Showing 120 of 120on this page. Filters & sort apply to loaded results; URL updates for sharing.120 of 120 on this page
Regresión LOGÍSTICA. Modelo LOGIT - YouTube
Modelo Logit | PDF | Regresión logística | Teoría de la estimación
El Modelo Logit | PDF | Regresión logística | Estadísticas
Modelo Logit - Teoria | PDF | Regresión logística | Teoría de la estimación
Modelo Logit | PDF | Regresión logística | Science
Modelo Logit - Qué es, definición y concepto | 2022 | Economipedia
Modelo Logit | Regresión logística | Estadísticas | Prueba gratuita de ...
Modelo Logit | PDF | Regresión logística | Objetos matemáticos
Modelo Logit | PDF | Regresión logística | Econometría
Modelo Logit | PDF | Regresión logística | Análisis de regresión
El Modelo Logit - T1 | PDF | Regresión logística | Transporte
Modelo Logit | PDF | Regresión logística | Petróleo
Modelo Logit Brayan Delgado | PDF | Regresión logística ...
Porque Elegir Entre Un Modelo Logit o Un Modelo Logit PDF | PDF ...
Modelo Logit Probit | PDF | Regresión logística | Análisis de regresión
Modelo Logit | Economipedia
Aplicaciones del Modelo Logit en Estadística | PDF | Regresión ...
Logit Model Como Modelo de Eleccion Discreta Orige | PDF | Función ...
Tif - Unidad Ii - Modelo Logit y Tobit | Descargar gratis PDF ...
Aula 20 Extra - Modelo Logit Binomial (II) - GI | PDF | Regressão ...
(Reporte) El Modelo Logit Coke-Pepsi | PDF | Regresión logística ...
Modelo Logit | PDF
Qué es: Modelo Logit - Entendiendo la Regresión Logística
Modelo Logit - Qué es, definición y concepto | 2022
Modelo Logit | PDF | Estadísticas multivariantes | Teoría de la estimación
Teoría de Modelo Regresión Lineal de Probabilidad MLP, Logit y Probit ...
Modelo logit de cuatro niveles mostrando los efectos de... | Download ...
MODELO LOGIT O REGRESIÓN LOGÍSTICA – Marxist Philosophy of Science
Aplicación de un Modelo Logit sobre la pobreza en el Perú | PDF
Modelo Logit y Probit 1 .pptx - Modelo Logit y Probit JUAN CARLOS ...
1 Modelo Logit Validacion | PDF
Efectos marginales y elasticidades del modelo logit
3 Modelo Logit | Una introducción a los modelos de Clasificación ...
Modelos Probit Y Logit
13 Modelos Logit | PDF | Regresión logística | Probabilidad
13 Los Modelos Logit | PDF | Análisis de regresión | Análisis
Modelos de Regresión Logit y Probit | PDF | Regresión logística ...
Modelos Logit y Probit: Análisis | PDF | Regresión logística ...
Explicación conceptual modelos logit - YouTube
Modelos de regresión binaria: una introducción a los modelos Logit y ...
MODELO LOGIT-probit | PDF | Regresión logística | Teoría estadística
Modelo LOGIT. | PDF | Regresión logística | Matemáticas Aplicadas
¿Qué es la regresión logística? - Explicación del modelo de regresión ...
Capítulo vii modelos logit y probit | PPT
5 Modelos Logit | PDF | Regresión logística | Análisis estadístico
Modelos Logit y Probit en Econometría | PDF | Regresión logística ...
Modelos Logit y Probit - Definición, qué es y concepto | Economipedia
Modelos Logit y Probit Parte I | PDF | Regresión logística ...
Multinomial Probit and Logit Models Examples Es - Unlocked | PDF ...
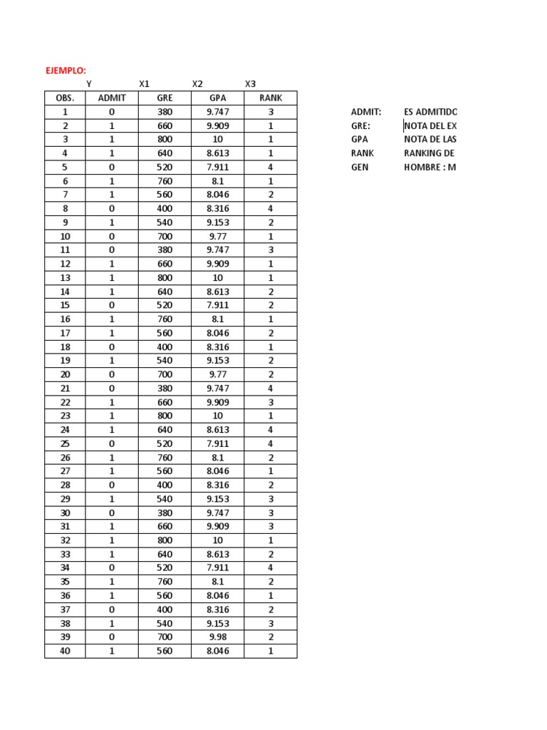
Tabla 1. Estimación del Modelo LOGIT, utilizando datos de MINAM (2013 ...
Modelos Logit | PDF | Regresión logística | Probabilidad
Modelos Logit e Probit - O que é, definição e conceito
Understanding Logit Regression and its Applications: A | Course Hero
Laminas-Modelo Logit y Probit-Modelo Tobit | PDF | Teoría estadística ...
Sesion 1 Modelos Logit Probit | PDF | Regresión logística | Estadísticas
Algoritmo de Modelos de Logit en MATLAB | PDF | Regresión lineal ...
10 Modelos LOGIT | PDF
Modelos Logit y Probit en Economía | PDF | Distribución normal ...
Modelos Logit Ordenados: Análisis y Ejecución | PDF | Estadísticas ...
Logit Model For Binary Data | PDF | Logistic Regression | Regression ...
06 Logit | PDF | Regresión logística | Análisis de regresión
Modelos Logit y Probit con Stata | PPTX
Understanding the Logit Model: Key Concepts and Applications | Course Hero
Modelos Logit y Probit de tipo ordinal - YouTube
Logit: Modelo Clasificación de Crédito a Potenciales Clientes
Logit regression in Excel
Logit and Probit Model | Probit and Logit Model - YouTube
PPT - Regresión logística PowerPoint Presentation, free download - ID ...
PPT - Modelos de Variable Dependiente Binaria -Logit y Probit ...
PPT - Logistic Regression PowerPoint Presentation, free download - ID ...
PPT - Tema 8 CLASE PRÁCTICA PowerPoint Presentation, free download - ID ...
Building a Logistic Regression model from scratch
RPubs - Ejemplo de Regresión Logistica (Modelo Logit) Con R | PDF ...
REGRESION LOGISTICA (LOGIT CON VARIABLE DEPENDIENTE DICOTÓMICA) - YouTube
Logistic Regression - A Complete Tutorial with Examples in R
What is Logistic Regression? - Logistic Regression Model Explained - AWS
Maximum Likelihood Estimate and Logistic Regression simplified — Pavan ...
Logistic classification model (logit or logistic regression)
Logistic Regression for binary outcomes Why multiple logistic
LogisticRegression: A binary classifier - mlxtend