Showing 110 of 110on this page. Filters & sort apply to loaded results; URL updates for sharing.110 of 110 on this page
ZA DC F 69A Building Modification Design Approval Request | PDF
Emirates Engineering Secures First Major Design Modification Approval ...
Fillable Online Design Maintenance Standards Modification Approval Form ...
SP SSP Location Plan Modification Design Drawing Approval Preparation ...
PPT - Regulatory Reform Program Proposed Design Approval Rules CASR ...
Design Organisation Approval
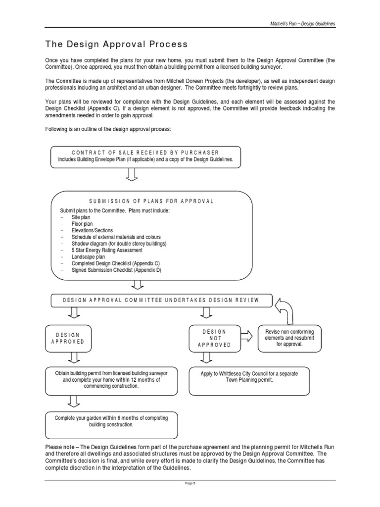
What to Expect in the Design Approval Process
Design Approval Form Template for Graphic Design Projects | Printable ...
Tips for Building an Effective Design Approval Process
Design Approval Process | Download Free PDF | Government Information ...
Streamlining the Design Approval Process: A Complete Guide
Design Submittal & approval Process_12July16.ppt
Design Approval Form Templates | pdfFiller
Final Design Approval Checklist | PDF
03 Preliminary Design Approval Request | PDF
Design approval procedure | PPTX
Design modification flow in integrated design team [33] | Download ...
Design approval of modifications and repairs
What is an Original Design Approval Process? - InterConnect Wiring
(Download PDF) Chapter 4: Design, Approval and Modification of Programs ...
Design Patterns for Approval Processes
Design Approval Form Template
Design Approval Form Template | Jotform
Creative Talks: Design Approval | Approval Studio
How to Build an Effective Design Approval Process
Design Approval – How Get Your Designs Approved Easily & Effectively ...
SP SSP Structural Assembly Modification Preparation Design Drawing ...
The art of perfecting the design approval process | Wrike
Orders for Design Approval (case-by-case)
Understanding the Airbus Repair Design Approval Form (RDAF)
Design and Approval
Powerful Architecture Design Approval Tool | Approval Studio
Modification Approval / Special Release
Design / Concept Approval Stage: Inputs Validation | PDF
Aircraft Design Approval – Original Design Approval Process – IRMT
Approval of Design Changes Modifications and Repairs
Aircraft Modification & Repair Approval | PDF | Aviation | Aeronautics
Design Approval Form Template | Printable & Fillable PDF - Etsy
Free Design Approval Document - Better Proposals
Preliminary Design Approval Request v1 | PDF
The 8 Best Design & Creative Approval Software to Use in 2024 | Atarim
Site Design Approval Form | PDF
Credit Modification Approval Process – LCvista Knowledge Base
Design Approval Document | PDF
Design Approval Process Template | Jotform
SP SSP Bus Bar General Arrangement Modification Preparation Design ...
Printable and Fillable Design Approval Form Template for - Etsy Israel
Design Approval Checklist - OHS Compliance Solutions
Get design approval
Design Approval Process | Templates | ProcessMaker
Fillable Online Request for Architectural Modification Approval Fax ...
Design Approval Checklist | REDCAT SAFETY
How Design Review Tools Became So Popular | Approval Studio
DDA Approval for Building Modification: Steps, Documents, and Cost
PPT - Future-Proofing Airport Design Standards for Enhanced Aviation ...
Engineering Change Approval Form Excel Template And Google Sheets File ...
Design Process | Step-by-Step Custom Home Design | QDH | Brisbane ...
HOA Approval Process 2 Step Guide | Premium Security Screens
Building an effective artwork approval process: step-by-step
Free Web Design Form Templates | Code-free | 123FormBuilder
modification concept line icon. Simple element illustration ...
Home Modification Approvals in Dubai: What to Know
Ensuring Compliance with Dubai Home Modification Rules
Application for Approval of Architectural Improvement Template | HOA ...
What is engineering design modification? - avesta consulting
DUBAI MUNICIPALITY APPROVAL FOR VILLA CONSTRUCTION - Approvals in Dubai
Request For Modification Permit-New - Guideline | PDF | Building ...
PPT - P roduct Approval and the F lorida Building Code PowerPoint ...
The Complete Guide to the Approval Process and Workflow - Advanced FSM ...
Approval Letter For Thesis
What is Building Plan Approval | Criteria & Significance
What Are The Documents Required For Building Plan Approval at Jose ...
Faztek Industrial Solutions | Design Solutions
Warehouse Modifications: Permit Requirements & Approval Timeline - Your ...
building approval drawings |building plan approval drawing| approved ...
DGCA Approval for Aircraft Modifications | PDF | Aeronautics | Transport
Architectural Approval Request Form Template | Jotform
scaleup and post approval modification.pptx
Dubai Municipality approval | DM Approval
SALES DOCUMENTS APPROVAL – STANDARD WORKFLOW - SAP Community
Design Change Management
Free Letter of Request for Approval of Materials Template to Edit Online
Building Renovation Approval Request Form Template | Jotform
A New Way Of Doing Artwork Approval Forms
Templates - PAMco - HOA Management Services
The Independent Aircraft Modifier Alliance (IAMA) #white #paper aims to ...
Reliable Expert Fitout Approvals & Services in Dubai
PPT - IP Made Simple… (sort of…) PowerPoint Presentation, free download ...
How to Obtain DM Approvals for Modifications to Interior Design?
''Approval Drawings Ok'' | PDF | Roof | Structural Engineering