Showing 120 of 120on this page. Filters & sort apply to loaded results; URL updates for sharing.120 of 120 on this page
Figure 1 from The monopole problem in holographic cosmology | Semantic ...
Solution error (defined in equation (43)) for the monopole problem for ...
Problem 3 - Monopole Detector In a laboratory | Chegg.com
Exploring the Magnetic Monopole Problem | PDF | Magnetism ...
(PDF) R-charge and a solution to the monopole problem
Solved Problem 2 We also worked out the monopole and dipole | Chegg.com
Monopole used for testing on FR-4 substrate for single-layer problem ...
(PDF) The monopole problem in holographic cosmology
Figure 2 from Can Symmetry non-restoration solve the Monopole Problem ...
(PDF) The effective rest mass concept and magnetic monopole problem in ...
The Missing Monopoles: Exploring the Monopole Problem - YouTube
22. The Higgs Field and the Cosmological Magnetic Monopole Problem ...
Figure 1 from Monopole Problem and Extensions of Supersymmetric Hybrid ...
The Missing Magnets: The Monopole Problem - YouTube
R-charge and a solution to the monopole problem
Problem 5 (30 points): For the coax-fed monopole | Chegg.com
Solution to the problem specific only on monopole billboard ...
(PDF) Anyons, monopole and Coulomb problem
(PDF) Flat directions, doublet–triplet splitting, the monopole problem ...
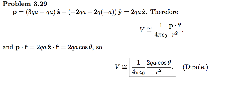
Problem 3.29 - Multipole Expansion, Monopole & Dipole Terms ...
(PDF) Monopole Problem and Extensions of Supersymmetric Hybrid Inflation
(PDF) Monopole Topology and the Problem of Color
Dirichlet errors for monopole problem. | Download Scientific Diagram
Solved Exercise 1 *** A magnetic monopole with magnetic | Chegg.com
The monopole and dipole oscillatory modes of a spherical particle ...
Solved Problem 2. Suppose magnetic monopoles are found in an | Chegg.com
Solved Problem 10.2: A magnetic monopole. (30 points) Some | Chegg.com
Lie Symmetries For The Charge-Monopole Problem | PDF | Noether's ...
Magnetic Monopole Interaction with a Magnetic Sphere
The Enduring Mystery Of Detecting The Universe's Only Magnetic Monopole
Magnetic Monopole Diagram at Jett Quong blog
Problem 3 - Magnetic Monopoles Let's see how badly we | Chegg.com
Magnetic Monopole - Science Facts
Inducing a Magnetic Monopole with Topological Surface States | Science
(PDF) The Monopole-Fermion Problem in a Chiral Gauge Theory (the $\psi ...
(PDF) The primordial black holes solution to the cosmological monopole ...
Problem 3: Monopoles and Dyons | PDF | Angular Momentum | Magnetic Field
SOLVED: below.) a) (5 pts) What is the electric monopole moment of this ...
Figure 1 from A Black hole solution to the cosmological monopole ...
Why Are There No Magnetic Monopoles? | Inflation and The Monopole ...
Symmetries Monopole
Solved Problem 2 (32 points) Imagine that magnetic monopoles | Chegg.com
The application of the monopole pair model to quantum mechanics into 4D ...
Magnetic Monopole
Magnetic monopole states at low temperatures. a Monopoles are confined ...
(PDF) Can symmetry non-restoration solve the monopole problem?
Find Monopole Moment Dipole Moment and Potential for 2 Point Charges P ...
Solved 1. If a magnetic monopole were to exist, the magnetic | Chegg.com
(a) A monopole can be continuously transformed into an anti-monopole by ...
Solved b) Suppose that the magnetic monopole has been | Chegg.com
Scheme of the classical problem discussed in the text. A single ...
(PDF) Magnetic monopole meets primordial black hole: an extended analysis
A magnetic monopole as a charged sphere with uniform distribution of Q ...
Graphical illustration of the problem setup. A point force of strength ...
Monopole zurich | PDF
Solved 143 Problems 709 A monopole antenna on a large ground | Chegg.com
SOLVED: Problem 3.30 Two point charges. 34 and are separated by ...
Magnetic- and Electric- field lines due to a moving magnetic monopole ...
The interaction of a proton with a magnetic monopole placed at the ...
Does a magnetic monopole exist? - YouTube
Solved 1. Calculate the electric monopole and dipole due to | Chegg.com
Monopole solution. Specific components of the magnetic field displayed ...
PPT - Quantum Geometric Phase PowerPoint Presentation, free download ...
PPT - Magnetic Monopoles in the Cosmos and at the LHC PowerPoint ...
PPT - Physics 133: Extragalactic Astronomy and Cosmology PowerPoint ...
PPT - Cosmology and extragalactic astronomy PowerPoint Presentation ...
How does nature flip electron spin in atomic hydrogen? | 3Dcomplexnumbers
PPT - Cosmology and Dark Matter II: The inflationary Universe ...
PPT - Magnetic Monopoles PowerPoint Presentation, free download - ID ...
PPT - Introductory Review of Cosmic Inflation PowerPoint Presentation ...
PPT - Galaxies and Cosmology PowerPoint Presentation, free download ...
Top Ten Scientific Flaws In The Big Bang Theory | TechReader
Solved 1. Magnetic Monopoles (10 points) Another way to | Chegg.com
Figure 2 [IMAGE] | EurekAlert! Science News Releases
CERN Physicists Zero In On Hypothetical Magnetic Monopoles | Sci.News
Magnetic Monopoles | Discovery, Theory & Experiments
The Mystery of Magnetic Monopoles | Space
Description of electric and magnetic monopoles. a) A negative electric ...
Magnetic Charge Theory—The Unification of Gravity with Electricity and ...
PPT - Topological Defects and Phase Transitions in Cosmology PowerPoint ...
Explaining Market Failure of a Monopoly - YouTube
Magnetic Monopoles, the Poynting Vector and Lenz’s Law
Solved The Magnetic Monopole? In electrostatics we have | Chegg.com
Magnetic Anomaly (Monopole or single pole problem- CSIR NET 2020 ...
(PDF) High Temperature Symmetry Breaking, SUSY Flat Directions, and the ...
PPT - Searching for Magnetic Monopoles PowerPoint Presentation, free ...
PPT - Magnetic Monopoles PowerPoint Presentation, free download - ID:547394
PPT - Electricity & Magnetism PowerPoint Presentation, free download ...
Magnetic Monopoles: Quantization and Quasiparticles
Full article: Introduction to magnetic monopoles
PPT - MAGNETIC MONOPOLES PowerPoint Presentation, free download - ID ...
(PDF) Infinite-dimensional representations of the rotation group and ...
Alternate View Column AV-01
Magnetic Monopoles: Their Construction and Use - Magnets By HSMAG
(PDF) Magnetic monopoles, duality and supersymmetry
[#9] MIND AND MAGNETIC MONOPOLES: MATTER, MIND AND MAGIC ...
2D solver live assembly(Monopole problem) - YouTube
(PDF) Numerical control of a discrete phase transition model: the ...
PPT - Magnetic Force on a Charged Particle PowerPoint Presentation ...
PPT - ENE 429 Antenna and Transmission lines Theory PowerPoint ...
PPT - How research is done – two examples PowerPoint Presentation, free ...
Poynting`s Theorem with Magnetic Monopoles - Physics
PPT - Friedel Oscillations and Horizon Charge in 1D Holographic Liquids ...
Solved Imagine that magnetic monopoles are discovered | Chegg.com
(PDF) Topological Influence between Monopoles and Vortices: a Possible ...
PPT - Direct Search for Magnetic Monopoles at H1: Findings and ...