Showing 120 of 120on this page. Filters & sort apply to loaded results; URL updates for sharing.120 of 120 on this page
Multiple Particle Tracking and penetration capacity of α-lac PSs in ...
Multiple particle tracking microrheological characterization ...
A Hybrid Approach for Multiple Particle Tracking Microrheology ...
Multiple particle tracking microrheology. The ensemble averaged mean ...
Multiple particle tracking microrheology measured using bi-disperse ...
(PDF) Multiple particle tracking microrheology measured using bi ...
(PDF) A Hybrid Approach for Multiple Particle Tracking Microrheology
Figure 2 from A Hybrid Approach for Multiple Particle Tracking ...
Multiple Particle Tracking (MPT) microrheology analysis of local ...
Examples of passive techniques. (a) Multiple particle tracking of ...
Multiple particle tracking study of thermally-gelling nanoemulsions ...
Multiple particle tracking (MPT) using PEGylated nanoparticles reveals ...
(PDF) Tracking errors in 2D multiple particle tracking microrheology
Multiple particle tracking analysis in isolated nuclei reveals the ...
(PDF) mPosTracker: Multiple Particle Tracking Software
(PDF) Multiple particle tracking analysis in isolated nuclei reveals ...
Particle tracking velocimetry for a) a single exposure and b) multiple ...
Multiple Particle Tracking Detects Changes in Brain Extracellular ...
Multiple particle tracking detects changes in brain extracellular ...
Able Particle Tracker: Example 2 - simultaneous tracking of multiple ...
(118h) Multiple Particle Tracking Detects Changes in Brain ...
Principle of multiple particle tracking. In a MPT experiment a ...
Correlated movement of multiple particles. (a) Multiple particle ...
Determination of the mesh size by multiple particle tracking. MSDs ...
Particle tracking microrheology of live fibroblasts. (A) Live-cell ...
2: Illustrative zoomed snapshot of the reactive particle tracking ...
Description of the experimental rationale used for particle tracking ...
Two-point particle tracking microrheology of nematic complex fluids ...
Particle tracking microrheology. (a) Measurement setup: A laser beam ...
Multiple particles tracking (frame from Media 2). The algorithm is run ...
Particle tracking based on symmetry and principal component analysis a ...
(a) Sketch of the particle tracking algorithm. A particle is tracked ...
Particle tracking video microscopy of propelled microparticles. (a)–(c ...
(PDF) Two-Point Particle Tracking Microrheology of Nematic Complex Fluids
Particle tracking and residual cell motion. (A) Tracks of a single ...
Particle Tracking Velocimetry : PTV Principle
General defocusing particle tracking - Lab on a Chip (RSC Publishing)
3D particle tracking reconstruction with (X, Y, T), red color means ...
Comparisons of Two Types of Particle Tracking Models Including the ...
Particle tracking images extracted from high-speed video: (a) before ...
Particle tracking of 2 m particles directed into the collection outlet ...
Multiple-particle tracking of different preparations. (A)... | Download ...
Multiple-particle tracking and cellular uptake profiles of various gene ...
Multiple-particle tracking in Swiss 3T3 fibroblasts. A and B. Typical ...
Multiple-particle tracking in non-silencing and β-PIX-silencing H1299 ...
Figure 1 from Multiple-particle tracking and two-point microrheology in ...
In-vivo single-particle tracking and microrheology with EB-NS. a ...
(a) Synthetically computed image data consisting of multiple types of ...
(A) Schematic evaluation of a single particle track from a set of ...
Example of tracking 160 synthetic spots in a image sequence of 30 image ...
Three-Dimensional Two-Color Dual-Particle Tracking Microscope for ...
(a) Schematic overview of tracking multi-attribute particles. To ...
Schematic of the presented combined particle detection approach ...
Figure 3 from Dual-color multiple-particle tracking at 50-nm ...
In Situ Mapping of the Mechanical Properties of Biofilms by Particle ...
Drawing of particle track reconstruction problem. Particles interact ...
Figure 1 from Multiple-particle tracking measurements of ...
Schematic of the 3D single-particle tracking platform A schematic of ...
Glycerol–water mixture (1:1): reduced number of particle trajectories N ...
Test diagram of particle track at different positions under different ...
(a) Scheme showing the setup of the single-particle tracking ...
Block diagram for single particle tracking. An LQG-based controller is ...
Precise Three-Dimensional Scan-Free Multiple-Particle Tracking over ...
Micromechanical Mapping of Live Cells by Multiple-Particle-Tracking ...
Multiple-particle tracking. | Download Scientific Diagram
Figure 2 from Microheterogeneity and microrheology of wheat gliadin ...
Comparison of |G * | between macroscopic and microscopic rheology from ...
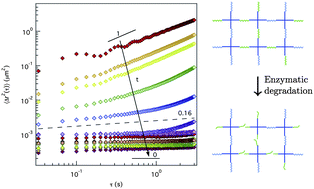
Monitoring degradation of matrix metalloproteinases-cleavable PEG ...
Figure 4 from Particle-tracking microrheology of living cells ...
Figure 3 from Microheterogeneity and microrheology of wheat gliadin ...
(PDF) Particle-Tracking Microrheology of Living Cells: Principles and ...
(PDF) Quantifying the dynamic transition of hydrogenated castor oil ...
Research - Schultz lab
Figure 1 from Quantifying the dynamic transition of hydrogenated castor ...
Microrheology: From Video Microscopy to Optical Tweezers
Figure 1 from Microheterogeneity and microrheology of wheat gliadin ...
Figure 1 from Monitoring degradation of matrix metalloproteinases ...
Trajectories for the two-particle problem assuming different ...
Simultaneous particle-tracking results in the vertical (xz) plane at ...