Showing 120 of 120on this page. Filters & sort apply to loaded results; URL updates for sharing.120 of 120 on this page
Understanding the Not Operator in C: A Beginner's Guide - [Updated ...
Grid Operator Not Required to Connect Data Center to Overloaded Power ...
‘We’re not trying to blend in’ operator of Patty Shack and Todo Tacos ...
Understanding the Not Operator in Python: Truth Table, Examples ...
Solved Find the standard matrix for the matrix operator | Chegg.com
Logical Not Operator Work at Karla Trent blog
Logical NOT - Boolean operator
Solved Give an example of an operator whose matrix with | Chegg.com
quantum mechanics - Momentum operator matrix element in position basis ...
Understanding the Not Operator in CPP: A Quick Guide
Solved Let V=Rn,T a unitary operator on V and A be matrix | Chegg.com
How to display a full operator matrix with Qiskit? - Quantum Computing ...
9 - Logical NOT Operator | Logical Operators | Python Coding - YouTube
Logical NOT () Operator in C - The Tech Thunder
Completing an Operator Matrix and the Free Joint Numerical Radius ...
Solved B. You are given an operator (a matrix or | Chegg.com
A : 1) Does the real operator with matrix | Chegg.com
The DM-matrix in uncertainty for operator O 1 (subjective matrix ...
Solved 15 Give an example of an operator whose matrix with | Chegg.com
Solved What is the matrix of the linear operator that maps | Chegg.com
Matrix operator norm - YouTube
Solved the matrix representation 𝐴 of a linear operator 𝑇: | Chegg.com
(a) The matrix of an operator M in the orthonormal basis {∣1>∣,2>}iswritt..
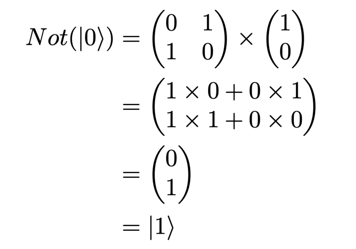
Notations and corresponding matrices for basic quantum gates. a NOT ...
Equation Matrix No Operators 3×4 Grid Graphic by Marina Art Design ...
Basic quantum gates and their matrix representations. | Download ...
textbook and exercises - Why is an operator unitary if and only if its ...
operators - How to determine where the matrix elements go for the ...
Texas lawmaker blasts operators of Camp Mystic "Y'all are not ready to ...
12-yr-old injured as zipline snaps in Manali; minister says operator ...
Fact Check: Video Does NOT Document Real $350,000 Lawsuit Against Crane ...
Higher education in the AI era should train not operators, but leaders ...
Memorandum Submitted Against Private Bus Operators For Not Giving Fare ...
Mastering The Matlab Colon Operator Made Easy
Logical NOT Operators | Java Programming Language | Java - YouTube
Matrix geometric means
Color Controlled-NOT gate decomposition and its matrix representation ...
Equation Matrix No Operators 4×4 Grid Graphic by Marina Art Design ...
Solved Problem 5: Matrix representation of the ladder | Chegg.com
NOT and C-NOT quantum gates
Logical operators (gate) symbols (AND OR NOT NAND NOR XOR XNOR) in ...
The OR Gate| AND Gate| NOT Gate| Logical Operators Explained in detail ...
QUANTUM PHYSICS LECTURE 5 OPERATOR AND SCHRODINGERS EQUATION
Google AlphaEvolve AI Discovers New Algorithm For Matrix Multiplication ...
Understanding NOT Operator.... - YouTube
How to Fix 'no match for operator*= Error in C++ Matrix Class? - YouTube
functional analysis - Proof explanation related to the operator ...
(PDF) The operator $(p, q)$-norm of some matrices
Linear Vector Space and Matrix Mechanics - ppt download
Logical Operators: AND, OR, NOT - Datatas
Comparison Relational Operators Symbol 1 Operator Equal To
Matrix defined by the circuit of Fig. 6 | Download Scientific Diagram
Quantum Computation-Based Image Representation, Processing Operations ...
PPT - Dirac Notation and Spectral decomposition PowerPoint Presentation ...
PPT - Quantum Computation and Quantum Information – Lecture 3 ...
PPT - Combinational Logic 1 PowerPoint Presentation, free download - ID ...
Python Logical Operators - GeeksforGeeks
PPT - 22C:19 Discrete Structures Introduction and Scope: Propositions ...
Introduction to Bitwise Algorithms - Data Structures and Algorithms ...
Logic gates and circuits | PPTX
'And', 'Or', and 'Not' Operators with Examples
PPT - Quantum Mechanics for Quantum Information & Computation ...
The Shifting Paradigm of Quantum Computing - ppt download
Matlab Training Session 3: Control and Flow - ppt download
PPT - MatLab – Chapman S3.3-4, Part 1 Relational Operators, Logical ...
Chapter 2 Mathematical Tools of Quantum Mechanics Hilbert
PPT - From Quantum Gates to Quantum Learning: recent research and open ...
PPT - CS 150 Computer Organization & Architecture PowerPoint ...
Simplified Guide to Logical Operators in C Programming - ClassNotes4U
PPT - Java Bitwise Operators Quick Guide PowerPoint Presentation, free ...
Introduction to logic gate | PPT
Binary Quantum Gates at Thomas Castro blog
PPT - Logical Operators in Programming PowerPoint Presentation, free ...
Logic Gates and Number System - Learn Definition, Examples and Uses
C++23 Multidimensional operator[] — Why matrix[x, y] Finally Works | by ...
Texas lawmaker blasts Camp Mystic operators in Tuesday hearing "Y'all ...
PPT - Boolean algebra PowerPoint Presentation, free download - ID:5232616
PPT - Chapter 2: PowerPoint Presentation, free download - ID:4817137
Learn C#: Learn C#: Logic Cheatsheet | Codecademy
(PDF) Generalized "Square roots of Not" matrices, their application to ...
Logical expressions simplify a logic circuit expression using Boolean
SOLVED: Quantum Mechanics I: Diagonalize the Sx and Sy operators in the ...
boolean algebra for logic circuits and switching | PDF
PPT - Digital Logic Tutorial and Design electronicsteacher PowerPoint ...
PPT - Quantum Computer Compilers PowerPoint Presentation, free download ...
Understanding Logical Operators In C Programming – peerdh.com
Overview of quantum computing | MinneQuantum
Databases. - ppt download
Chapter 4 Conditionals. - ppt download
PPT - Quantum Computing PowerPoint Presentation, free download - ID:1310450
Bipolar Quantum Logic Gates and Quantum Cellular Combinatorics—A ...
Question 3 suppose we have two operators on c given in the 0...
Chapter 3: Selection Structures: Making Decisions - ppt download
QUANTUM COMPUTING - Blockchain, Big Data and Machine Learning: Trends ...
Programming Languages and Compilers for Quantum Computers - ppt download
unitarity - What is the general formula for unitary rotations in terms ...
quantum mechanics - Can any pair of operators $(a,a^*)$ defined as such ...
An Introduction to Quantum Computing - HubPages
PPT - Quantum Computing PowerPoint Presentation, free download - ID:5197201
Logic gates ,flip flop ,registers and | PPTX
Computer Programming Basics - ppt download
GitHub - singhdivyank/Quantum: Qiskit implementation of Quantum ...
CHAPTER 13: Quantum cryptography - ppt download
Java Operators - Types and Usage Explained
QUESTION 4:Two linear operators (matrices) are given | Chegg.com
Boolean Logic In todays lesson we will look
Truth Tables of the Logical Operators/Connectives (NOT, AND, OR, XOR ...
Chapter 5( programming) answer | PPT