Showing 120 of 120on this page. Filters & sort apply to loaded results; URL updates for sharing.120 of 120 on this page
Numerical Methods Class Notes | PDF
Complete Numerical Methods Class (Learn Everything in One Video!)#gate ...
Numerical Methods Class 1 - It is equal to Best estimate – next best ...
SOLUTION: Numerical methods class notes a to z - Studypool
Book Premium Course | Numerical Methods | MATLAB Helper
The Numerical Method class description with instances. | Download ...
Numerical Methods Course by Judd - Kenneth L. Judd
Numerical Methods - NUMERICAL METHODS FOR CE MODULE 1: REVIEW OF ...
Adamjee Coaching: Introduction to Numerical Methods - Mathematics ...
Mathematical Analysis Of Numerical Methods at Victor Fox blog
Numerical Methods - Exam Questions | PDF
Introduction to Numerical Methods Course | @MATLABHelper ® - YouTube
Numerical-Methods-BIT203 - Numerical Methods Course Title: Numerical ...
SOLUTION: Numerical methods course overview - Studypool
Numerical Methods Lecture Notes - Course Code: NUM101 - Studocu
PPT - Numerical Methods PowerPoint Presentation, free download - ID:4637071
Course: Numerical Methods
2) Numerical Methods Notes/Summary - Numerical Methods Notes 1 ...
Mathematics 1 assignment on Basic Numerical Methods - Basic Numerical ...
Numerical Methods Some example applications in C Introduction
Lecture 1: Introduction to numerical methods - YouTube
PPT - Numerical Methods PowerPoint Presentation, free download - ID:5621241
Numerical Methods For Engineers (6 Edition) | PDF
Numerical Methods Course Notes | PDF | Numerical Analysis | Equations
Introduction to Numerical Methods in Engineering: Course | Course Hero
Numerical methods course project report | PDF
General classification of numerical methods [5] | Download Scientific ...
MADX 07 Course Plan: Numerical Methods & Outcomes Overview - Studocu
PPT - Introduction to Numerical Methods I PowerPoint Presentation, free ...
Numerical Methods Course Summary - Numerical Methods Chapter 1 ...
SOLUTION: Numerical methods complete lecture notes and sample problems ...
Numerical Methods Syllabus Overview | PDF | Equations | Finite Difference
Numerical Methods - NUMERICAL METHODS Numerical methods refer to a set ...
M2 Chapter 7 - Numerical Methods - CHAPTER 7 Numerical Methods In the ...
Numerical Methods Made Easy – Full Course (Part 1) - YouTube
Numerical Methods for Engineers 6th Edition Chapra Solutions Manual | PDF
Numerical Methods Course Syllabus | PDF | Equations | Interpolation
SOLUTION: Numerical methods in matlab - Studypool
Course Materials Numerical Methods - NATIONAL INSTITUTE OF TECHNOLOGY ...
Numerical Methods Course Outline - Weekend | PDF
Basic Numerical Methods | Universitas Muhammadiyah Surakarta
Mod-01 Lec-01 Introduction to Numerical Methods - YouTube
Summary Of Numerical Methods at Alyssa Massy-greene blog
SOLUTION: Numerical methods handwritten notes - Studypool
[PDF] Numerical Methods by Rajesh Kumar Gupta | 9781108716000 ...
Numerical Methods Course 2016 BAC II ESI-1 | PDF | Numerical Analysis ...
MATH-352 Numerical Methods Course Overview | PDF | Numerical Analysis ...
Numerical Methods Lecture 6 - YouTube
MATH2130 Numerical Methods Course Manual 2025 - Study Notes - Studocu
3 - Numerical methods - Studocu
Buy Numerical Methods for Engineers (CIVIL ENGINEERING) Book Online at ...
Course: Numerical Methods - Part 1
Numerical Methods - Mathematics - Notes - Teachmint
Testing Numerical Methods at Kaitlyn Fitzhardinge blog
Numerical Methods In A-Level Mathematics | Studywell.com
GitHub - talleyp/NumericalMethods: Homework from numerical methods class.
(PDF) A Numerical Methods Course Based on B-Learning
SOLUTION: Unit 4 numerical methods 1 - Studypool
Numerical Methods for Engineers 7th Edition Chapra Solutions Manual | PDF
SOLUTION: Engineering mathmatics numerical methods - Studypool
Numerical methods for Maths A-level | Teaching Resources
Numerical Methods for Engineers (Course Code: MA101) - Lecture Notes ...
Numerical Methods Algorithm and C Program | PPT
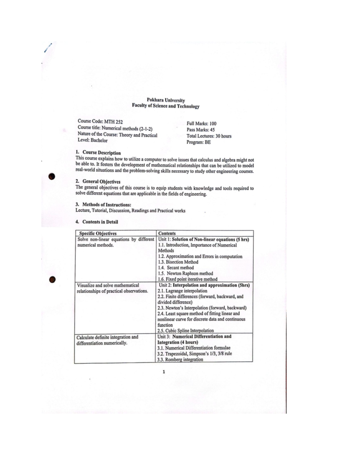
Numerical Methods Syllabus MTH 252 - BE 1 Course Overview - Studocu
Secondary numerical methods resources
Numerical Methods - PDFCOFFEE.COM
Brilliant Numerical Methods Notes: (IOE 2080 Syllabus + Python Labs)
Lect 8 - numerical analysis - Numerical Methods for Engineers Lecture 8 ...
Numerical Methods by Exams - Civil engineering - Studocu
Numerical Methods Course: Algorithms for Mathematical Problem | Course Hero
Numerical Methods Course Syllabus - BEG370C0
Module I Basic Concepts of Numerical Methods - MODULE I BASIC CONCEPTS ...
SOLUTION: Numerical methods / Numerical Analysis Chapter wise Mcqs ...
Applications of numerical methods in civil engineering | PPTX
Numerical Methods for Engineers | Coursera
Numerical methods I - NUMERICAL METHODS I Introduction: Most of the ...
Numerical Methods Course Notes | PDF | Matrix (Mathematics) | Interpolation
T1 Numerical - 2023T1 MATH2089 – Numerical Methods Lectures Frances Kuo ...
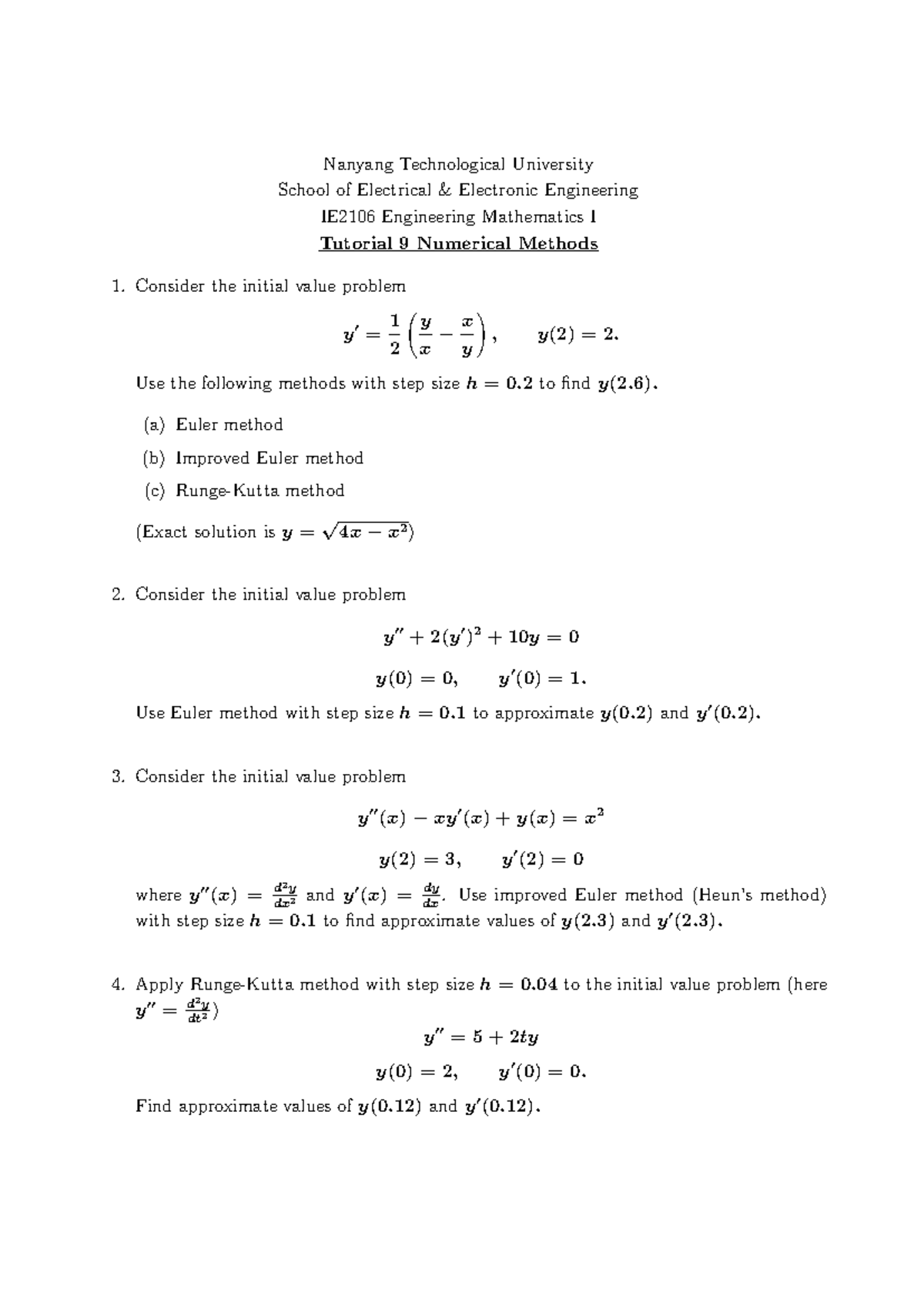
IE2106 Engineering Mathematics I Tutorial 9: Numerical Methods - Studocu
Numerical Analysis Cheat Sheet at Isabel Baldwin blog
Numerical Analysis
Introduction to Numerical Analysis
Numerical Methods: Course Outline | PDF
Introduction To Numerical Methods: 1.1 A Problem and Its Solution ...
LECTURE - 1a - Numerical Method | PDF | Numerical Analysis | Interpolation
Highway Drainage Numerical Analysis - Course Code: J8E 9Yy - Studocu
PPT - Numerical Analysis PowerPoint Presentation, free download - ID ...
Analytical Method In Numerical Analysis at David Carstens blog
Numerical- Analysis- Notes - NUMERICAL ANALYSIS deals with approximate ...
NUMERICAL METHODS🔥 || Engineering Mathematics Crash Course #gate2026 ...
Understanding Numerical Methods: Course Overview and Objectives ...
Part Six Introduction to Numerical Analysis - CHAPTER 6 NUMERICAL ...
MATH-351- Numerical Methods- Course Outline - NATIONAL UNIVERSITY OF ...
(PDF) Numerical Methods: An Online Course
hqdefault.jpg?sqp=-oaymwEWCKgBEF5IWvKriqkDCQgBFQAAiEIYAQ==&rs ...
GitHub - shanthanu9/Numerical-Methods: Collection of algorithms ...
1. Introduction(NM_numerical_methods.pdf
MAK202E_Numerical_Methods_formula-sheet-v3-20230606(ATÇ) | PDF ...