
Formulas operaciones y ejercicios | PPTX
3.2: Circuitos Amplificadores Operacionales - LibreTexts Español
Presupuesto de Gastos Operacionales - YouTube
Amplificadores Operacionales
Tema 02 Formulas Con Operadores Alumnos | PDF | Aritmética | Notación ...
03 Formulas Operadores | PDF
Formulas de Investigacion de Operaciones | PDF | Matemáticas Aplicadas ...
Resumen de Formulas para Gerencia de Operaciones - Studocu
Formulacion del presupuesto maestro presupuestos operacionales | PDF
Formulas CIRCUITOS 1 - II Unidad - Circuitos Electricos 1 ...
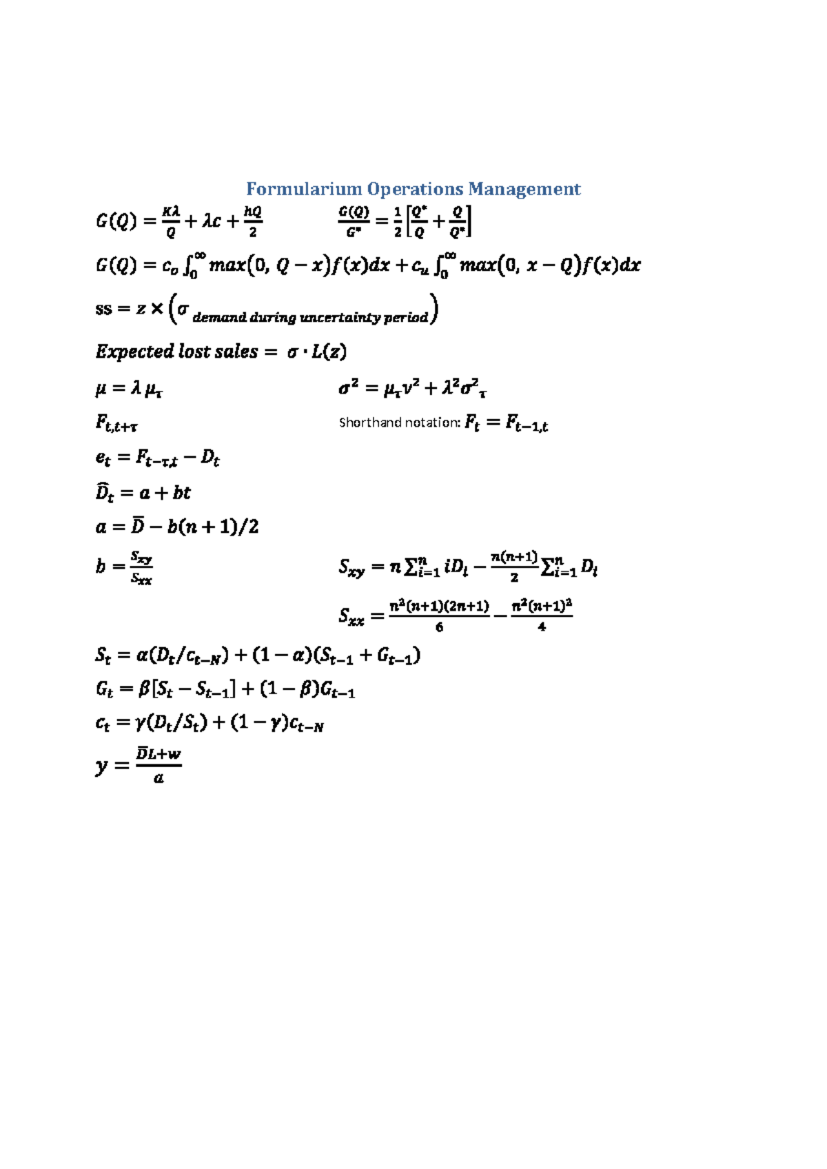
Formulas Tables - Dirección De Operaciones - Formularium Operations ...
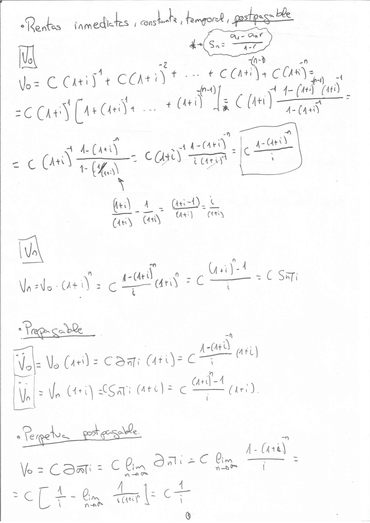
Demostracion de formulas de matematicas de las operaciones financieras ...
The 15 Basic Excel Formulas Everyone Needs to Know | DataCamp
Formulas para examenes - UADE – Programación Operativa Hoja oficial de ...
Formulas De Equacoes Matematicas De Algebra
Los amplificadores operacionales
PPT - TRABAJAR CON FORMULAS Y FUNCIONES Operadores aritméticos ...
OpAmp: Amplificadores Operacionales (Presentación Powerpoint) (página 2)
Formulario de Operaciones y Desarrollos Básicos | PDF | Exponenciación ...
Circuitos Amplificadores Símbolos De Circuitos De Amplificadores
Calcular límite: Guía paso a paso con ejemplos claros
Informática VI: Excel
Ejercicio de MARGEN OPERACIONAL de Utilidad con interpretación - YouTube
Operaciones Con Fórmulas y Funciones | PDF | Fórmula | Matemáticas
CÁLCULO DIFERENCIAL. Operaciones con Funciones Matemáticas (muchos ...
Amplificador Operacional Inversor Formula - Descargar Video
Ingresos operacionales: qué son, cómo se calculan, fórmula, ejemplos
Amplificador Operacional Inversor + Fórmula + Simulación (Proteus ...
Calcular el margen operacional, interpretación y ejercicio - YouTube
Aprende la fórmula para calcular 🔥 la utilidad operativa # ...
Circuito Integrador Amplificador Operacional Ejemplos - wadsteinstr29
AMP OP 】| Amplificador Operacional, Tipos y Configuraciones. 2021
Ejemplo de gastos de operación Cómo calcular, plantilla gratis【2025
Amplificadores operacionales. | PPTX
Amplificador Operacional: Fórmula para calcular voltaje de salida en un ...
Amplificadores Operacionales, Configuraciones Básicas – MICROCHIPOTLE
Amplificador de instrumentación / Amplificador Operacional - Ejercicio ...
Op Amp Equation Sheet at Cynthia Hewlett blog
PPT - Formulación teórica PowerPoint Presentation, free download - ID ...
función de transferencia de un amplificador operacional - YouTube
Margen operativo | Economipedia
Fórmulas Clave en Administración de Operaciones | PDF | Regresión ...
Operaciones Y Fórmulas Sencillas - OPERACIONES Y FÓRMULAS SENCILLAS ...
Expresiones Algebraicas y Leyes de Exponentes Fórmulas de Matemáticas ...
AMPLIFICADOR DIFERENCIAL CON OPERACIONAL - YouTube
Fórmulas Fundamentales - Operaciones Complejas v3 | PDF
PPT - EL AMPLIFICADOR OPERACIONAL PowerPoint Presentation, free ...
2. Apuntes - Amplificador operacional. El termino operacional de estos ...
Operacionalización de Variables - YouTube
TEOREMA DE LIMITES TEMA 1
Operadores y Fórmulas | Descargar gratis PDF | Aritmética | Matemática ...
Apunte de Excel | Signos para iniciar una fórmula o función (Signals to ...
Fórmulas de Reposición en Investigación Operativa | PDF
Fórmulas de Eficiencia Operativa | PDF | Gestión de Procesos de Negocio ...
Amplificador Operacional No Inversor Ejemplos - cita primaria
Análisis Financiero : INDICADORES DE RENTABILIDAD
Mecánica de fluidos: fórmulas y ecuaciones fundamentales » Mecanicos ...
formulas-operaciones.pdf
Ejemplo práctico del cálculo de las necesidades operativas de fondos ...
Integrales algebraicas. Fórmulas básicas para Integrar y Ejercicios 1-4 ...
🔴🟢TEORIA DE CONJUNTOS: Operaciones Básicas | Juliana la Profe - YouTube
Álgebra Lineal - Matriz Inversa | Álgebra, Matematicas universitarias ...
FORMULAS-DIRECCION-Y-CONTROL-DE-OPERACIONES.pdf
Modelo del amplificador operacional real
Excel
Finanzas para PyMES: Indicadores financieros para conocer tus ganancias ...
Amplificador Integrador y Amplificador Derivador - Análisis de ...
FUNCIONES Y FÓRMULAS DE OPERACIONES BÁSICAS EN EXCEL
Amplificador Operacional 6 - No Inversor - YouTube
Presupuesto operativo: Qué es y cómo elaborarlo I Sage Advice
SOLUTION: Amplificador operacional conceitos e fórmulas - Studypool
Actividades de operacion | PPTX
Margen de Utilidad Operativa: Fórmula y Ejemplo
Conversión de forma exponencial a logarítmica - YouTube
Ppt para expo de tesis de cuentos | PPTX
ElectroTutorial 353 Amplificador Sumador / Restador (04) Op-Amp - YouTube
Finanzas Operativas: Hoja de Fórmulas y Cálculos Clave - Studocu
Amplificador Operacional: Sumador no inversor y simulación. - YouTube
FORMULAS-EJEMPLOS (Operadores) | PDF | Matemática Elemental | Teoría de ...
PPT - Punto de equilibrio en la empresa PowerPoint Presentation, free ...
Fórmula de Euler - Algebra - Solución ingenieril