Showing 120 of 120on this page. Filters & sort apply to loaded results; URL updates for sharing.120 of 120 on this page
UAE's OPEC exit: Breaking ranks with the GCC, charting its own course ...
Basal Body Temperature Charting for Menses Regulation and Fertility ...
Toni Morrison: Charting the author’s path to creativity - CSMonitor.com
30th National Retailers Association Expo: Charting the path forward in ...
Kenya to lead Africa in charting new trade path with France in Nairobi
What Is a Micro Account in Forex Trading?
Super Micro Lawsuit: Potential Securities Violations and Implications ...
Charting the path of Ireland's forgotten boxing Olympians – The Irish News
Ms. Patil: Charting New Horizons – An Interview with India’s Acclaimed ...
Young dancers festival: Charting dance in the age of AI
Charting new future for Orang Asli in Malaysia’s development | FMT
Chart Master: Charting four 'unstoppable' stocks
Charting GE Healthcare as the Sector Sees a Pullback | TheStreet Pro
Lightbridge Corporation: Charting a Course for Nuclear Innovation
Worth Charting Launches WRTH Options Income ETF
Charting New Paths: A Deep Dive Inside Ashoka Young Scholars Programme ...
Charting the Year Ahead: Investment Ideas for 2026 | PIMCO
Charting the rise of Napoli’s Antonio Vergara amidst an injury crisis ...
Rory McIlroy charting his own course: a champion’s £2.7 million ...
The 20 Highest Charting Abba Songs For All The ‘Dancing Queens’ Out ...
An elusive peace: Charting ceasefire attempts in Ukraine
Women’s Power Index: Charting Progress From the Past Twenty-Five Years ...
Super Micro Class Action Lawsuit: Impact on Investors and the Global ...
Actipro Micro Charts - WPF small charts and sparklines
Micro Charts , Using svg graphics to create microcharts in Power BI – QMQH
Micro Charts & Sparklines - amCharts
Creating a micro chart | VitaraCharts
Micro Charts
Excel Tip - Create A Micro Chart From A Normal Excel Chart - YouTube
SOLUTION: Micro chart exam 2 tess 1 - Studypool
SAPUI5: Dynamic Binding Using a Comparative Micro chart - TECHNICAL ...
Status Indicator and Micro Charts for Micro Proces... - SAP Community
Edge Technologies, Inc. | Documentation | Micro Charts
Micro Chart on Tablet Display
Excel Micro Charts
Micro Chart numbered Flashcards | Quizlet
micro chart's | PDF
Create A Micro Chart From A Normal Excel Chart
Micro Charts | PDF
Creating a micro chart | VitaraCharts - Custom visuals plugin for ...
Micro Chart Logo, a Branding & Logo Template by EmilGuseinov
How To Confirm Support Confirmation | How To Read Micro Chart - YouTube
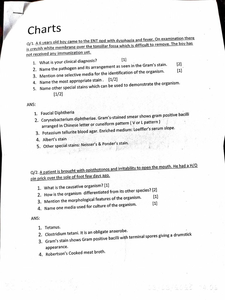
Detailed Micro Chart | Streptococcus | Staphylococcus
Free Micro Three Dimensional Bar Chart Templates For Google Sheets And ...
Trend Micro #1 in Vulnerability Disclosure, Helping Prevent Breaches ...
Micro Charts | PDF | Rabies | Hiv/Aids
Step 1 Micro Charts | Download Free PDF | Anthrax | Tuberculosis
Multi-function 23" LED Display MICRO Chart Projector Eye Chart ...
.net Charting Overview
Micro planning process | PPTX
Macro And Micro Chart Reading | Understanding of Institutionals ...
JSCharting JavaScript Charts - Visual Studio Marketplace
Microcharts and Sparklines for JavaScript | JSCharting
Introduction to Analyzing Data in a Microcharts Widget
LA Public Press adds three new members to its board of directors ...
U2’s Latest Single Ties As Their Longest-Charting Of All Time
Michael Saylor's MicroStrategy Takes Wall Street By Storm, Becomes ...
Xamarin - Microcharts | PPTX
MicroCharts Professional 3.0 Free Download
Microcharts: Data Visualization | Figma
UNIT 2 BOYD DIGITAL NATIVES AND DIGITAL LITERACY
Create a Modern Grid with Microcharts
Defining Microcharts widgets
PointChart · microcharts-dotnet/Microcharts Wiki · GitHub
Amazon.com: MICROCHARTS: VISUAL STUDY AIDS FOR MEDICAL & MICROBIOLOGY ...
Using Microcharts with .NET MAUI - DEV Community
MicroCharts 4.0 Download (Free trial) - EnableAddIn.exe
Microchartsstockreport | Free Images at Clker.com - vector clip art ...
Microchart Background Images, HD Pictures and Wallpaper For Free ...
Microchartsregionreportthumbnail | Free Images at Clker.com - vector ...
Version 2.8 Released | JSCharting
Microinverter comparison chart — Clean Energy Reviews
Visualizing trends: Microcharts widget
"Micro Chart" CPU reference cards (6502, Z80, 8088/8086, 68000 ...
Microchartsgallery | Free Images at Clker.com - vector clip art online ...
Jigsaw Technology Blog
Version 2.7 Released | JSCharting
Virtual Anchor Charts Meet “Micro-progressions” – Tricia Ebarvia
Metric Chart Micrograms
Micron To Mm Conversion Chart
Microchart Configuration for Smart Tile
Microchart Images, Stock Photos & Vectors | Shutterstock
Best Microgreens For Nutrition at Carlos Snyder blog
Intro
Test Charts for Filmmakers