Showing 105 of 105on this page. Filters & sort apply to loaded results; URL updates for sharing.105 of 105 on this page
Exploring causality from observational data: An example assessing ...
Bayesian Non-parametric Causal Inference — PyMC example gallery
An example of causality enforcement. Blue -the original non causal ...
PPT - Economics 105: Statistics PowerPoint Presentation, free download ...
PPT - What is Theory? PowerPoint Presentation, free download - ID:6695839
PPT - Relationships Between Two Variables: Cross-Tabulation PowerPoint ...
PPT - III. Research Design Part I: Experimental Designs PowerPoint ...
PPT - Chapter 6 PowerPoint Presentation, free download - ID:747489
PPT - APPLIED DATA ANALYSIS IN CRIMINAL JUSTICE PowerPoint Presentation ...
PPT - Geography 237 Geographic Research: Methods and Issues PowerPoint ...
PPT - Specifying a Research Question PowerPoint Presentation, free ...
PPT - Research Questions, Paradigms & the “Language” of Variables ...
PPT - Exploring Theory and Research in Social Science: Key Concepts and ...
Stages in the Sociological Research Process
Three kinds of evidence to establish causality
PPT - Crime's Impact on Democracy: Analyzing Citizen Support Through ...
Association & Causation in biostatistics and research methodology | PPTX
Marketing research notes 6 - non-spurious association one of three ...
QUANTITATIVE RESEARCH DESIGN AND METHODS.ppt
Unraveling Causality: Innovations in Epidemiologic Methods | JMA Journal
An illustration of the effect difference between causality (solid ...
Chapter Two. - ppt download
Applied Causal Inference - 1 Introduction to Causality
PowerPoint Lecture 1: Introduction
Causal inference: An introduction on how to separate causal effects ...
3 Illustration of causality and noncausality of impulse responses ...
Overview of evidence included: arrows indicate direction of causality ...
[Notes] A Crash Course in Causality, Week 2 | by Joanna | Geek Culture ...
Using Causal Diagrams to Improve the Design and Interpretation of ...
Causality in statistics and data science education - PMC
Causality Analysis with Different Probabilistic Distributions Using ...
PPT - Analysis of Interaction Effects PowerPoint Presentation, free ...
Chapter 2 sociologists doing research | PPT
PPT - Spurious Relationship PowerPoint Presentation, free download - ID ...
Comprehensive Guide to Research Methodology – Design | Methods | Best ...
Confounding Variable and Spurious Correlation: Key Challenge in Making ...
PPT - Epidemiology of Non-Communicable Diseases PowerPoint Presentation ...
Research Methods quizzes Flashcards | Quizlet
Choice pictures for physical causality, non-causality, and social ...
Causality in Practice: How Frequency Sampling and Bandwidth Shape Time ...
Basic Concepts – Research Methods in Psychology
Association and causation | PPT
Methods for Evaluating Causality in Observational Studies: Part 27 of a ...
Presentation, data and programs at: - ppt download
16 Causal and non causal signal examples | Download Scientific Diagram
Combining multiple functional connectivity methods to improve causal ...
Frontiers | Biological Relativity Requires Circular Causality but Not ...
Simplified model of the causal and spurious relationships between the ...
Introduction to Causal Inference with Machine Learning in Python
Observational Causal Inference with Machine Learning
Understanding Causation and Spuriousness: Exploring Correlation ...
Causal Inference Tools for Pharmacovigilance: Using Causal Graphs to ...
Hands-on Causal Effect Estimation with Python | by Kenneth Styppa ...
Unraveling Causality: Innovations in Epidemiologic Methods - PMC
Causal Confirmation Measures: From Simpson’s Paradox to COVID-19
R for Non-Programmers: A Guide for Social Scientists - 10 Correlations
Statistical Causality - ppt download
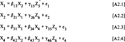
Sage Research Methods - Nonrecursive Causal Models
Consilience in Causation: Causal Emergence Is Found Across Measures of ...
Causation or only correlation? Application of causal inference graphs ...
Direction of causalities between the explained and the explanatory ...
On Spurious Causality, CO2, and Global Temperature
Understanding Causality: Four Tutorials for Practising Human Scientists
(a) Causal diagram for generating a pseudo-dataset used to explain ...
Causality论文泛读1:A Causal Framework for Decomposing Spurious Variations - 知乎
Spurious Correlation Explained With Examples Psychologenie
Illustration of three typical issues of non-causality recommendation ...
Unseriousness Diagram - Studies towards hosted classical and Attending ...
Causal Inference in Public Health - PMC
Breaking the Spurious Link: How Causal Models Fix Offline RL’s ...
types of hypothesis diagrams Flashcards | Quizlet
Figure 1 from Unifying Invariance and Spuriousity for Graph Out-of ...
Power of the test of the hypothesis of non-causality in the direction ...
Causal inference and the metaphysics of causation | Synthese | Springer ...
Influence diagram considered in the application (Non-causal) | Download ...