Showing 120 of 120on this page. Filters & sort apply to loaded results; URL updates for sharing.120 of 120 on this page
Nonlinear multivariate constitutive equations for modeling hot ...
Introduction to Multivariate Analysis: Linear and Nonlinear Modeling ...
Nonlinear Modeling of Time Series Using Multivariate Adaptive ...
Introduction To Multivariate Analysis Linear And Nonlinear Modeling ...
(PDF) Nonlinear multivariate modeling of strand mechanical properties ...
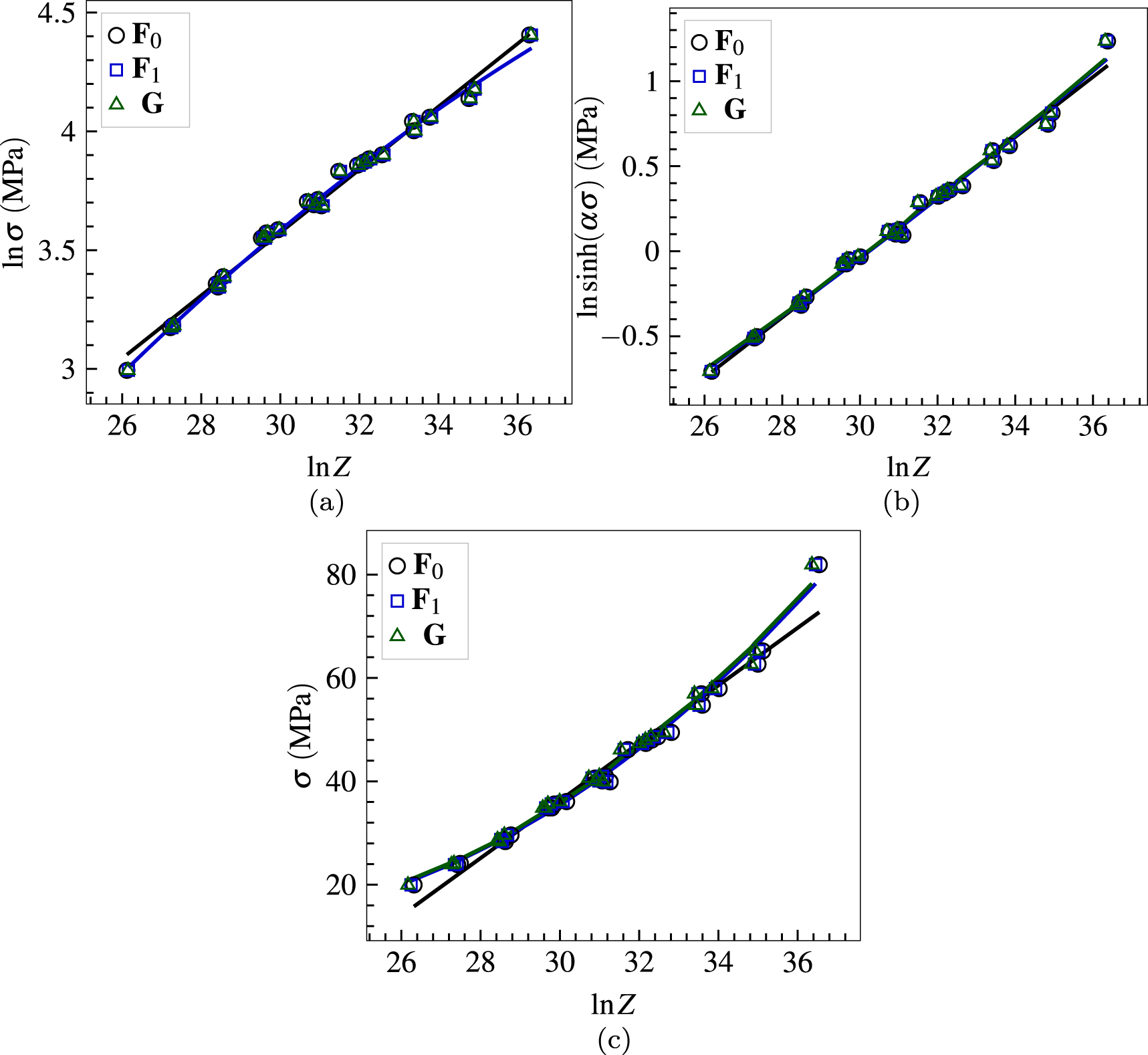
The multivariate nonlinear regression curves and the corresponding ...
Multivariate Nonlinear Regression - Optimization (Mathematical) - Julia ...
Schematic diagram of multivariate nonlinear fitting. | Download ...
Linear and nonlinear multivariate pattern dependence between ...
Modeling Multivariate Spray Characteristics with Gaussian Mixture Models
Figure 3 from A Multivariate Nonlinear Mixed Effects Model for A ...
7 Nonlinear and nonparametric models – Multivariate Statistics and ...
Bayesian Robust Multivariate Time Series Analysis in Nonlinear Models ...
Multivariate Quadratic Nonlinear Regression Model of the Ultimate Pull ...
(PDF) Using multivariate nonlinear mixed-effects model to investigate ...
(PDF) Comparing Coefficients of Nonlinear Multivariate Regression ...
The flow chart of multivariate nonlinear regression. | Download ...
Nonlinear and Multivariate Regression Models of Current and Voltage at ...
Figure 2 from A Multivariate Nonlinear Mixed Effects Model for A ...
Robust Multivariate and Nonlinear Time Series Models Paperback, LAP ...
nonlinear regression - multivariate mean? - Cross Validated
Addressing practicalities in multivariate nonlinear regression for ...
Fitting results between the multivariate nonlinear model and measured ...
Nonlinear and Multivariate Regression
Analytical Computational Scheme for Multivariate Nonlinear Time ...
Robust multivariate and nonlinear time series models von Ravi ...
Multivariate nonlinear regression of the parsed data. | Download ...
(PDF) On portmanteau-type tests for nonlinear multivariate time series
(PDF) The NLS-Based Nonlinear Grey Multivariate Model for Forecasting ...
Nonlinear Multivariate Regression Algorithms for Improving Precision of ...
(PDF) Nonlinear Multivariate Analysis
(PDF) The kernel-based nonlinear multivariate grey model
An Ensemble Learning Method for the Kernel‐Based Nonlinear Multivariate ...
Table 1 from A Multivariate Nonlinear Mixed Effects Model for A ...
Multivariate Regression: Linear Models & Nonlinear Variables
Nonlinear multivariate modelling of wetland dynamics
Figure 1 from Bayesian Variable Selection in Multivariate Nonlinear ...
nonlinear regression, machine learning, multivariate analysis
Multivariate decomposition for nonlinear response models Use mvdcmp ...
(PDF) Statistical Causality for Multivariate Nonlinear Time Series via ...
A Novel Nonlinear Different Fractional Discrete Grey Multivariate Model ...
Multivariate nonlinear fitting results based on the Friedman method ...
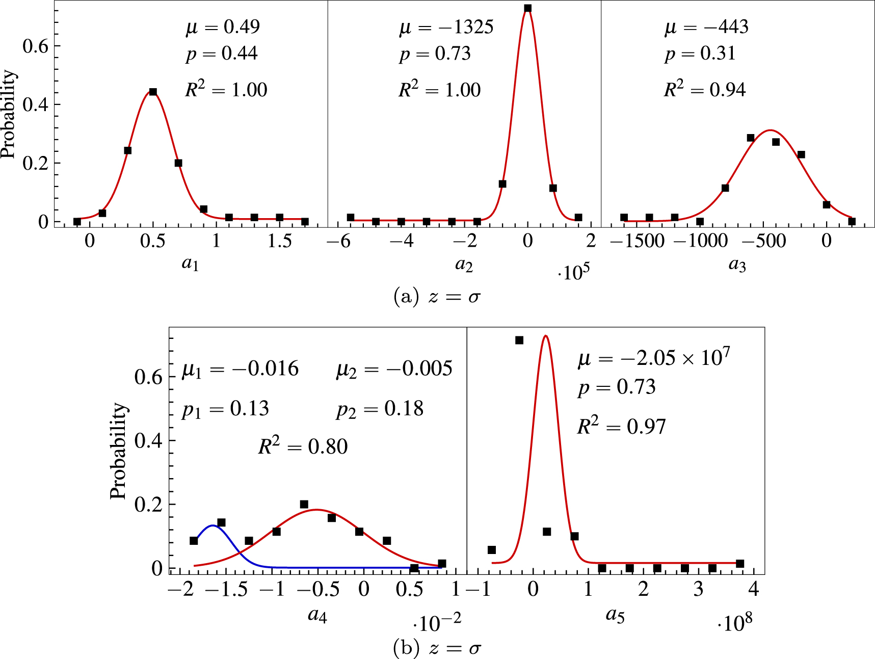
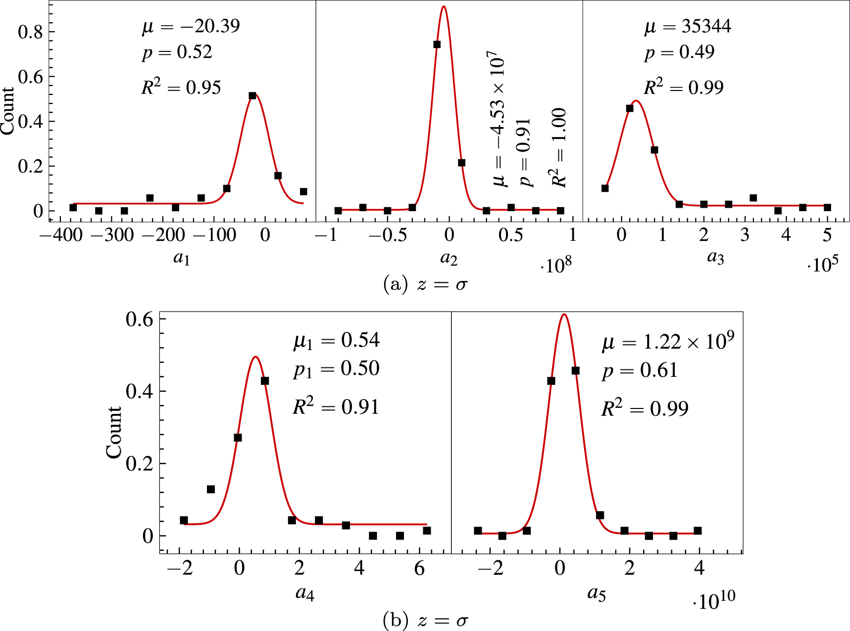
Model parameters obtained by multivariate nonlinear least- squares ...
(PDF) MULTIVARIATE NONLINEAR REGRESSION MODELS APPLIED TO HYDRAULIC ...
(PDF) Multivariate joint frailty model for the analysis of nonlinear ...
Statistical Causality for Multivariate Nonlinear Time Series via ...
(PDF) Model Specification Testing for Nonlinear Multivariate ...
Computational flow of the multivariate nonlinear matrix equation-error ...
(PDF) A novel variable selection method in nonlinear multivariate ...
Figure 1 from Multivariate Nonlinear Analysis and Prediction of ...
-Multivariate non-linear regression model 1. Multivariate non-linear ...
Chapter 7 Multivariate Adaptive Regression Splines | Hands-On Machine ...
Illustration of (a) multivariate regression model with linear mapping ...
Multivariate non-linear regression model 2 | Download Scientific Diagram
Multivariate Regression with Neural Networks: Unique, Exact and Generic ...
The MLP neural network as a non-linear multivariate regression model ...
Approximate Methods for Maximum Likelihood Estimation of Multivariate ...
Multivariate non-linear regression analysis visualization. a Model ...
2008 - Golightly - Wilkinson - Bayesian Inference For Nonlinear ...
machine learning - Non-linear multivariate time-series response ...
; Non linear multivariate regression and Parameter Estimates for 82 ...
GitHub - kg-shambhu/Non-Linear-Regression-Model: Nonlinear Regression ...
An Innovative Nonlinear Bounded Component Analysis Algorithm Based on ...
Figure 2 from Global Nonlinear Aerodynamic Model Identification with ...
Graph Multivariate Regression at Patrick Bautista blog
Statistix - Nonlinear Models
This figure shows the results of the multivariate non-linear ...
Figure 1 from Bivariate and Multivariate Data Cloning through Non ...
Multivariate Adaptive Regression Splines · UC Business Analytics R ...
Multiple nonlinear regression analysis | Download Scientific Diagram
Example 4: Multivariate non-linear regression analysis between MDP40 ...
PPT - Perspective PowerPoint Presentation, free download - ID:8968872
3 Techniques for Building a Machine Learning Regression Model from a ...
This simple figure describes the difference between univariate and ...
fitting of material thickness under different distances and hot airflow ...
Splines In Non-Linear Regression at Ellie Sugerman blog
Figure 1 from Multifactor Association Analysis Model of Preschool ...
Figure 3 from Multifactor Association Analysis Model of Preschool ...
Frontiers | Field strength prediction of 220 kV cable oil terminal ...
Figure 2 from Multifactor Association Analysis Model of Preschool ...