Showing 120 of 120on this page. Filters & sort apply to loaded results; URL updates for sharing.120 of 120 on this page
Module Design Ideas School Paper
Module Paper | PDF
Module Paper 3 Lower Secondary | PDF
SPM Add Maths Module Paper | PDF
School Module With Lesson and Practical | PDF
Module 1 Question Paper | PDF
EAPP Module 3 Writing A Position Paper - LEE ARNE BARAYUGA MA’AM ...
Module 2 Paper.pdf - Mapua University School of Civil Environmental and ...
ASB 462 Module 5 Paper Project Detailed Paper Outline - Visit OWLISDOM ...
Acc 405 module 3 short paper - Module 3 Short Paper Module 3 Short ...
PAD-330 Module 1-2 - Short Paper - Eric Ramirez SNHU March 6, 2022 ...
PHL 218 Module Four Short Paper Template Completed - PHL 218 Module ...
Reflection Paper Module 1 - REFLECTION PAPER MODULE 1 Curriculum is an ...
Module 1 Paper 1 .pdf - 11/6/22 9:14 PM Module 1: Paper Module 1: Paper ...
MSC Module 5-8 Dvs paper two revision questions - DEVELOPMENT STUDIES ...
EAAP-Module 1: Position Paper Writing Guide for Senior High School ...
IDS 150 Module One Short Paper - For example, when I considered ...
PHL 218 Module Four Short Paper Template - PHL 218 Module Four Short ...
PHL 218 Module Four Short Paper Template (1) - PHL 218 Module Four ...
Module Paper Guidelines: How to Summarize and Relate Articles to ...
Module 8 - EAPP - Make a Concept Paper by Definition, Explication and ...
Module One Short Paper IDS - Module One Short Paper Ihab Kassem IDS-150 ...
ECO 202 Week 2 Module Two Short Paper - Module Two Short Paper ...
Maths Module Question Paper | PDF
Module Paper 5 | PDF
First Module Question Paper PDF | PDF
IDS 150 Module 4 short paper - IDS 150 MODULE 4 SHORT PAPER: EFFORTS IN ...
SOLUTION: Senior high school module in discipline and ideas in applied ...
Module 2 short paper IDS 150 - Southern New Hampshire University Justin ...
Module 3 School pp1-2 | PDF
Plum Paper - 8.5x11 Ultimate School Planner
SOLUTION: Module four short paper guidelines and rubric - Studypool
Module Practice Paper 2 Form 4 & 5 | PDF
M4 Module Paper ayesha.docx - Module Paper Module 4: Child Development ...
IDS-150 Module 1 Short Paper on Sustainable Practices and Choices - Studocu
SOLUTION: Module five short paper guidelines and rubric - Studypool
SOLUTION: Ihp 340 module five short paper guidelines and rubric - Studypool
Profed 05 - Chapter 1 The School Curriculum and the Teacher - MODULE ...
Modern Software Development: Module Paper
Foundation Module Paper Batch 2 | PDF
School Paper | PDF
E-Balbharati. School Module English Medium
M.A. Mathematics Exam Paper 5637: Module Theory | PDF | Module ...
MOD1 - BOTH - MODULE - Paper Answers | PDF
SOLUTION: Question paper solution module i introdu - Studypool
School Module
ENGLISH PAPER 2 MODULE SPM 2023 - Cikgu.Info
Module 1.1 Mock Exam Paper | PDF | Social Psychology
2022 English Standard Year 11 - Paper 2 Modules | Total Education Centre
Rings and Module Papers | PDF
2021 English Advanced Paper 2 Modules - Student Number: English ...
2020English Stdhscpaper 2Modules - English Standard Paper 2 - Modules ...
MMW-Module-6 - nothing - A Course Module in GE - MMW (Mathematics in ...
Module 1 Past Papers With Answer Key | PDF | Learning | Educational ...
2020EnglishSTDHSCPaper2Modules.docx - 2020 HIGHER SCHOOL CERTIFICATE ...
1556513609 Paper 3,Module 10,Text - Subject Co-ordinator : Prof. Tutun ...
Comm Studies SAMPLE MODULE 1 Essay | PDF | Behavioural Sciences | Cognition
Psy 321 module five short essay - 5-2 Short Paper: Module Five Essay ...
2021 HSC English Advanced Paper 2 Exam - Modules Overview - Studocu
Development Studies Paper 2 Revision Questions - Modules 1-8 Guide ...
Module Assessment - Essay - Module Assessment: Individual Applied ...
PHL+218+Module+Four+Short+Paper+Template-1 - PHL 218 Module Four Short ...
Smart Papers for the High-School Classroom A Teaching Module ...
Learning Module in Teaching Science in the Elementary Grades.pdf
Kinross 2023 Advanced English Modules Paper 2 - STUDENT NUMBER 2023 ...
N3345 Module 3 Information Retrieval Paper, Part 1 Module 1 - Submit by ...
MODULE-2.docx - K TO 12 BASIC EDUCATION CURRICULUM SENIOR HIGH SCHOOL ...
Module 1 Teaching Multi Grade Classes | PDF | Teachers | Schools
Paper 2 Integrated Exam - Integrated Exam 2022 MULTIPLE MODULES This is ...
Teachers, schools seek paper supply donations for printing modules
20 Common Module Practice Essay Questions | Get HSC Ready
Abstract Academic Paper Template in Word, PDF, Google Docs - Download ...
BCS303- Model Paper Solution - Data Structures and Application - Studocu
Module | PDF
(PDF) Paper 2 – Modules St 2020 English... · 2021. 1. 26. · Paper 2 ...
Online Education Module | PDF
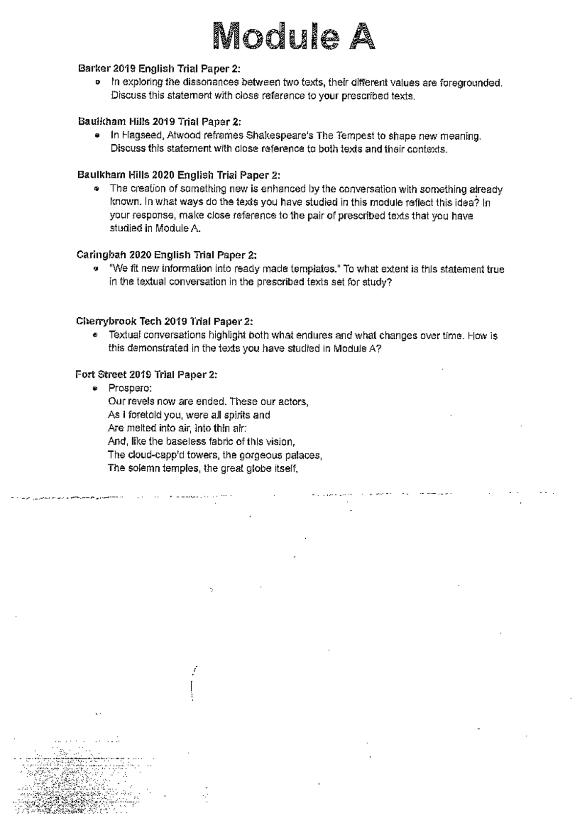
Practice Questions for all Modules - Module A Barker 2019 English Trial ...
Module-sample-guide - Module Sample Template - Template 4. The Lesson ...
Topic Outline of The Entire Course: Module Writing Template | PDF
English Advanced - Paper 2 Modules - Studocu
5.2 Creating a Learning Module | Lesson Plan | Learning
Module Format for Assessment in Learning | PDF | Educational Assessment ...
Common module essay - Common Module Essay Dramatic storytelling ...
CS401 PP PREV QP M5 M6 - COMPUTER GRAPHICS PREVIOUS YEAR QUESTION PAPER ...
Electrical Module 3Past Papers for Android - Download
SNHU 107 Module Two Journal Template - SNHU 107 Module Two Journal ...
(PDF) Validity Of The Malay Essay Writing Module (Modul Mengarang ATAS ...
Quarter-2-Module-12 - Quarter-2-Module-12 - SENIOR HIGH SCHOOL First ...
English HSC Prep - Module A B C , common module - Common Module (Ready ...
essay.docx - MODULE ASSIGNMENT COVER SHEET MATRICULATION NUMBER: Please ...
Modules The Teacher The School Curriculum 1 | PDF
(PDF) Multimedia Instructional Module for the Arts and Culture Subject ...
2-2 Short Paper- Module Two Essay - Tashia Penrice Southern New ...
(PDF) THE RELATIONSHIP BETWEEN INTEGRATED STUDENT MODULE AND INDIVIDUAL ...
Sample Module Outline | PDF | Educational Assessment | Pedagogy
Module A Essay | English (Advanced) - Year 12 HSC | Thinkswap
RIMA8112Ea C19 WUS - past paper - © The Independent Institute of ...
Module 1 Practice Paper学生版本 | PDF | Phishing
Model Paper | PDF | Educational Technology | Instructional Design
Module 2 Paper.docx - | Course Hero
Module 1-2 | PDF
BOW for SHS Core Subjects.pdf
Module-Template-Sample | PDF
Deped Learning Materials For Grade 2 at Anthony Jones blog
Sample Module: Math – Module-Making Camp
FAST FACTS: DepEd's modular learning
Quarter 1 English 10 Complete Modules - Republic of the Philippines ...
66595 bos53774-ip-mod1 - Intermediate Course Study Material (Modules 1 ...
Sample deped format - Republic of the Philippines Department of ...
EAPP-Module Critical-Approaches-in-Writing-a-Critique-Paper - ####### 1 ...
English All Modules Practice Questions - ORIGINAL CREDIT: Lightning ...
DepEd Admits There Are Errors w/ Modules Given to Students
Help! These schools need bond paper, printers for students' learning ...
Modules - Infoupdate.org
Common Module: 1984 Essay Response on Individualism and Oppression ...
Literacy 1 – Literacy Centre of Expertise
RW Q1 MELC 3 4 - reading and writing modules for grade 11 - 1 - English ...