Showing 120 of 120on this page. Filters & sort apply to loaded results; URL updates for sharing.120 of 120 on this page
Newton Raphson Method Two Variables || Engineering Mathematics - YouTube
Newton raphson method for two variables - YouTube
Newton raphson method for multiple variables - leryfishing
perform two iterations of the multivariate newton raphson method to ...
Two variable Newton Raphson method using MATLAB - YouTube
Solved Question 2: Newton method for two variables Solve the | Chegg.com
Newton raphson method for multiple variables - tasteweather
Two Variable Newton Raphson — Numerical and Machine Learning Methods ...
Newton raphson method for multiple variables - journalshery
Newton Raphson method for load flow analysis
Newton Raphson Method | PPT
Newton - Raphson Method - MATH MINDS ACADEMY
Raphson Newton Basic Steps For Iterative Solution Based On
Numerical Method: Newton Raphson Method for the solution of non-linear ...
Newton Raphson method for load flow analysis | PPT
Newton Raphson Method -Unconstrained Problems
Slide (7) Newton Raphson 2 | PDF | Applied Mathematics | Mathematical ...
Newton Raphson Method: Multiple Variables, Jacobian - YouTube
Newton Raphson Method.pptx
Newton Raphson Method - GeeksforGeeks
Newton Raphson Method | PPTX
newton raphson method
Newton Raphson pptx | PPTX
Newton raphson method | PPTX
Newton Raphson iterative Method | PDF
newton raphson method | PPTX
Newton Raphson Method | PDF
Newton Raphson Method in MATLAB
Newton Raphson Method Explained with Examples | Numerical Methods ...
Advantages and Disadvantages of Newton Raphson (NR) Method
Newton Raphson Variable | PDF | Mathematical Problem Solving ...
What is Newton Raphson Method? - Procedure & Flowchart - Circuit Globe
newton raphson method | PPTX | Physics | Science
Metodo de Newton Raphson Multi Variable | PDF
Newton Raphson iterative Method | PDF | Physics | Science
Newton Raphson Method
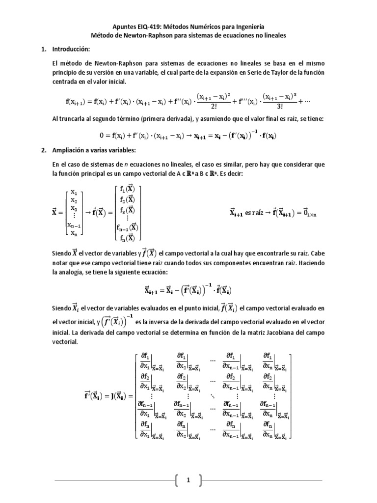
Apuntes Newton-Raphson en Varias Variables | PDF | Vector Euclidiano ...
Solved 8. The Newton-Raphson method for two unknown | Chegg.com
Solved: The equation x^2-5x-1=0 has two roots. For this equation, the ...
Newton’s Raphson method
Lecture -- Newton's Method for Multiple Variables - YouTube
Perform just two iterations to solve the following | Chegg.com
Solved -8. The Newton-Raphson method for two unknown | Chegg.com
ROOTS OF NON LINEAR FUNCTION (BISECTION AND NEWTON RAPHSON).pptx
Solved Do two iterations of the Newton-Raphson method with | Chegg.com
Multivariable Newton-Raphson method for solving two non-linear ...
5-8. The Newton-Raphson method for two unknown | Chegg.com
Guía 4: Método de Newton-Raphson en Varias Variables - Aplicaciones ...
Part 3 Chapter 12 Iterative Methods - ppt download
PPT - Linear Methods for Classification PowerPoint Presentation, free ...
The Newton-Raphson method. | Download Scientific Diagram
Newton-Raphson Method | PPT
PPT - The Islamic University of Gaza Faculty of Engineering Civil ...
PPT - Polynomial Approximation PowerPoint Presentation, free download ...
PPT - Static Analysis: Newton-Raphson Equations PowerPoint Presentation ...
PPT - Lecture: Explicit vs. Implicit - Residual, Stability, Relaxation ...
PPT - Iterative Methods in Linear Algebra: Gauss-Seidel and Jacobi ...
PPT - Polynomial Approximation PowerPoint Presentation - ID:160040
Solved Use Newton-Raphson for Nonlinear with Jacobi Matrix | Chegg.com
Exp 2 Newton-Raphson Method | PDF
PPT - Solving a Nonlinear System PowerPoint Presentation, free download ...
Solution of A Set of Nonlinear Equations by Newton-Raphson Method | PDF ...
(Solved) - Perform 2 steps of the Newton-Raphson method for non-linear ...
Newton-Raphson Method for solving nonlinear equation system and ...
Newton-Raphson Method - Examples with Answers - Neurochispas
GitHub - Raviv140/Newton-Raphson-method-2-variables-in-Python: An ...
Solved Develop the Newton-Raphson Method to solve a system | Chegg.com
(PDF) Acceleration of Newton-Raphson's Method Using Logarithmic ...
Solved Use the multiple-equation Newton-Raphson method to | Chegg.com
Newton-Raphson Method - Numerical methods
Newton-Raphson Method for Nonlinear Systems of Equations - Lesson ...
PPT - Newton-Raphson Method PowerPoint Presentation, free download - ID ...
Newton-Raphson Method – curiosityFluids
Newton-Raphson Technique
Newton-Raphson Formula And Derivation | Part 1 of 2 - YouTube
(PDF) Numerical Methods Newton-Raphson Example
PPT - Roots of Equations PowerPoint Presentation, free download - ID ...
Solved 1. Set up the multivariable Newton-Raphson problem | Chegg.com
PPT - Multivariate survival analysis PowerPoint Presentation, free ...
Newton-Raphson Method: Nonlinear Equations & Circuit Analysis
LECTURE 4 OF SOLUTIONS OF NON-LINEAR EQUATIONS OBJECTIVES - ppt download
Método Newton-Raphson Multivariable | PDF | Ecuaciones | Variable ...
Solved Explain the multiple-variable Newton-Raphson method | Chegg.com
Schematic of the Newton-Raphson scheme where x represents the ...
3.2. Método de Newton-Raphson — Calculo en una variable
APSA LEC 9 | PDF
Aprende el método Newton-Raphson - Ejercicios resueltos
Numerical Analysis Newton's Method at Anthony Griggs blog
Problem 2: Newton-Raphson Method Develop a MATLAB function named ...
Multiple Choice Questions - Numerical Methods | PDF
The Newton-Raphson Method(NEW!!)| ExamSolutions - YouTube
Newton-Raphson method
roomspok - Blog
SOLVED: Newton-Raphson MATLAB Use MATLAB functions but do not use ...
Two-Dimensional Newton-Raphson - YouTube
1 Cubic Equation 2 Newton-Raphson Method
PPT - Introduction to Numerical Analysis PowerPoint Presentation, free ...
Newton-Raphson • The Newton-Raphson method then | Chegg.com
Fractional Newton-Raphson Method and Some Variants for the Solution of ...
SOLVED:Q4) Solve the following non-linear system using Newton-Raphson ...