Showing 119 of 119on this page. Filters & sort apply to loaded results; URL updates for sharing.119 of 119 on this page
pmusic - Pseudospectrum using MUSIC algorithm - MATLAB
matlab - MUSIC Algorithm for Direction of Arrival (DOA) in Acoustic ...
1D Damped MUSIC (DMUSIC) Algorithm - File Exchange - MATLAB Central
Music Recognition Algorithm in Matlab - YouTube
MUSIC algorithm ghost target in Matlab Radar Simulation Demo - MATLAB ...
2D-MUSIC algorithm for range-azimuth mapping in MATLAB - Stack Overflow
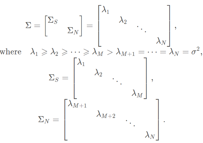
MUSIC algorithm Several variants of MUSIC method have been proposed to ...
The flow chart shows the MUSIC algorithm step-by-step. | Download ...
MUSIC Algorithm Flowchart | Download Scientific Diagram
Extract Voices from Music Signal - MATLAB & Simulink
Sound Visualization Algorithm in MATLAB : 7 Steps - Instructables
MUSIC algorithm carried out in the paper for detecting and separating ...
Different music in Matlab - YouTube
musicdoa - Estimate arrival directions of signals using MUSIC - MATLAB
Steps in MUSIC and GSU based MUSIC algorithm MUSIC [1] is a technique ...
Simulation of MUSIC (DOA ESTIMATION) - GUI - File Exchange - MATLAB Central
GitHub - tagbrit/DOA-MUSIC: MATLAB implementation of the MUSIC ...
Simple Music in MATLAB
MatLab Music Function - YouTube
(PDF) Using the Matlab Software for Music Arranger and Creation
GitHub - MattiStenroos/trapmusic_matlab: TRAP MUSIC algorithm for MEG ...
[Matlab source code] music algorithm estimates frequency - Programmer ...
An Efficient MUSIC Algorithm Enhanced by Iteratively Estimating Signal ...
MUSIC Algorithm Project | PDF | Matrix (Mathematics) | Applied Mathematics
MUSIC algorithm angular spectrum. (M=8, K=IOO, M=2, p=3, SNR=IO, r =A ...
MUSIC algorithm angular spectrum under correlation and correlation with ...
Recognition music scores by Matlab (basic_example) - YouTube
Matlab Music Synthesis | PDF | Scale (Music) | Synthesizer
Music Process - File Exchange - MATLAB Central
MATLAB Music Genre Classification - YouTube
9. Music Synthesis: We will use MATLAB to create a | Chegg.com
Figure 2.2 from Examensarbete DOA estimation based on MUSIC algorithm ...
Summary of the MUSIC Algorithm | Download Table
Music in MATLAB Part1 | PDF | Pitch (Music) | Amplitude
Speech Music Classification Matlab - YouTube
signal analysis - MUSIC Algorithm for 2D Power Spectrum - Signal ...
Using Matlab to Create Music (See You Again) - YouTube
Estimation with the MUSIC algorithm adapted to our problem. | Download ...
A Novel Wide-Band Directional MUSIC Algorithm Using the Strength Proportion
Audio Processing Algorithm Design - MATLAB & Simulink
Implementing The MUSIC Algorithm
PPT - Music and MATLAB PowerPoint Presentation, free download - ID:2483020
Algorithm to process neuronal activity to generate music | Download ...
Flowchart of the MUSIC algorithm and the proposed MUSIC algorithm based ...
Comparison of Introduced Algorithm with MUSIC Method | Download ...
Music synthesis Part II. Assignment Write a MATLAB | Chegg.com
MATLAB Electronic Music Synthesis Course | PDF | Synthesizer | Digital ...
b): Simulation for the improved MUSIC algorithm when the signals are ...
Analyzing Music in the Time and Frequency Domain using MATLAB – MATLAB ...
4 Estimation result using MUSIC algorithm 5 shows the Estimation result ...
GitHub - VincentAuriau/MUSIC_algorithm: Matlab implementation of the ...
GitHub - dataandsignal/libmusic_m: Signal space decomposition in MATLAB ...
GitHub - Euryanassa/Music-Recognition-with-MATLAB: Music Recognition AI ...
In Multiple Signal Classification (MUSIC) algorithm | Chegg.com
Musical Notes : Frequency Analysis with MATLAB - YouTube
Music Composition with Deep Learning
MATLAB CPU execution time for the conventional 2D-MUSIC and the ...
Audio Toolbox - MATLAB
MATLAB Code For Musical Notes Recognition | PDF
Automatic sheet music scanner and player
GitHub - wayne391/music-structure-analysis-in-matlab: music ...
GitHub - MohammadJRanjbar/MUSIC-Algorithm: MUSIC (MUltiple SIgnal ...
Anton Galkin - Neural Network Music Identification
Algorithmic Composition – Music Processing Suite
MUSIC Super-Resolution DOA Estimation
AI And Music Composition: The Rise Of Algorithmic Music
Matlab musical notes dedection - Page 1
The flow chart of the 2‐D MUSIC algorithm. 2‐D MUSIC, two‐dimensional ...
GitHub - steven2358/Shazam-Matlab: Shazam music identification ...
GitHub - VietTran86/PCA_MUSIC: Matlab code for my paper "Bayesian ...
Classic MUSIC and MMUSIC algorithm. | Download Scientific Diagram
(a) The spatial spectrum of the MUSIC and MUSIC-like algorithms with ...
phased.MUSICEstimator2D - Estimate 2D direction of arrival using ...
phased.MUSICEstimator - Estimate direction of arrival using narrowband ...
Comparison among Proposed Algorithm, MUSIC, MUSIC-Like and ...
Data And Signal
较为详细的MUSIC算法原理及MATLAB实现-CSDN博客
MUSIC算法与波束形成技术深入解析及MATLAB实现-CSDN博客
MUSIC算法的原理和Matlab实现 - 知乎
信号频率估计—MUSIC & ROOT-MUSIC算法(附Matlab代码)_matlab rootmusic_工科南的博客-CSDN博客
AOA估计中的MUSIC算法(Matlab代码实现)_matlab中music算法估计csi信号的aoa-CSDN博客
GitHub - casiomichael/MATLAB-Music-Synthesis: A Signals and Systems ...
AOA估计中的MUSIC算法(Matlab代码实现)_近场music代码-CSDN博客
GitHub - emadelmahdy/Decipher-a-Music-into-Musical-Notes-using-MATLAB ...
Matlab-Music/gui_functions/generateAudioData.m at master · QGrain ...
【信号处理】MUSIC多信号分类算法(Matlab实现)_music算法matlab-CSDN博客
【DOA估计】基于Matlab实现均匀平面阵MUSIC算法-阿里云开发者社区
空间谱估计MUSIC算法(含matlab仿真)_matab music算法-CSDN博客
GitHub - ptablas/K-NN-Music-File-sorting: MATLAB's program capable of ...
全面解析MUSIC算法及MATLAB实现-CSDN博客
GitHub - zibowang81192/music_matlab: 使用matlab演奏音乐
基于Matlab实现MUSIC算法、加权MUSIC算法和ROOT-MUSIC算法方位估计_music算法matlab-CSDN博客
MUSIC算法及其MATLAB实现:信号定位的实战例程-CSDN博客
GitHub - PauloRoge/DoA-Estimation-Classic-MUSIC: This repository ...
MUSIC算法及MATLAB实现-CSDN博客
MUSIC算法原理及MATLAB代码 阵列信号处理_matlab music算法-CSDN博客
Matlab仿真——改进的MUSIC算法_改进music-CSDN博客
GitHub - YuetianW/matlab_musicplayer: 基于MATLAB实现的一个音乐播放器,有音乐特效处理、时域与频域 ...