Showing 118 of 118on this page. Filters & sort apply to loaded results; URL updates for sharing.118 of 118 on this page
Multiplier ( Types of Multiplier with formula) Part-1 ...
Binary Multiplier - Types & Binary Multiplication Calculator
Three Types of Multiplier
Types of Multiplier,Super Multiplier & diff bw Accelerator & Simple ...
Simple Machines - Multiplier Types With Examples - YouTube
Types of variable allowances available on Multiplier | HR and Employer ...
Binary Multiplier - Types & Binary Multiplication Calculator | Decimal ...
Binary Multiplier - Types & Binary Multiplication Calculator | Binary ...
Multiplier - Formula, Types, Steps to find, Examples
PPT - Leakages of Multiplier PowerPoint Presentation, free download ...
Multiplier Effect Clipart
5 Types of Diminishers and Multipliers for Leadership Development
Multiplier - Cuemath
Multiplier effect and leakages | PPTX
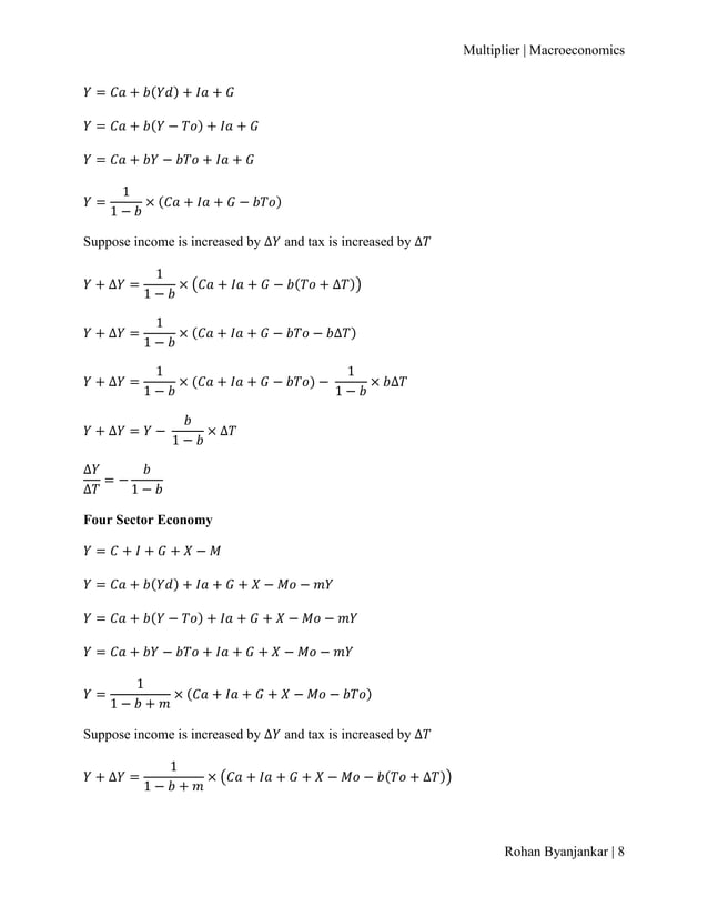
Multiplier: Concept, Types, and Derivation of each type of Multiplier | PDF
Multiplier | Definition & Meaning
CASMAC-Lecture-3 Multiplier Process.ppt
Binary Multiplier : Types, Block Diagram, Working and Its Applications
What Is a Multiplier in Math? Definition, Multiplicand, Examples
Diode voltage multiplier | PPTX
Investment Multiplier and Super multiplier | PPTX
Concepts of Multiplier ppt for itep.pptx
Divisor Vs. Multiplier — What’S The Difference? – GPTEI
What Is A Single Multiplier | Multiplier Examples – PTOMO
How Does A Money Multiplier Work at Edna Weiss blog
Comparing different types of multipliers using an optimum normal basis ...
A Low-Power and High-Accuracy Approximate Multiplier With ...
The Multiplier Effect | Definition, Examples & Analysis
How Does Multiplier Principle Work at Ronda Guzman blog
Understanding the Multiplier Effect in Macroeconomics - iEduNote.com
Multiplier instead of diminisher: how leaders can scale employee ...
Multiplier Formula | Calculator (Example with Excel Template)
Multiplicand and Multiplier Explained with Examples | Maths
5 Types of Diminishers and Multipliers | Leadership development ...
How Does Hardware Multiplier Work at Ann Burkett blog
7 The Multiplier – Fiscal Multiplier Examples – GIAU
Money Multiplier (Types of Money)
Number of possible multipliers for three types of multipliers in an ...
Concepts of Multiplier ppt for itep.pptx | Business Accounting ...
Multiplier Definition Calculating the value of multiplier Importance
A comparative study of different multiplier designs | PDF
PPT - The Multiplier Model PowerPoint Presentation, free download - ID ...
Multiplier analysis | PPT | Business Accounting & Finance | Business
Multiplier: Concept, Types, and Derivation of each type of Multiplier ...
Wallace tree multiplier.pptx1 | PPTX
PPT - Course Title: Tourism &Hotel Economics Course Code: (THM 241 ...
Input-Output Model Basics Tom Harris University of Nevada
concept-of-multiplier- | PPTX
PPT - RIMS II PowerPoint Presentation, free download - ID:5763302
PPT - Introduction to Computable General Equilibrium Analysis: Input ...
Boothmultiplication | PPTX
PPT - Full Tree Multipliers PowerPoint Presentation, free download - ID ...
Leading Others: 5 Disciplines to Multiply the Genius Around You and ...
Book Summary - Multipliers (Liz Wiseman)
"Multipliers" by Liz Wiseman - Book Summary | PDF | Career Advice | Careers
8 best Multipliers Infographics images on Pinterest | Info graphics ...
Multiplication Strategies for Grade 4 and Grade 5 - ExperTuition
The Multipliers | PPT
Comparison of various Multipliers | Download Table
Accidental Diminisher | Blog – Deb Mills
PPT - Input – Output Analysis PowerPoint Presentation, free download ...
Multiplier: What It Means in Finance and Economics
Multipliers: How the Best Leaders Make Everyone Smarter -Book by Liz ...
PPT - Unlocking Real Estate Value with Multipliers: A Comprehensive ...
PPT - Computer Arithmetic Chapter 3 PowerPoint Presentation, free ...
"Multipliers" by Liz Wiseman - Book Summary | PDF
Binary Multiplication Explained | Multiplication of Fractional Binary ...
Complete The Multiplication Equation Terms
What is Investment Multiplier? - GeeksforGeeks
Sectoral type I and type II output multipliers. | Download Scientific ...
Comparison of Different Multipliers | Download Scientific Diagram
PPT - Understanding Photoemission Detectors: Materials, Energy Bands ...
Employment multipliers (Types I and II) a | Download Table
FAQs: What is a voltage multiplier?
Investment Multiplier: Definition, Examples, Formula to Calculate
Type I and Type SAM Economic Multipliers for Each Region and Each ...
Voltage Multipliers | How it works, Application & Advantages
Frontiers | Toward an economy of wellbeing: The economic impact of the ...
Lessons from Multiplying: A Summary and Analysis of Themes from ...
Multipliers | PDF
concept-of-multiplier- | PPTX | Business Accounting & Finance | Business