Showing 119 of 119on this page. Filters & sort apply to loaded results; URL updates for sharing.119 of 119 on this page
Formula For Modulo Calculation
2 Mod 1 What Is 2 Modulo 1?: 2 Mod 1 Formula – QKOGE
Modulo Math
Modulo Calculator- Modular Arithmetic Calculator
Modulo Calculator
modulo in "Enciclopedia della Matematica"
Modulo
Top: the modulo function []2π. Bottom: square of the modulo function ...
Modulo Arithmetic Explained With Worked Example - YouTube
Modulo Operation Explanation | PDF | Function (Mathematics) | Algebra
mod - Notion Formula Docs
Modulo Operator
Modulo Calculator - Calcolate.com
Modulo 2.jpg
Power Modulo Calculator
Python Modulo Operator (%): A Detailed Guide – Master Data Skills + AI
Modulo Operator Modulo Operator #coding #codingforbeginners
Math Modulo Clock at Edward Varley blog
a The modulo transfer function. b The modulo function limited to 2 ...
Modulo Calculator - MathCracker.com
Modulo Function For X Square and Cube | PDF
Using Modulo Function to Convert Date & Time Parts — 4Africa Data ...
Modulo Arithmetic. part 2 (Operations and Equations) - YouTube
Modulo Arithmetic Important Questions Applied Maths Class 12 CBSE
Modulo di Young (Elasticità): Formula, Tabella, Applicazioni | Guida 2026
Modulo Operation Definition (Illustrated Mathematics Dictionary)
Postgres Modulo Function With Examples — CommandPrompt Inc.
Modulo (Mod) Calculator - Calculate modulus
Modulo Calculator Calculadora Antiga Casio Deals Mod Fx
Formula Gallery
Modulo - Wikipedia
Modulo arithmetic: Multiplication – Variation Theory
Modulo function
ImageChops Add Modulo Function in Python Pillow
Postgres Modulo Function With Examples - CommandPrompt Inc.
Power BI – Modulo and Integer-Divide Function : :: Welcome To EPM ...
Congruence modulo | Modular arithmetic | Khan Academy
Figure 3 from Area-Power Efficient Modulo $2^{n}-1$ and Modulo $2^{n}+1 ...
Finding Modulo for Large Numbers - YouTube
Remainder Theorem Formula Remainder Theorem (Math Grade IX Level)
Modulo - what it is and what are its properties | Mathematical Olympiad ...
Modulo (%) in Python: A Complete Guide (10+ Examples)
SOLUTION: Modulo maths solved - Studypool
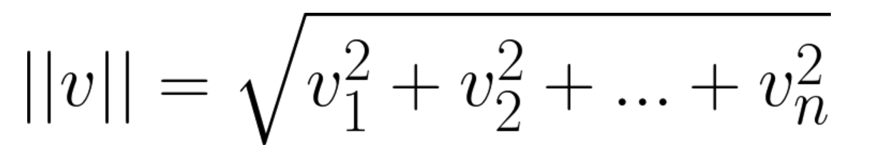
Calculadora del módulo de un vector
Chapter 13, Math A few Examples. - ppt download
PPT - An Introduction to Pitch-Class Set Theory PowerPoint Presentation ...
Modular Arithmetic - Properties and Solved Examples
PPT - Chap. 4: Finite Fields PowerPoint Presentation, free download ...
how to solve modular equation
How To Solve Quadratic Equations Modular Arithmetic at Lois Toussaint blog
Módulo de un vector | Calculadora online, fórmulas, ejercicios y más
How do you write congruence modulo(mod n) in LaTeX?
Cómo calcular el módulo de Young: Guía paso a paso - MFG Shop
PPT - Operators, Expressions and Assignment PowerPoint Presentation ...
How To Calculate Mod Step2
Mathematics Definition
Modulus Function - GeeksforGeeks
PPT - Simple modern algebra PowerPoint Presentation, free download - ID ...
CMSC201 Computer Science I for Majors Lecture 03 – Operators - ppt download
modulo.pdf mathematics made easy for shs | PPT
O que é Módulo (de um Número Complexo e um Vetor)
What Is The Range Of Modulus Function at Sam Meyer blog
PPT - The modulus function PowerPoint Presentation, free download - ID ...
PPT - Part III The Arithmetic/Logic Unit PowerPoint Presentation, free ...
ShareTechnote
Módulo de un vector
PPT - Complex Numbers PowerPoint Presentation, free download - ID:2755157
Dominando el Módulo en Tu Calculadora | TODO CALCULADORAS
PPT - Algebraic Structures and Properties in Mathematics PowerPoint ...
PPT - Discrete Mathematics PowerPoint Presentation, free download - ID ...
Modulus Functions - YouTube
Fórmula De Módulo De Young - RETOEDU
Calculando el Módulo de un Vector: Guía Completa | TODO CALCULADORAS
Modulus Function - Definition, Domain, Range and Graph - Teachoo
Algebraic structures | PPT
Engineering Math | ShareTechnote
50 Fórmulas indispensables para el calculista. Fórmula 08: Módulo de ...
Cálculo del módulo de un vector – Matematicascercanas
Módulo y argumento de un número complejo
Euclid Research - Basic SensorPlot Measurements