Showing 89 of 89on this page. Filters & sort apply to loaded results; URL updates for sharing.89 of 89 on this page
(PDF) A Solution to the Next Release Problem by Swarm Intelligence
Creating the Next Generation of Problem Solvers Webinar - YouTube
Inspiring Our Next Generation of Problem Solvers | PPTX
Find The Next Number In The Sequence | Math Problem - YouTube
The next problem is about Eunsong, Hayoung and Eunhyuk | Unpredictable ...
Leetcode Populating Next Right Pointers in Each Node problem solution ...
Year 2 Add To The Next 10 Reasoning And Problem Solving 2 Resource ...
Find The Next Number In the Given Series | Sequence Problem | Math ...
The Next Y2K: Year 2038 Problem | credibleDEV
Research Problem Examples to Inspire Your Next Study
Problem life on next problem come - YouTube
Next problem is here🫠 : r/KTM
Jio Phone Next Network Problem | Jio Phone Next Network Problem ...
15+ Realistic Problem Statements for your next Product Design Case ...
Friday After Next Problem - YouTube
(PDF) Global Environmental Air Pollution, a Problem for the Next Generation
Next trolley problem : r/mathmemes
🗓️ Next Permutation | GFG Problem of the Day - 19th November 2024 🔢 ...
Real Madrid’s Next Problem 💀👽 - YouTube
DBDs GO NEXT PROBLEM WILL NEVER GET FIXED?!?! - YouTube
Next Pathway Hack Backpackers Problem Statement | PDF | Xml | Java Script
The Real Problem With the Next Generation | Advisorpedia
(PDF) Next generation mobile networks: Problem or opportunity for ...
A problem statement for my next few articles on System Design and Cloud ...
(PPT) 1 Lec 2: Problem solving, conservation of mass. 2 For next time ...
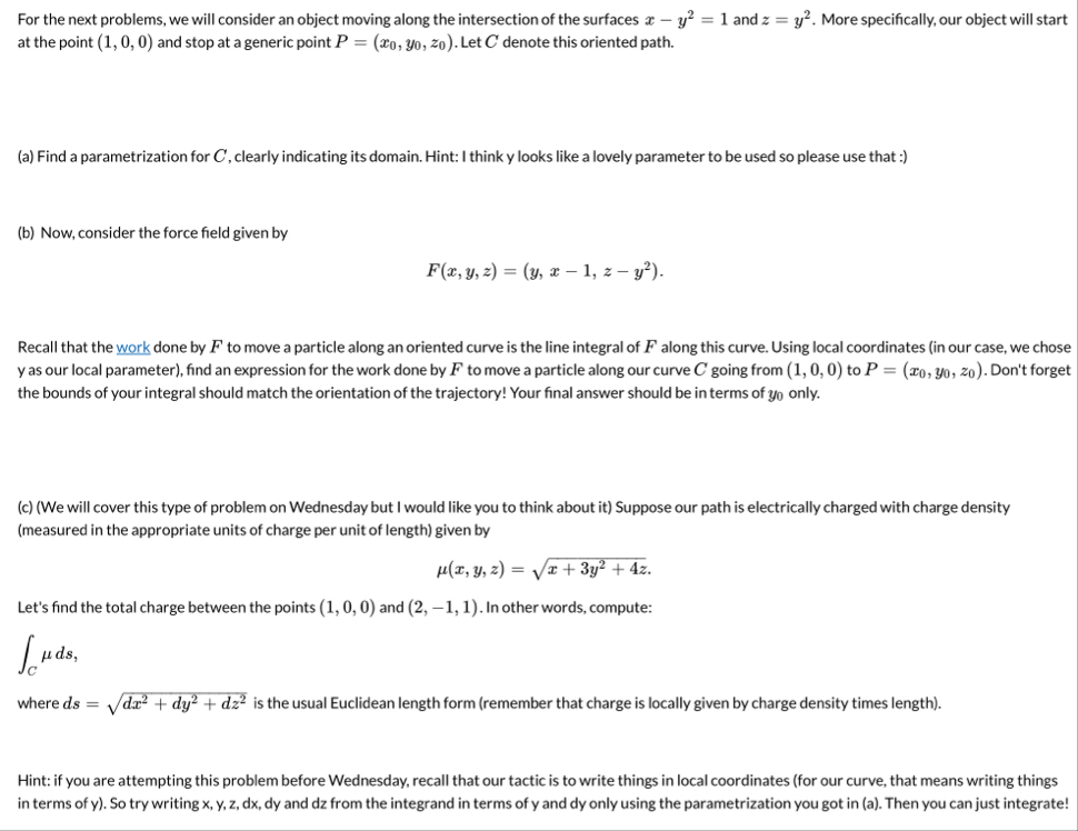
Solved For the next problems, we will consider an object | Chegg.com
Problem Solving Steps Worksheets - Etsy | Skills to learn, Critical ...
Solved Find the convolution of the next problems, please | Chegg.com
(PDF) The extended next release problem. Generic Formulation of the ...
Essential Problem Solving Techniques Every Back End Developer Must Know ...
Solved For the next 5 problems, suppose in a random sample | Chegg.com
Solved Background for the next problems: It is important to | Chegg.com
What To Do Next? Real-Life Problem Solving Scenario Slides | Google Slides
Advancing Namibia: Proactively Navigating the Next Decade with Next ...
Quantum Leap Forward: The Next Era of Problem-Solving - 1Ansah Technologies
Global Problems And The Next Best Solution
What Is A Problem Environmental at Hunter Lilley blog
LeetCode Problems for your next DS interview (Part 1) | by Roshmita Dey ...
Engineering Project Helper: From Problem to Solution
Next | Problems - YouTube
How Robotics is Solving Real-World Problems: Empowering the Next ...
How ERP Is Overcoming Problems in 2025 – And What is Next in Microsoft ...
You are ready Just find the next big problem! - YouTube
What's Next: We Have A Problem - YouTube
Math Problem | DailyMaffs
Next - Problems - YouTube
6,000+ Free Environmental Problems & Environmental Protection Images ...
How To Identify Problems In Your Processes
Choosing Your Problems > National Defense University Press > Article
10 Hard Math Problems With Answers That Will Challenge Even the ...
environmental challenges 2025 Archives - Eco-Friendly Living
Two-Step Addition and Subtraction Word Problems for Grade 1-2 Math
How to Solve Physics Problems Like an Expert: Student Guide | ++tutors
Two-Step Word Problems for Kids: Addition and Subtraction Practice
Hardest match problem: 7 of the hardest problems in maths that have ...
Solved Given R1=3Ω,R2=15Ω,R3=12Ω, and L =1H, for the circuit | Chegg.com
Twitter: Why is ‘sounds like a 2023 problem’ trending on Twitter? Memes ...
Top Business Problems to Solve in 2025 | Blog
Troubleshooting Next.js Build Errors Quick Solutions to Common Problems ...
Environmental Issues
Top 8 Probability Problems with Solutions for 2026
The 10 Biggest Environmental Problems of 2025 and What We Can Do About ...
What Are The Biggest Environmental Problems? - Sigma Earth
Hotel Chain Deluxe Company Profile Powerpoint Template and Google ...
1. Global Risks 2023: Today’s Crisis - Global Risks Report 2023 | World ...
AI problems: 9 common challenges and solutions (Updated 2026 ...
How Algorithms Are Solving Real-World Problems in Business
Hello coders, | Dinesh J
Global Issues - World Issues - Index - Issues - GENI - Global Energy ...
Dynamic Problems: The E-Book – Solve Life's Toughest Situations
Addition and Subtraction Word Problems to 10 for First Grade Math
Addition and Subtraction Word Problems for First Grade Math
Solucionario Mecácnica Clásica Goldstein | PDF
16 Biggest Environmental Problems of 2026 | Earth.Org
Solved 1. Resuelve los siguientes Problemas de Valor Inicial | Chegg.com
Meta AI: The Core Principles, Progressions, and Problems of Mark ...
(Solved) - ARCS & ANGLES RELAY PUZZLE Directions: Follow the arrows to ...
First Grade Subtraction Word Problems for Math Story Practice
Addressing Various Problems Limiting User Experience Summary PDF
First Grade Math Word Problems for Real-Life Addition & Subtraction
Bone Spurs In Foot Symptoms
Lecture 5 - Agent communication | PDF
A2Zworksheets:Worksheet of Subtraction Word Problems - 04-Subtraction-Maths
Solved HeffectiveUser mvzuser=mvpz8key TWAL | Chegg.com
A2Zworksheets:Worksheet of Addition Word Problems - 01-Addition-Maths